1. 서 론
항만 및 해안구조물의 설계에 있어 주요 설계인자인 평균 월파량 산정과 관련하여 직선형 제체에 파랑이 직각으로 입사하는 조건에 대해서는 다양한 실험적 연구가 수행되었고, 대표적인 국외 연구성과로는 EurOtop(2018)을 들 수 있다. 직각입사 조건에서 평균월파량 산정과 관련된 국내 성과로는 직립식구조물을 대상으로 한 Kim and Lee(2012, 2015, 2023) 등의 연구가 있으며, 경사식구조물에 대해서는 Lee and Kim(2023, 2025a), Yoo et al.(2024) 등의 연구가 있다.
실해역에서는 파랑이 구조물에 경사지게 입사하는 조건이 발생하며, 이와 관련하여 직선형 제체에 파랑이 경사지게 입사하는 경우의 월파량은 직각으로 입사하는 조건에서 도출된 월파량 산정식에 보정계수를 적용하는 방법이 일반적이다. 경사입사파 조건의 월파량 산정에 필요한 보정계수에 대한 국외 연구성과로 직립식구조물을 대상으로 한 연구성과는 EurOtop(2018)이 있으며, 경사식구조물을 대상으로 한 연구는 van der Meer and Janssen(1994), Hebsgaard et al.(1998), Andersen and Burcharth(2009), EurOtop(2018)을 들 수 있다. van der Meer and Janssen(1994)은 경사식 제방단면을 대상으로, Hebsgaard et al.(1998)은 경사식 호안 및 방파제 단면을 대상으로 cosine 함수형 보정계수 산정식을 제안하였다. Andersen and Burcharth(2009) 및 EurOtop(2018)은 경사식 호안 및 방파제 단면을 대상으로 직선형 보정계수 산정식을 제안하였다. 경사입사파 조건의 월파량 보정계수 산정에 대한 국내 연구로는 직립식구조물을 대상으로 한 Kim et al.(2010, 2011) 등이 있다. 그리고 경사식구조물을 대상으로 한 연구는 Lee and Kim(2025b)이 있으며, 테트라포드가 피복된 경사식구조물을 대상으로 평면실험을 수행하여 cosine 함수와 선형 함수를 조합한 보정계수를 제안하였다.
방파제 및 호안 구조물 건설시 지형적인 영향 등으로 오목한 형상의 구조물 배치가 형성될 수 있으며, 오목한 구간에서의 파랑 증폭과 관련된 연구는 일부 수행되었지만, 월파량 분포에 대한 연구는 찾기 어려운 실정이다(USACE, 2006; Lee and Kim, 2008; Kim et al., 2013).
본 연구에서는 경사식구조물을 적용하여 파향선을 기준으로 대칭인 오목부 형상을 대상으로 월파량의 공간적인 변화를 검토하였으며, 이를 위해 3차원 수조를 활용한 수리모형 실험을 수행하였다. 실험은 일정수심상에서 파랑제원, 상대여유고 및 오목부 중심각 등을 변화시키며 일방향 불규칙파를 적용하여 수행되었다. 수행된 실험결과로부터 오목부 구간 월파량의 공간적인 분포를 검토하였으며, 대칭형 오목부 구간에 적용할 수 있는 월파량 보정계수를 제안하였다.
2. 실험시설 및 실험조건
2.1 실험시설
본 실험은 한국건설기술연구원의 평면수조에서 수행되었으며, 사용된 평면수조의 제원은 폭 48 m, 길이 48 m, 높이 1.2 m이다. 평면수조에는 조파기가 설치되어 있고, 규칙파 및 일방향 불규칙파를 조파할 수 있다. 조파기 한대의 폭은 3 m, 높이는 1.2 m이며, 10대의 조파기가 설치되어 있어 전체 조파 가능폭은 30 m이다. 그리고 사용된 조파기는 전기서보피스톤식으로서 최대수심 0.7 m, 최대파고 0.3 m, 주기 0.5~5.0 sec의 파를 재현할 수 있다. 평면수조 내에서 실험이 진행됨에 따라 수조벽면에서의 반사파가 발생되며, 수조벽면에 의한 반사파를 제어하기 위해 조파기 후면에는 소파시설을 설치하고, 수조 양측 벽면과 조파기 전면 수조벽에는 완경사의 쇄석을 배치하여 수조벽면에 의한 반사파 발생을 최소화하였다(Fig. 1 참조).
2.2 실험조건
본 실험은 오목부 구간(concave section)에서의 월파량을 계측하여 구조물의 평면적인 형상이 월파량에 미치는 영향을 검토하는 것이 주된 목적이다.
경사식구조물의 평면배치 형상, 즉 오목부 형상이 평균월파량의 공간적인 변화에 미치는 영향을 검토하기 위한 실험은 모형상 수심(d) d = 40 cm, 유의파주기(TS) TS = 1.18, 1.38, 1.57, 1.77 sec, 유의파고(HS) HS = 5, 7.5, 10, 12.5 cm 조건을 사용하였다(Table 1 참조). 실험은 비쇄파 조건에 해당하며, 실험파는 Bretschneider-Mitsuyasu 주파수 스펙트럼을 사용한 일방향 불규칙파를 적용하였다.
본 월파량 계측 실험에서 조파시간은 각각의 유의파주기 기준으로 600파이며, 월파량 계측은 유의파주기 기준으로 100파 후 500파 시간동안을 대상으로 연속계측 하였다. 즉, 평균월파량은 유의파주기별 500파 시간동안 계측된 전체 월파량을 이용하여 분석하였다. 월파량은 유량계가 부착된 수중 펌프를 각각의 월파량 수집수조내에 설치하여 연속계측하였다.
2.3 실험단면 및 평면배치
본 실험에 적용된 실험단면은 Fig. 2와 같은 경사식 구조물이다. Fig. 2에서 RC는 여유고(freeboard), AC는 피복재 높이(crest height of armor block)로서 RC = AC 조건을 대상으로 하였다. 사용된 주 피복재(main armour)는 중량이 133 g/ea인 테트라포드이고 2층 정적으로 피복하였으며, 중간피복층(underlayer)에는 피복석을 설치하였다. 그리고 제체 사면 경사는 cotα = 1.5이다.
월파량 계측을 위해 상치콘크리트 후면에 폭 40 cm인 월파량 수집장치를 배치하였으며, 상치콘크리트 상부에 높이 16 cm의 월파 유도벽(guide wall)을 월파량 수집장치의 폭에 맞도록 40 cm 간격으로 상치콘크리트 전체폭에 설치하였다. 그리고 실험에 적용된 여유고(RC)는 모형상 RC = 5, 7.5, 10, 12.5 cm이다.
Fig. 3은 오목부 구간을 대상으로 월파량을 계측하기 위한 실험모형의 평면배치이다. 오목부 구간의 월파량 계측실험에 적용된 모형의 길이는 10 m(좌우 각각 5 m)이며, 상치콘크리트 배면에 폭 40 cm의 월파량 수집장치 24개(좌측 12개; #L01~#L12, 우측 12개; #R01~#R12)를 배치하였다. 오목부 구간 실험에서는 개별 수집장치에서 계측된 월파량을 각각 분석하여 월파의 공간적인 분포를 검토하였다. 상치콘크리트 상부에 월파 유도벽을 설치한 방법과 필요성은 Lee and Kim(2025b)에서 설명한 바와 같다. 오목부 구간 실험에서는 입사파의 파향선 기준으로 구조물이 대칭으로 배치되는 조건이며, 구조물의 평면배치는 θ = 0o(직선형 배치, θ* = 180o), 10o(θ* = 160o), 20o(θ* = 140o), 30o(θ* = 120o), 40o(θ* = 100o)로 하였다. 여기서, θ는 구조물과 입사파의 파봉선이 이루는 각도이며, θ*는 오목부 구간의 중심각이다. 즉, 오목부 구간 실험은 좌우가 대칭인 조건(좌측과 우측 구조물의 각도가 동일한 조건)을 대상으로 하였다. 구조물과 입사파의 파봉선이 이루는 각(θ)의 변화는 모형을 재설치하는 방안을 적용하였으며, 실험모형은 조파판으로부터 25 m 이격된 위치에 오목부의 중심이 설치된다. 구조물에서의 반사파가 조파판에서 재반사되어 입사파가 증폭되는 것을 최소화하기 위해 구조물 연장의 2배 이상에 해당되는 폭의 조파기를 이용하였으며, 반사로 인해 일정 수준 증폭된 파는 구조물이 설치되지 않은 영역으로 회절되도록 하고, 소파시설에서 흡수되도록 하였다. 또한 실험시에 구조물 전면에 파고계를 설치하여 반사파의 발생과 입사파의 증폭여부를 확인하였다. 오목부 구간에서의 월파량 보정계수 도출을 위해서는 θ = 0o(직선형 배치, θ* = 180o) 조건의 실험결과가 필요하며, Fig. 3에 도시된 바와 같이 연장 4 m의 모형을 조파판으로부터 25 m 이격된 위치에 설치하고, θ = 0o 실험을 수행하였다.
Fig. 4는 오목부 구간 실험의 각도별 실험장면이다.
3. 실험결과 분석
본 연구에서는 대칭형 오목부 구간을 대상으로 오목부 각도에 따른 월파량 증감에 대한 실험을 실시하고, 그 결과를 분석하였다. 월파량의 변동은 EurOtop(2018)과 Lee and Kim(2025b)에서 사용한 방법을 적용하였다. 즉, 직선형 배치의 구조물에 파랑이 직각으로 입사하는 조건에 대한 무차원 평균월파량 산정식과 오목부 구간에서의 무차원 월파량 산정식을 각각 도출한 후 기울기의 비를 이용하여 월파량 보정계수를 산정하는 방법이다.
오목부 형상의 제체에 파랑이 입사할 경우에 경사입사파의 영향, 오목부 형상에 따른 중복파 형성, 오목부의 평면배치 형상 등에 따라 복잡한 파랑장이 형성될 것으로 판단된다. 따라서 직선형 제체를 대상으로 한 경사입사파 조건에 대한 월파량 보정계수의 적용이 어려울 것으로 판단되며, 오목부에서의 월파량의 증감을 검토할 필요가 있다.
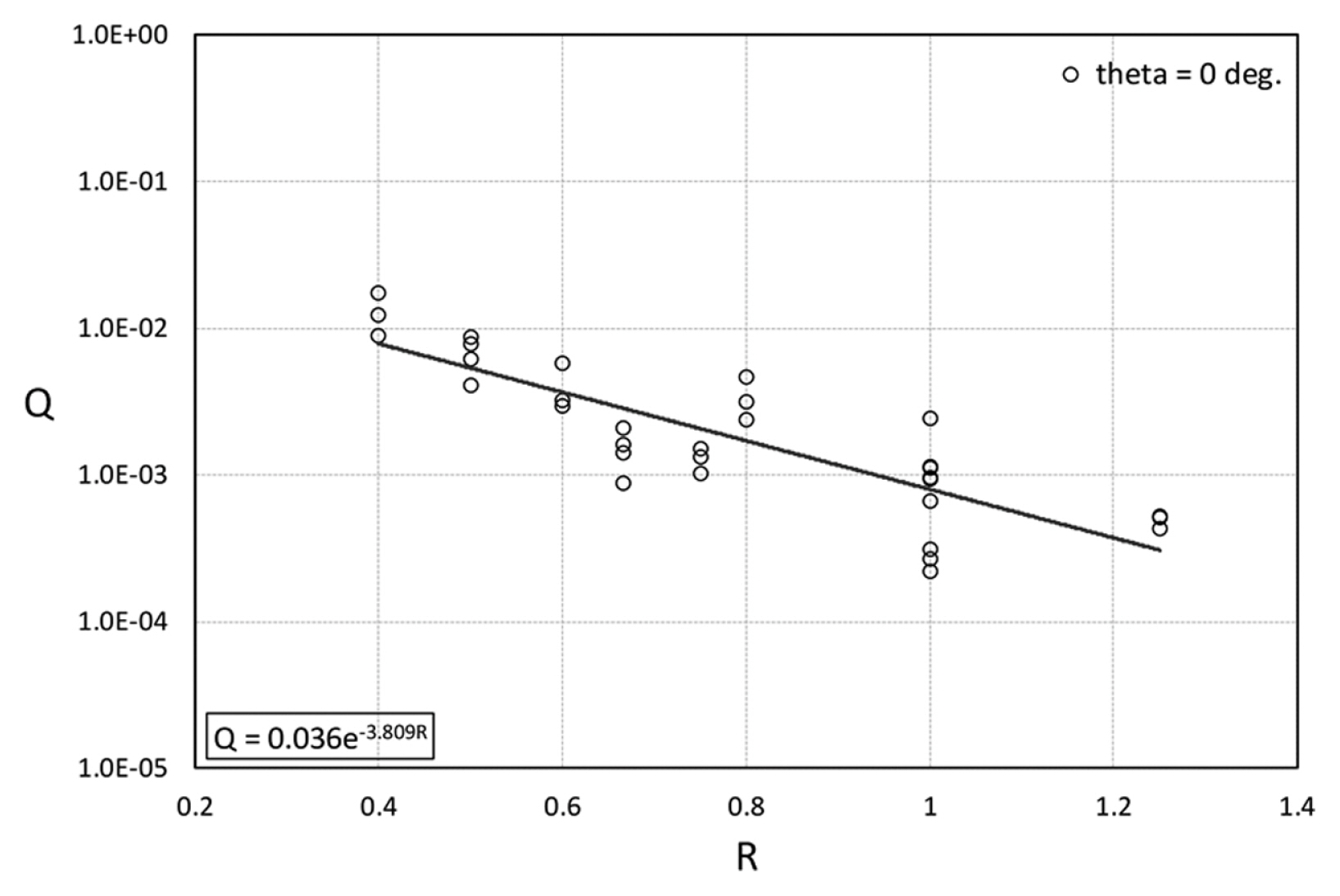
오목부 구간에 대한 월파량 보정계수 도출을 위해서는 직선형 제체(θ* = 180o)에 직각입사 조건의 월파량 실험결과가 필요하다. 직각입사 조건에 대한 실험은 Fig. 3에 도시된 바와 같이 연장 4 m의 제체를 설치하고, 배후면에 폭 40 cm의 월파량 수집장치를 8개 배치하여 Table 1에 제시된 파랑 조건과 4개 여유고 조건에 대한 월파량을 계측하였으며, 결과 분석은 중앙부 4개의 수집장치에 계측된 월파량 결과를 이용하였다. Fig. 5는 직선형 제체에 파랑이 직각으로 입사하는 조건에 대한 무차원 평균월파량 산정결과를 도시한 것이며, Q는 무차원 평균월파량, R은 상대여유고이다. 직각입사 조건의 무차원 평균월파량 산정결과에서 무차원 평균월파량의 절편은 a = 0.036, 지수함수내 기울기는 b = -3.809로 나타났다.
오목부 구간에 대한 월파량 보정계수를 도출하기 위해서는 오목부 구간에 설치된 수집장치에서 월파량을 계측하고, 각 조건별 및 수집장치별로 무차원 평균월파량 산정식을 도출하여야 한다. 오목부 구간에 대한 실험에서는 전체 384개[=4개(유의주기) × 4개(오목부 형상) × 24개(월파량 수집장치)]의 무차원 평균월파량 산정식이 도출된다. 오목부 구간의 무차원 평균월파량 산정식 도출시 직각입사 조건의 무차원 평균 월파량의 절편인 a = 0.036은 고정하고, 지수함수 내 기울기 b'을 산정하게 된다. 보다 자세한 방법은 Lee and Kim(2025b)을 참조할 수 있다.
Fig. 6은 θ = 10o(θ* = 160o)이고, TS = 1 .57 sec 조건의 실험결과를 이용하여 24개 수집장치별 무차원 월파량 산정식을 도시한 것이다. Fig. 3에 도시된 바와 같이 수집장치 #L01과 #R01~#L12와 #R12는 오목부 중심을 기준으로 대칭되는 위치의 수집장치이다. 각 수집장치별 무차원 월파량 결과를 살펴보면, 대칭되는 수집장치의 무차원 월파량이 동일하지는 않고, 약간의 차이를 보인다.
Fig. 7은 θ = 30o(θ* =120o)이고, TS = 1 .77 sec 조건의 실험결과를 이용하여 24개 수집장치별 무차원 월파량 산정식을 도시한 것이다. Fig. 6 조건의 결과와는 달리 대칭되는 수집장치의 무차원 월파량의 차이가 다소 크게 발생됨을 알 수 있다. 이는 오목부의 중심각(θ*)이 작아짐으로 인해 오목부 구간 내에서 복잡한 파동장이 형성되기 때문으로 판단된다.
오목부 구간의 월파량 증감 분석은 Fig. 6 및 Fig. 7에 나타나 있는 바와 같이 대칭되는 위치에서 분석된 무차원 월파량 산정식의 지수함수의 기울기(b')를 평균한 후, 직각입사 조건의 지수함수 기울기(b)와 b'의 비를 이용하여 각 위치별 보정계수 γθC(= b/b')를 구하게 된다. 이러한 방법을 이용하여 실험조건에 해당하는 모든 무차원 월파량 산정식을 도출하고, 대칭 위치의 지수함수 내 기울기의 평균값을 이용하여 오목부 구간의 월파량 보정계수(γθC)를 산정하게 되면, 전체 192개의 γθC 를 얻을 수 있다.
Fig. 8은 오목부의 평면 형상별로 개별 수집장치 위치에서 도출된 유의파주기별 월파량 보정계수(γθC) 전체를 평균하여 도시한 것이다. Fig. 8에서 가로축의 x는 오목부 중심(x = 0 m)으로부터의 모형상 거리이다. 월파량 계측 위치를 기준으로 볼 때, x ≒ 3 m를 기준으로 보정계수(γθC)가 1 이하 또는 1 이상으로 나타났다. 보정계수가 1 이하인 경우에는 직선형 제체에 직각으로 입사하는 조건보다 월파량이 적다는 것이고, 1 이상인 경우에는 직각입사에 조건보다 많다는 것을 의미한다. 본 실험에서 적용한 오목부의 평면배치가 파향선을 기준으로 대칭형이지만, 오목부 중심부에서 월파가 많이 발생하고, 중심부에서 멀어질수록 월파가 감소할 것이라는 일반적인 예상과는 다른 결과가 나타났다. 본 연구에서 수행한 실험범위 내에서 오목부 중심부(x ≒ 0.2 m, #L01과 #R01 위치)로부터 x ≒ 4.2 m(#L11과 #R11 위치)까지 월파량이 증가하고, 그 이후에 월파량이 감소하는 것으로 나타났다. 오목부 중심에 해당하는 x ≒ 0.2 m 위치에서의 월파량 보정계수(γθC)는 θ = 10o(θ* = 160o)인 경우에 γθC = 0.94, θ = 20o(θ* = 140o)인 경우에 γθC = 0.88, θ = 30o(θ* = 120o)인 경우에 γθC = 0.77, θ = 40o(θ* = 100o)인 경우에 γθC = 0.61이다. Lee and Kim(2025b)에 제시된 직선형 제체에 경사입사파가 내습하는 조건의 경우에 월파량 보정계수(γθ)는 θ = 10o인 경우에 γθ = 0.99, θ = 20o인 경우에 γθ = 0.98, θ = 30o인 경우에 γθ = 0.89, θ = 40o인 경우에 γθ = 0.76이다. 즉, 오목부 중심부 구간에서는 오목부의 보정계수가 작은 것으로 나타났으나 오목부 중심으로부터 약간 떨어진 위치부터는 경사입사파 조건에서의 보정계수(γθ)보다 유사하거나 크게 나타났다. 즉, x ≒ 1.4 m 위치에서의 보정계수(γθC)는 θ = 10o인 경우에 γθC = 0.95, θ = 20o인 경우에 γθC = 0.93, θ = 30o인 경우에 γθC = 0.91, θ = 40o인 경우에 γθC = 0.88로서 θ ≤ 20o에서는 경사입사파 내습 조건의 보정계수(γθ)보다 약간 작지만, θ ≥ 30o에서는 크게 나타났다. Fig. 8에 도시된 결과는 입사파의 주기에 관계 없이 계측 위치별(x) 결과를 나타낸 것으로서 계측 위치를 입사파의 유의파주기에 대응하는 파장으로 무차원하여 검토할 필요가 있다.
Fig. 9는 본 오목부 실험에 적용된 유의파주기별 월파량 보정계수를 도시한 것으로서 가로축은 무차원 거리(x/LS)로 나타내었으며, LS는 유의파주기에 대응되는 유의파장이다. TS = 1.18 sec의 경우, x/LS ≤ 1.8 구간에서는 보정계수의 변화가 크지 않고 γθC < 1로 나타났으며, x/LS ≥ 2 구간에서는 γθC 가 1보다 크거나 약간 작은 값을 보였다. TS = 1.38 sec의 경우에는 x/LS ≥ 1.3, TS = 1.57 sec의 경우에는 x/LS ≥ 1.1, TS = 1.77 sec의 경우에는 x/LS ≥ 1 구간부터 보정계수 γθC 가 1보다 크게 분석되었다. 따라서 입사파의 주기가 증가할수록 γθC ≥ 1이 발생하는 x/LS의 위치가 오목부 중심부에 가까워지는 것으로 나타났다.
Table 2는 오목부 구간 실험으로부터 분석된 월파량 보정계수(γθC)를 x/LS ≒ 1을 기준으로 정리한 것이다. 오목부 배치 형상별(θ, θ*)로 입사파의 유의파주기(TS)에 따른 보정계수를 x/LS < 1과 x/LS > 1 구간으로 구분한 후 구간범위내 보정계수의 평균값과 오목부 배치 형상별(θ, θ*)로 각각의 유의파주기에 해당하는 보정계수를 평균한 값[(γθC)ave]을 정리한 것으로서 경사입사파 내습 조건으로부터 도출된 보정계수(γθ)와 비교하였다. x/LS < 1 구간에서는 θ ≤ 30o(θ* ≥ 120o) 조건에서는 (γθC)ave < γθ, θ = 40o(θ* = 100o) 조건에서는 (γθC)ave ≒ γθ로 나타났고, x/LS > 1 구간에서는 전체적으로 (γθC)ave > γθ로 분석되었다. 즉, 파향선 기준 대칭형 오목부 평면형상의 경우에 θ ≥ 40o(θ* ≥ 100o) 조건에서 x/LS < 1 구간은 경사입사파 내습시의 월파량 보정계수(γθ)의 적용이 가능하지만 그 이상의 구간에서는 직각입사 조건보다 큰 보정계수(γθ > 1)의 적용이 필요함을 의미한다.
본 실험에서 적용한 오목부 모형의 한변이 5 m이기 때문에 적용된 유의파주기를 감안할 때 충분하지 않은 것으로 판단된다. 즉, 오목부 구간 보정계수(γθC)가 1보다 커진 이후에 다시 1 이하가 되는 구간을 확인하지 못하였다. 또한 본 실험에서 적용한 오목부 평면배치 형상은 파향선에 대해 대칭인 형상이고, 오목부의 평면배치 형상이 파향선 기준으로 비대칭일 경우에는 상당히 다른 결과가 도출될 가능성이 높다. 따라서 오목부 구간에 대한 월파량 보정계수 산정을 위한 제안식의 도출은 어려울 것으로 판단된다. 다만, 비대칭형 오목부 구간에 대한 실험적인 검토가 어려울 경우에는 오목부 중심으로부터 1파장 이내 구간에서는 파랑이 구조물에 직각으로 입사하는 조건(γθ = 1)으로 구조물의 마루높이를 산정하면 약간 보수적인 결과가 될 것이고, 1~2파장 구간에서는 Table 2에 오목부 형성 각도별(θ*)로 제시된 (γθC)ave를 이용하여 평균월파량을 산정할 수 있을 것으로 생각된다. 즉, Lee and Kim(2025b)이 제시한 평균월파량 산정식에서 γθ 값을 (γθC)ave 값으로 대체하여 적용할 수 있다. 그러나 중요 구조물의 경우에는 별도의 실험적인 검토가 요구된다.
4. 결 론
본 연구에서는 경사식구조물을 대상으로 파향선 기준으로 대칭인 오목부 형상의 구조물 배치에서 월파량의 공간적인 변화를 검토하기 위해 3차원 실험을 수행하고, 그 결과를 분석하였다.
주요 실험결과를 요약하면 다음과 같다.
(1) 파향선을 기준으로 대칭형인 오목부 중심부 구간에서는 직선형 제체에 파랑이 직각으로 입사하는 조건보다 월파량이 적게 나타났으며, 오목부 중심에서 약 1 파장 이상 이격된 위치에서 직각입사 조건보다 많은 월파량이 계측되었다. 즉, 오목부 중심으로부터 1파장 구간 내에는 경사입사파 조건의 월파량과 유사하고, 1파장 이상에서는 직각입사 조건보다 많은 월파량이 발생하는 것으로 나타났다.
(2) 파향선을 기준으로 대칭형인 경사식구조물의 오목부 구간 월파량은 Lee and Kim(2025b)이 제안한 월파량 산정식에 보정계수를 대입하여 평균월파량을 산정할 수 있다. 즉, Lee and Kim(2025b)이 제안한 월파량 산정식에 오목부 중심으로부터 1파장 이내 구간에서는 월파량 보정계수를 γθ = 1을 적용하고, 오목부 중심으로부터 1~2파장 위치의 구간에서는 오목부 형성 각도별(θ*) 로 제시된 (γθC)ave를 γθ로 대체하여 적용할 수 있다.
(3) 본 실험으로부터 오목부 구간의 월파량 변화는 확인하였지만, 오목부 구간의 월파량은 평면배치 형상(대칭, 비대칭) 및 입사각의 변화 등에 따라 변화가 클 것으로 예상되므로 조건에 맞는 수리모형실험을 수행하는 것이 바람직하다. 다만, 수리모형실험의 수행이 어려울 경우에는 본 실험으로부터 도출된 월파량 보정계수를 적용할 수 있다.
본 실험은 파향선 기준으로 대칭인 경사식구조물의 오목부 구간을 대상으로 평면실험을 통해 월파량의 공간적인 분포를 검토하였다. 추후 비대칭형인 오목부를 대상으로 검토하여 대칭형 오목부 구조물과의 차이점 및 공간적인 월파량의 변화 등을 검토할 필요가 있다.









