1. 서 론
경사식구조물은 항만 및 해안구조물로서 폭 넓게 사용되고 있으며, 수심이 얕거나 설계파고가 상대적으로 작은 경우에 선호되는 구조형식이다. 경사식구조물은 오랜 기간동안 사용되어 왔기 때문에 제체 안정 및 해안수리학적 특성 측면에서 다양한 연구성과를 통한 설계법이 대부분 정립되어 있다. 해외의 경우에는 상치콘크리트가 설치되지 않는 경사식구조물이 다수 건설되는데 반해, 국내에서는 유지관리의 편리성 측면 등으로 인해 상치콘크리트가 대부분 설치된다. 따라서, 제체의 안정성 확보를 위해서는 상치콘크리트의 안정성 확보가 중요하지만, 상치콘크리트의 설계에 필요한 작용파압 산정에 대한 지침은 정립되어 있지 않다(MOF, 2020). 현재 국내에서는 직립식구조물에 작용하는 Goda(1974, 2010)의 양압력 산정식과 Tanimoto and Kojima(1983)의 제안식을 사용하고 있으나, 이는 상치콘크리트에 작용하는 양압력을 직접 산정하는 방법이라고는 할 수 없다.
상치콘크리트의 활동 및 전도에 대한 검토는 상치콘크리트에 작용하는 수평파압과 양압력에 대한 산정이 요구된다. 상치콘크리트에 작용하는 수평파압에 대한 연구는 국내·외에서 다수의 연구가 수행되었다(Pedersen, 1996; Nørgaard et al., 2013; Molines et al., 2018; van Gent and van der Werf, 2019; Lee et al., 2021; Han et al., 2022; Lee, 2024a; Lee et al., 2025). 그러나 양압력에 대한 연구는 수평파압 산정과 관련된 연구에 비해 상대적으로 미흡한 실정이다. USACE(2006)에서는 상치콘크리트 외해측 선단의 양압력은 상치콘크리트 최하단에 작용하는 수평파압을 적용하고, 상치콘크리트 내해측 끝단의 양압력은 정수압을 적용하는 지수형 분포로 제시하였다. Molines et al.(2018)은 평균월파량에 기반한 상치콘크리트에 작용하는 파압 산정식을 제안하고, 양압력은 Pedersen의 연구를 기반으로 확장하여 제시하였으며, 선형분포를 기반으로 하였다. Han et al.(2022)은 너울 조건의 파랑을 대상으로 전면파압 및 양압력 계측을 위한 실험을 수행하였고, 양압력은 전면파압에 저감계수를 도입한 선형분포를 제안하였다. 국내 연구로서 Lee(2024b)는 규칙파를 적용하여 경사식구조물의 상치콘크리트에 작용하는 양압력을 계측하고, 양압력을 직접 산정할 수 있는 경험식을 제안하였다.
본 연구에서는 경사식구조물의 상치콘크리트에 작용하는 양압력의 크기 및 분포를 검토하기 위해 불규칙파를 적용한 2차원 수리모형실험을 수행하고 그 결과를 분석하였다. 비쇄파조건에서 테트라포드가 2층 피복된 조건의 단면을 대상으로 다양한 유의파고와 유의파주기를 적용하고, 상치콘크리트 하단고를 변경시키며 실험을 수행하였다. 실험결과는 국내에서 적용하고 있는 현행 설계법의 결과와 비교하였으며, 불규칙파 조건에서 상치콘크리트에 작용하는 양압력 산정을 위한 경험식을 제안하였다.
2. 실험시설 및 실험조건
본 실험은 전남대학교 해안항만실험센터의 2차원 수로에서 수행되었으며, 사용된 단면수로의 제원은 폭 2 m, 길이 100 m, 높이 3 m이며, 전기서보피스톤식 조파기가 설치되어 있고, 규칙파 및 불규칙파를 조파할 수 있다. 그리고 조파판 전면에 부착된 파고계를 이용하여 독취한 자료를 바탕으로 반사파 흡수식 제어가 가능하고 수로 양쪽 끝부분에 소파시설이 설치되어 있다. 설치된 조파기의 성능은 최대파고 1.3 m, 재현가능 주기는 0.5~10 sec이며, Fig. 1은 단면수로의 개념도이다. 본 실험에서 자유수면계측에 활용된 파고계는 용량식 파고계로서 계측범위는 ±0.75 m, 최대 독취율은 50 Hz이다. 그리고 양압력 계측을 위해 사용된 파압계(SSK P310-1)의 최대 독취율은 1 kHz이다.
본 실험에 적용된 실험파 및 실험수심은 Table 1에 제시되어 있다. 구조물 설치위치의 수심(d)은 d = 0.8 m, 실험파의 목표 유의파주기(target significant wave period, (TS)0)는 (TS)0 = 2~4 sec (0.4 sec 간격), 목표 유의파고(target significant wave height, (HS)0)는 (HS)0 = 20~30 cm(2 cm 간격)를 적용하였으며, 비쇄파조건에 해당된다. 목표 파랑제원을 대상으로 최대한 근사하게 실험파를 설정하더라도 동일한 제원을 가지는 파랑으로 재현하기는 어렵다. 본 실험에서 설정된 실험파의 유의파고 및 유의파주기는 목표 제원과 약간의 차이가 있지만, 설정된 유의파주기는 TS = 1.98~4.18 sec, 유의파고는 HS = 22.5~34.3 cm이다. 실험결과 분석시에는 목표 파랑제원이 아닌 실험파 설정시의 파랑제원(TS, HS)을 이용하여 결과를 분석하였다.
경사식구조물의 상치콘크리트에 작용하는 양압력 계측 실험에 적용된 단면은 Fig. 2와 같으며, 주 피복재로 테트라포드가 2층 피복되고, 중간피복층으로는 트라이포드가 1층 설치된 단면으로서 제체 사면경사(cotα)는 cotα = 1.5이다. Fig. 2에서 RC는 여유고, AC는 정수면으로부터의 피복재 상단고, SB는 정수면으로부터 상치콘크리트 하부까지의 높이, GW는 피복재 어깨폭, SW는 상치콘크리트 폭, AT는 주 피복층 두께, UT는 중간피복층 두께이다. 본 실험에 적용된 상대 피복재 어깨폭은 GW/Dn = 2.37이며, Dn은 피복재의 공칭길이(= V1/3), V는 피복재의 체적이다. 실험에 적용된 모형단면의 기하학적 제원을 정리한 것이 Table 2이다. 정수면으로부터의 상치콘크리트 하단고는 SB = 0 cm(case SB000), SB = 3.3 cm(case SB033), SB = 6.3 cm(case SB063), SB = 9.3 cm (case SB093), SB = 12.3 cm(case SB123)이다. 따라서 실험파 설정시의 파랑제원을 적용할 경우, RC/HS = 0.82~1.79, AC/HS = 0.63~1.51, SB/HS = 0~0.55, RC/AC = 1.19~1.29이다. 본 실험은 1/25 축척으로 계획되고 수행되었다. Fig. 3은 모형 설치장면이다.
Fig. 2에서 양압력 계측을 위해 설치된 6개의 파압계는 계측용량이 0.5 kg/cm2으로서 상치콘크리트 바닥에 파압계의 두께에 해당하는 정도의 홈을 내어 매입하였으며, 파압계 검출부와 상치콘크리트 바닥이 거의 동일한 높이가 되도록 하였다. 그리고 파압계가 설치된 홈 외부에 직경이 매우 가는 그물망을 설치하여 제체사석과 파압계가 접촉되지 않도록 하였다. 파압계 설치위치는 상치콘크리트 항외측 선단(x = 0)으로부터 x = 5 cm(P01), x = 25 cm(P02), x = 45 cm(P03), x = 65 cm(P04), x = 85 cm(P05), x = 105 cm(P06)이다. 양압력 계측시 적용된 파압계의 독취율(sampling rate)은 500 Hz이다. 실험파의 유의파주기별로 600파 동안의 계측하고, 100파 후의 500파 동안 계측된 자료를 이용하여 양압력을 분석하였다. 파압계에서 계측된 압력 시계열을 밴드패스필터를 사용하여 노이즈 성분을 제거하고 분석하였다.
3. 계측자료 분석
3.1 현행 설계법
현재 국내에서 적용하고 있는 경사식구조물의 상치콘크리트 하부에 작용하는 양압력 산정은 Goda(1974, 2010)와 Tanimoto and Kojima(1983)의 연구성과를 이용하고 있다.
직각 입사조건에서 Goda(1974, 2010)가 제안한 직립벽에 작용하는 양압력(pu) 산정식은 식(1)~식(3)이며, 식(1)에서 λ3는 양압력 보정계수로서 일반적으로 1.0이다. 상치콘크리트 외해측 선단의 양압력은 식(1)로 산정하고, 상치콘크리트의 폭과는 관계없이 내해측 끝부분에서는 양압력이 0인 삼각형 분포로 사용하는 것이 Goda의 방법이다.
식(1)~식(3)에서 ρ는 유체의 밀도, g는 중력가속도, HD는 설계계산에 사용되는 파고, L은 설계계산에 사용된 주기에 대응되는 파장이며, h와 h'은 각각 직립벽 전면의 바닥수심과 직립벽 저면의 수심이다. 여기서, 직립벽의 저면이 정수면 아래에 위치하는 경우에 h'은 양(+)의 값을 가진다.
경사식구조물의 상치콘크리트는 하단이 정수면 위에 위치하는 경우가 많으며, 이러한 경우의 양압력은 식(1)의 α3를 Tanimoto and Kojima(1983)가 제안한 식(4)로 대체하여 산정하고 있다. 식(4)에서 η*[= 0.75(1 + cosβ)HD]는 정수면에서 수평파압이 0이 되는 지점까지의 높이이다. 여기서, β는 파의 입사각으로서 직각입사일 경우에 β = 0o이다.
3.2 실험자료 분석
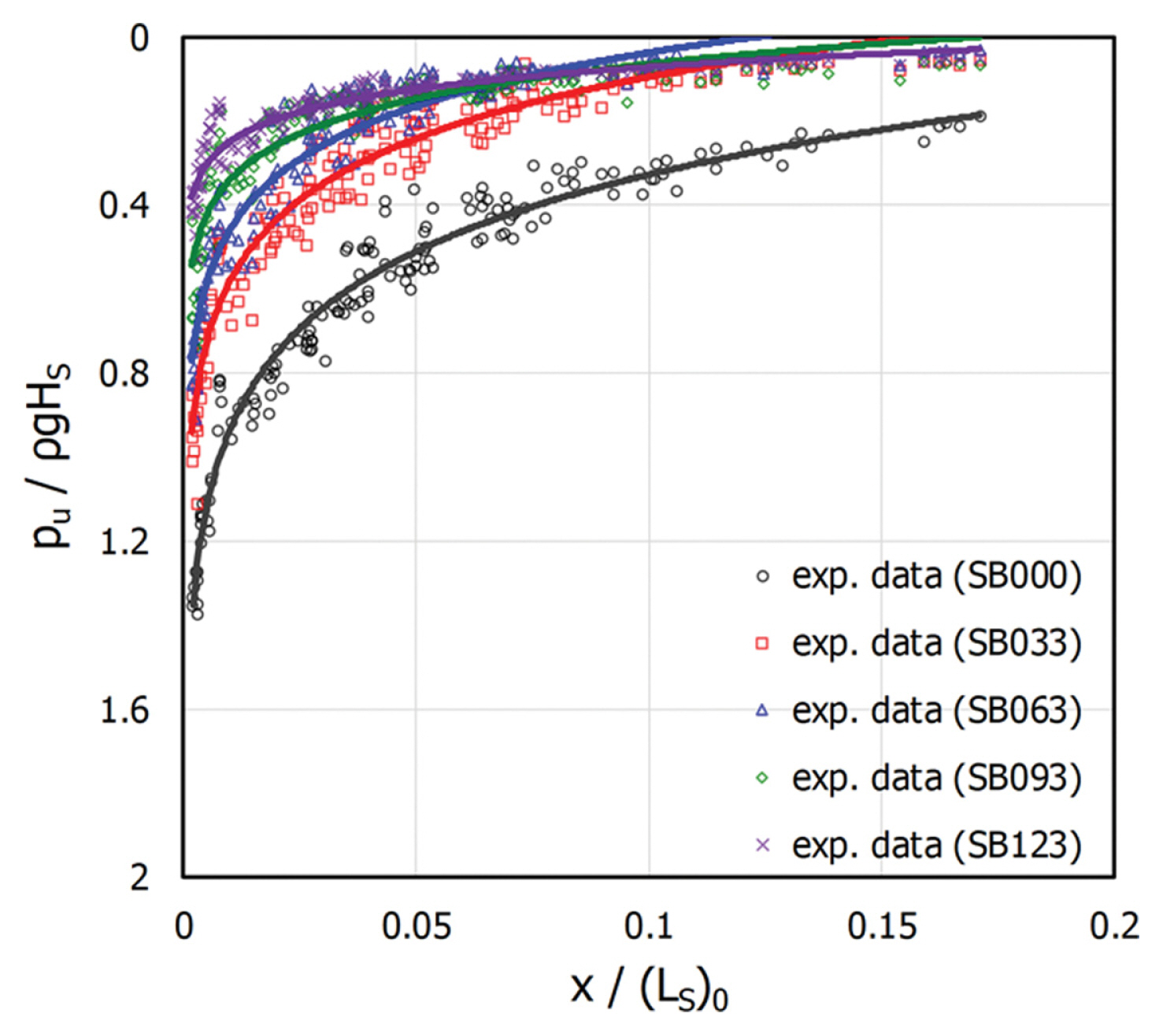
계측된 자료로부터 분석된 양압력을 무차원 양압력(pu/ρgHS)으로 환산하였다. 여기서, 양압력(pu)은 계측점별 최대 양압력이다. 분석된 결과를 도시할 때, 종축은 무차원 양압력, 횡축은 상치콘크리트 전면으로부터의 계측거리(x)로 나타내었으며, 본 실험결과(exp.)와 현행 설계법(T&K)의 결과를 비교 도시하였다. 양압력 실험결과 분석시에는 설정된 파랑제원(TS, HS)을 이용하였지만, 실험결과를 도시할때에는 가독성 차원에서 목표 파랑제원(TS,0, HS,0)을 이용하였다.
Figs. 4~6은 수행된 실험조건 중 일부를 도시한 것으로서 각각 (TS)0 = 2.4 sec, (TS)0 = 3.2 sec, (TS)0 = 4.0 sec 조건에 서 상치콘크리트 하단고에 따른 본 실험결과(exp)와 현행 설계법(T&K)에 의한 무차원 양압력 결과를 비교 도시한 것이다.
Fig. 4는 (TS)0 = 2.4 sec 조건의 결과로서 무차원 양압력은 상치콘크리트 하단고가 높아질수록 감소하고, 상치콘크리트 전면부가 후면부에 비해 무차원 양압력이 크게 나타남을 알 수 있다. 그리고 상치콘크리트 하단이 정수면과 동일한 조건인 SB = 0 cm에서 가장 큰 무차원 양압력이 계측되었다. 또한 유의파고가 증가할수록 무차원 양압력이 증가하는 경향을 보였다. 본 실험결과와 현행 설계법에 의한 결과를 비교해 보면, 상치콘크리트 전면부의 무차원 양압력은 SB = 0 cm 조건에서는 유사하지만 상치콘크리트 하단고가 높아질수록 본 실험에 의한 무차원 양압력이 현행 설계법에 비해 작게 계측됨을 알 수 있다. 상치콘크리트 후면부의 경우에는 본 실험 결과가 현행 설계법에 비해 약간 크게 나타났다. 그러나 현행 설계법에서는 상치콘크리트의 폭과 관계 없이 후면 끝단의 양압력을 0으로 두기 때문에 후면부의 결과를 비교하는 것은 큰 의미를 부여하기 어렵다. 다만, 본 실험결과로부터 상치콘크리트 전면으로부터 상당히 먼 위치의 후면부에도 일정 수준의 양압력이 작용하는 것을 알 수 있다.
Fig. 5와 Fig. 6은 각각 (TS)0 = 3.2 sec와 (TS)0 = 4.0 sec 조건의 결과를 비교한 것으로서 전반적인 경향은 (TS)0 = 2.4 sec의 결과와 유사하지만, 동일 상치콘크리트 하단고 및 유의파고 조건에서 유의파주기가 증가할수록 무차원 양압력은 증가함을 알 수 있다. (TS)0 = 2.4 sec의 결과와 마찬가지로 SB = 0 cm 조건에서 상치콘크리트 전면부의 무차원 양압력은 본 실험결과와 현행 설계법에 의한 결과가 유사하지만 상치콘크리트 하단고가 높아질수록 본 실험에 의한 무차원 양압력이 현행 설계법에 비해 작게 계측됨을 알 수 있다. 또한 상치콘크리트 하단고가 높아질수록 유의파고의 증가에 따른 무차원 양압력의 차이는 감소하는 것으로 나타났다.
본 실험결과로부터 유의파주기가 길어질수록 상치콘크리트 전면부 및 후면부의 양압력은 증가하고, 유의파고에 따른 무차원 양압력의 차이는 상치콘크리트 하단고가 높아질수록 감소하는 것으로 나타났다. 유의파주기가 증가할수록 상치콘크리트 후면부에 작용하는 양압력이 증가함을 감안할 때 상치콘크리트 폭 및 파랑조건과 관계없이 후면 끝단의 양압력을 0으로 설정하는 현행 설계법은 개선이 필요하다고 판단된다.
본 논문에서는 SB = 0.0 cm, SB = 3.3 cm, SB = 6.3 cm, SB = 9.3 cm 및 SB = 12.3 cm 조건에서 설정된 실험파를 적용한 양압력 계측 실험결과를 이용하여 불규칙파 작용시 양압력을 산정할 수 있는 경험식을 도출하고자 한다. 그리고 현행 설계법에 의한 양압력 분포는 선형이지만, 본 실험결과에 따른 양압력 분포는 지수형 분포를 보였다.
4. 결과 분석
본 실험에서는 불규칙파를 적용하여 경사식구조물의 상치콘크리트 하부에 작용하는 양압력을 계측하였고, 분석된 결과를 이용하여 상치콘크리트 하부에 작용하는 양압력을 직접 산정할 수 있는 경험식을 제시하고자 한다. Figs. 4~6에 나타난 바와 같이 무차원 양압력은 상치콘크리트 하단고가 증가할수록 감소하고, 전면에서 후면으로 갈수록 감소하는 경향을 보이며, 입사파의 유의파고 및 유의파주기에 따라 그 크기가 변함을 확인할 수 있었다.
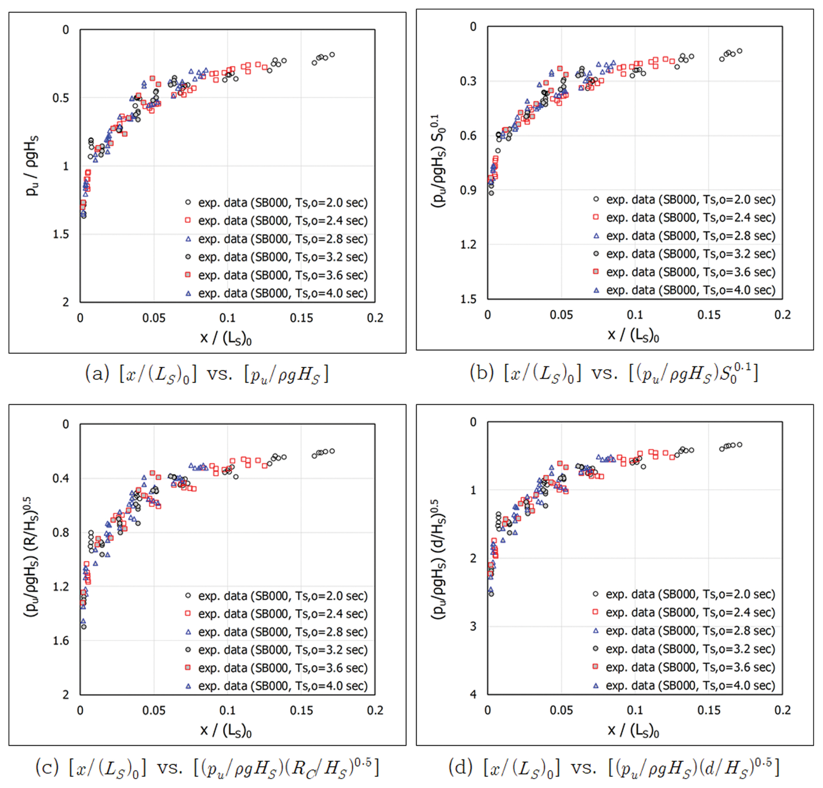
Figs. 7~9는 양압력 산정을 위한 경험식을 도출함에 앞서 양압력의 분포에 영향을 미치는 무차원 변수를 확인하기 위해 상대 거리[x/(LS)0]에 따른 무차원 양압력[pu/ρgHS], 파형경사[S0 = HS/(LS)0], 상대 마루높이[RC/HS] 및 상대 수심[d/HS]의 영향을 도시한 것이다. Fig. 7은 case SB000(SB = 0.0 cm) 조건의 무차원 양압력에 파형경사, 상대 마루높이 및 상대 수심이 미치는 영향을 검토한 것으로서 상대 마루높이 및 상대 수심은 상관관계를 약간 감소시키는 것으로 나타났고, 파형경사는 상관관계를 증가시키지만 그 정도는 크지 않았다. Fig. 8과 Fig. 9는 각각 case SB093 및 case SB123 조건의 결과를 도시한 것으로서 무차원 양압력과 무차원 변수들간의 상관관계는 case SB000과 유사하게 나타났다. Figs. 7~9로부터 양압력의 변화는 상치콘크리트 하단고가 가장 큰 영향을 미치며, 상치콘크리트 하단고가 증가할수록 양압력은 급격하게 감소함을 알 수 있다. 전체적으로 양압력은 상치콘크리트 전면부에서 가장 크고, 후면부로 갈수록 급격히 감소한다. 후면부의 경우에는 상치콘크리트 하부가 정수면상에 위치하는 조건에 비해 하단고가 높아질수록 양압력은 0에 근접함을 알 수 있다. 또한 상치콘크리트 하단고가 증가할수록 실험결과의 분산정도가 감소되는 것으로 나타났다.
Fig. 10은 상치콘크리트 하단고에 따른 무차원 양압력을 비교 도시한 것으로서 양압력의 변화에 가장 큰 영향을 미치는 것은 상치콘크리트 하단고임을 다시 한번 확인할 수 있다. 따라서 상치콘크리트 하단고의 영향을 고려한 무차원 양압력 산정식을 도출할 필요가 있다. 그리고 본 실험결과로부터 분석된 무차원 양압력은 상치콘크리트 하단고가 정수면에 위치하는 경우와 정수면 상부에 위치하는 경우의 크기가 명확한 차이를 보였다.
본 실험에서 적용한 전체 상치콘크리트 하단고 조건을 포괄하는 하나의 경험식을 도출하고자 하였으나, 전체 하단고를 포함할 경우에 실험결과와 경험식의 상관도가 낮아지는 경향을 보였다. 따라서 상치콘크리트 하단이 정수면 부근에 위치하는 경우(SB*, 모형상 0 cm ≤ SB < 3.3 cm, 원형상 0 m ≤ SB < 1 m, SB000)와 정수면 상부에 위치하는 경우 (SB**, 모형상 SB > 3.3 cm, 원형상 SB > 1 m, SB033~SB123)로 구분하여 경험식을 도출하였다. 경험식 도출에 적용된 변수는 무차원 양압력[pu/ρgHS], 파형경사[S0 = HS/(LS)0], 상대 하단고[cosh(SB/HS)] 및 상대 거리[x/(LS)0]이다. 파형경사와 상대 하단고의 가중치에 대해 여러 값을 적용한 결과, 파형경사는 0.1, 상대 하단고는 8의 가중치를 적용하는 것이 가장 적절한 것으로 검토되었다. 파형경사는 입사파의 주기가 길어질수록 양압력이 증가하는 것을 고려한 것이고, 상대 하단고는 동일한 하단고인 경우라도 파고가 증가하면 양압력이 증대되는 것을 고려한 것이다.
Fig. 11은 무차원 양압력 분석결과를 도시한 것으로서 실험결과에 대한 회귀식(regression line)을 점선으로 나타내었다. SB* 조건에 대한 실험결과와 회귀식의 상관계수(R2)는 R2 = 0.96이며, SB** 조건에 대한 실험결과와 회귀식의 상관계수(R2)는 R2 = 0.88이다. SB**의 상관계수가 상대적으로 낮게 나타난 것은 상치콘크리트의 하단고가 서로 다른 조건의 전체 결과를 하나의 회귀식으로 나타내었기 때문이다. 또한 계측된 무차원 양압력과 회귀식으로 예측된 무차원 양압력간의 오차해석을 식(5)를 이용하여 수행하였다. 식(5)는 평균제곱근오차(Root Mean Square Error, RMSE), 평균제곱근오차를 계측결과의 평균값으로 나눈 산포지수(Scatter Index, SI), 계측결과와 회귀식에 의한 예측값의 적합성을 나타내는 Nash-Sutcliffe 효율지수(Nash-Sutcliffe Efficiency, NSE)이다. NSE 효율지수는 NSE = 1일 때 계측값과 예측값이 완전하게 일치함을 의미한다. 여기서, pu,meas는 계측결과에 의한 무차원 양압력, pu,cal은 회귀식으로 예측된 무차원 양압력, p u ¯ 는 계측된 무차원 양압력의 평균값, n은 실험자료 수이다. SB* (SB000) 조건의 경우에 RMSE = 0.039, SI = 0.094, NSE = 0.958로서 산포도가 낮고 적합성이 높게 나타났다. SB**(SB033~SB123) 조건의 경우에는 RMSE = 0.055, SI = 0.250, NSE = 0.952로 나타났으며, SB*(SB000) 조건에 비해 산포도가 다소 크게 나타났으며, 이는 다양한 상대 하단고 조건이 포함된 결과를 이용하였기 때문으로 판단된다.
(5)
또한 Fig. 11에 무차원 양압력 실험결과에 0.1σ 또는 0.2σ를 더한 제안식의 결과(proposed line)를 도시하였으며, σ는 무차원 양압력 실험결과의 표준편차이다. 실험결과에 표준편차의 일정값을 더한 것은 실험자료의 분산을 고려한 것으로서 약간 보수적인 양압력이 산정된다.
Fig. 11에 도시된 무차원 양압력 산정식은 다음과 같다.
■ 무차원 양압력 산정식(0 m ≤ SB < 1 m 조건)
• 실험결과 회귀식
• (실험결과 + 0.1σ) 제안식
■ 무차원 양압력 산정식(SB > 1 m 조건)
• 실험결과 회귀식
• (실험결과 + 0.2σ) 제안식
■ 양압력 산정식의 적용범위
식(6)~식(9)로 양압력을 산정할 경우에 x/(LS)0의 최소범위는 x/(LS)0 = 0.002이다. 제안된 경험식은 자연대수(natural logarithm)를 포함하고 있기 때문에 x = 0 위치에서의 양압력은 산정할 수 없다. 따라서, 실무 적용시에는 x/(LS)0 = 0.002 위치에서 산정된 양압력이 x = 0 위치(상치콘크리트 전면 선단)까지 일정하게 작용한다고 가정하면 된다. x/(LS)0 = 0.002 위치는 상치콘크리트 전면 선단으로부터 매우 가까운 위치이기 때문에 적용에 무리가 없을 것으로 생각된다.
Fig. 12와 Fig. 13은 계측결과에 대해 회귀식과 제안식에 의한 예측결과를 비교 도시한 것이다. Fig. 12는 SB* (0 m ≤ SB < 1 m) 조건의 결과를 비교한 것으로서 회귀식에 의한 예측결과와 계측결과가 잘 일치함을 알 수 있고, 제안식에 의한 결과는 약간 크게 나타났다. Fig. 13은 SB** (SB > 1 m) 조건의 결과를 비교한 것으로서 회귀식에 의한 예측결과는 계측결과보다 약간 작게, 제안식에 의한 결과는 크게 예측된다. 전체적으로 제안식에 의한 결과가 약간 크게 예측되는 것은 실험결과에서 일정 수준의 표준편차를 더했기 때문이다.
5. 결 론
국내에서 항만 및 해안구조물 설계시 적용하고 있는 항만 및 어항 설계기준·해설(MOF, 2020)에는 경사식구조물의 상치콘크리트에 작용하는 양압력을 산정할 수 있는 지침이 정립되어 있지 않다. 현재는 직립식구조물에 작용하는 Goda의 파압 산정식(1974, 2010)에서의 양압력 산정식과 Tanimoto and Kojima(1983)의 제안식으로 양압력을 산정하여 설계에 적용하고 있는 실정이다. 따라서 국내에서 폭넓게 활용되는 경사식구조물의 설계법을 정립하는 차원에서 상치콘크리트 하부에 작용하는 양압력을 직접 산정할 수 있는 경험식 등의 도출이 필요하다.
본 연구에서는 경사식구조물의 상치콘크리트에 작용하는 양압력을 불규칙파를 적용하여 검토하였다. 테트라포드가 2층 피복된 경사식구조물 단면을 대상으로 양압력을 계측하기 위한 2차원 수리모형실험을 수행하였으며, 도출된 결과를 요약하면 다음과 같다.
(1) 양압력은 상치콘크리트 하부가 정수면에 위치하는 경우에 가장 크고, 하단고가 증가할수록 양압력은 크게 감소하였다. 양압력은 상치콘크리트 전면부에서 크고 후면부로 갈수록 작아지는 지수형태의 분포를 보였다. 상치콘크리트 후면부는 하단고가 높아질수록 양압력은 0에 근접하였다.
(2) 양압력의 변화에 미치는 주요 변수는 상치콘크리트 하단고와 입사파의 주기를 들 수 있으며, 상치콘크리트 하단고가 가장 큰 영향을 미치는 것으로 분석되었다.
(3) 양압력을 산정할 수 있는 경험식은 상치콘크리트 하단이 정수면 인근에 위치하는 경우와 상부에 위치하는 경우로 구분하여 제시하였다. 또한 실험결과를 이용한 회귀식과 실험결과에 표준편차의 10% 또는 20%를 더한 결과를 이용한 제안식으로 제시하였다. 경사식구조물을 설계한 후 모형실험을 통한 안정성 검토를 수행할 경우에는 회귀식을 적용하고, 모형실험 없이 설계 후 건설하는 경우에는 제안식을 적용하여 양압력을 산정하는 것을 권고한다.
본 연구에서는 비쇄파조건에서 불규칙파를 적용하여 경사식구조물의 상치콘크리트에 작용하는 양압력에 대한 수리모형실험을 수행하고, 양압력 산정을 위한 경험식을 제안하였다. 경사식구조물은 수심이 비교적 낮은 곳에 건설되므로 쇄파조건을 포함하는 양압력 산정식이 요구되며, 이를 위해 추가적인 실험을 수행할 필요가 있다. 또한 경사입사파 조건에서의 양압력 변화도 검토할 필요가 있다.









