드론을 활용한 고주파 레이다의 안테나 패턴 측정(APM) 가능성 검토

요약

광해역의 표층 해수유동을 준 실시간으로 측정하는 장비인 해양 고주파 레이다(High Frequency Radar, HFR)는 특정 전파대역(HF)의 주파수를 해수면으로 발사하고 후방으로 산란된 전파를 분석하여 표층 유속 벡터를 측정한다(Crombie, 1955; Barrick, 1972). 본 연구에서 사용되는 Codar사의 Seasonde HF radar의 경우, 무지향성 안테나에서 송·수신한 전파의 브래그 피크(Bragg peak)의 강도와 다중신호분류(Mutiple Signal Classification, MUSIC) 알고리즘을 통하여 방사형 해류(Radial Vector)의 속도와 위치를 결정하게 된다. 이때 생산된 해류는 관측 전파 수신 환경의 특성이 고려되지 않은 이상적인 전파환경(Ideal Pattern)이 적용된 자료로써 이를 보정하기 위하여 안테나 패턴 측정(Antenna Pattern Measurement, APM)을 시행하여 보정된 방사해류장(Measured Radial Vector)을 계산하게 된다. APM의 관측원리는 안테나로부터 수신되는 각 위치별 신호 강도값을 측정하여 해류의 위치 및 위상 정보를 수정하는 것으로 일반적으로 선박에 안테나를 설치하여 실험을 진행한다. 하지만 선박을 활용할 시, 기상조건과 해양 상황 등 다양한 환경에 의해 최적의 APM 결과를 산출하기까지 많은 제약이 따른다. 따라서 APM 실험에 대하여 해상 상황에 대한 의존도를 낮추고 경제적인 효율성을 높이기 위하여 무인항공기인 드론을 이용한 APM 활용 가능성을 검토하였다. 본 연구에서는 전남 완도군 당사리 당사도등대에 설치된 고주파레이다를 활용하여 선박을 활용한 APM 실험과 드론을 활용한 APM 실험을 진행하였으며 선박과 드론으로 관측된 결과가 적용된 방사형 해류와 계류된 고정부이를 활용하여 그 결과를 비교 분석하였다.

Abstract

The High-Frequency Radar (HFR) is an equipment designed to measure real-time surface ocean currents in broad maritime areas.It emits radio waves at a specific frequency (HF) towards the sea surface and analyzes the backscattered waves to measure surface current vectors (Crombie, 1955; Barrick, 1972).The Seasonde HF Radar from Codar, utilized in this study, determines the speed and location of radial currents by analyzing the Bragg peak intensity of transmitted and received waves from an omnidirectional antenna and employing the Multiple Signal Classification (MUSIC) algorithm. The generated currents are initially considered ideal patterns without taking into account the characteristics of the observed electromagnetic wave propagation environment. To correct this, Antenna Pattern Measurement (APM) is performed, measuring the strength of signals at various positions received by the antenna and calculating the corrected measured vector to radial currents.The APM principle involves modifying the position and phase information of the currents based on the measured signal strength at each location. Typically, experiments are conducted by installing an antenna on a ship (Kim et al., 2022). However, using a ship introduces various environmental constraints, such as weather conditions and maritime situations. To reduce dependence on maritime conditions and enhance economic efficiency, this study explores the possibility of using unmanned aerial vehicles (drones) for APM. The research conducted APM experiments using a high-frequency radar installed at Dangsa Lighthouse in Dangsa-ri, Wando County, Jeollanam-do. The study compared and analyzed the results of APM experiments using ships and drones, utilizing the calculated radial currents and surface current fields obtained from each experiment.

1. 서 론

고주파 레이다(High Frequency Radar, HFR)는 해수면으로 고주파 대역의 전파를 발사하여 해수면으로부터 되돌아오는 전파를 분석하여 유속벡터를 측정하는 장비이다. 이러한 고주파 레이다는 단일 정점 관측을 수행하는 해류계(Current meter)나 다층해류계(ADCP)와 달리 45~90 km의 광대역의 해역을 준실시간으로 관측할 수 있기 때문에 해양 자료분석 외에도 고파랑이나 쓰나미와 같은 해양 재난재해 예측, 유류 유출 오염 시 유동 경로에 대한 감시, 선박 사고 발생 시 인명 구조 및 수색 대응을 위한 기초자료 제공과 같은 해양 사고에 대한 안전 및 대응 분야에 활용될 수 있다. 국내에서는 해안 감시 및 안전 사고 대응을 주 목적으로 하여 항만 및 수로 교통이 많은 연안 지역에 약 55기의 고주파 레이다가 실시간으로 운영되고 있으며 고주파 레이다로 관측한 광역 표층해류는 해양 예측, 해양 안전 및 사고 대응을 목적으로 외부 기관에 자료를 제공하므로 정확한 자료의 품질이 무엇보다 중요하다. 자료의 품질을 보정하는 방법은 이미지 분석, 장비 진단 자료를 통한 필터링, 자료 보간 등 여러 요소가 있으나 자료 생산의 기본이 되는 전파의 기본 품질을 분석하는 방법인 안테나 패턴 측정(Antenna Pattern Measurement, 이하 APM)이 가장 중요하다(Kim et al., 2022).
APM은 레이다 송신한 전파신호를 수신 및 중계하여 레이다로 재송신하는 트랜스폰더(Transponder, 이하 트랜스폰더)와 안테나(Antenna, 이하 안테나)를 활용하여 설치된 고주파 레이다 안테나 주변의 전파 수신 감도를 측정하는 방법이다. 주로 선박을 활용하여 실험을 진행하며 해상상황이 좋지 않거나 선박 대여가 불가할 경우 직접 트랜스폰더를 들고 안테나 주변을 일정한 간격과 속도로 이동하는 도보 APM 방법을 사용하며 이때 최소 사용주파수의 한 파장 간격을 이격하여야 한다(Fernandez et al., 2003; Teresa Updyke Old Dominion University, 2020). APM 실험은 전파신호를 송,수신하여 해류벡터의 방향을 보정하고 특정 방향에서 유입되는 전파 잡음이 자료 미치는 영향을 보정하는 것으로 다양한 수행 환경에서 전파 잡음이 자료에 미치는 영향을 분석하거나, 각 APM 수행 방법에 따른 자료 품질평가 등 다양한 연구가 필요하다고 사료된다.
국외의 경우 반복적인 APM 실험 및 시뮬레이션을 통하여 현장 실험 시 수행 방법과 주의사항에 대해 문서화하여 매뉴얼이 제작되어 있다(Teresa Updyke Old Dominion University, 2020). 이 외에도 APM 수행 방식(선박, 도보, AIS)에 따른 결과를 실측자료와 비교 분석, APM의 이상적인 모델 패턴과 관측 패턴 각각의 결과에 대한 실측 자료와의 비교평가, 시뮬레이션을 통하여 40가지 다양한 APM 관측 패턴에 따른 표층해류 결과 분석, 주변 전파 잡음으로 인한 안테나 패턴 왜곡의 교정 방법 연구 등 APM에 관한 다양한 연구 결과가 제시되어 있다(Lai et al., 2017; Lu et al., 2017; Evans et al., 2015; Laws et al., 2010; Kohut and Glenn, 2003). 특히 Lu et al.(2017)의 경우 드론에 부착 가능한 APM 안테나와 트랜스 폰더를 제작하여 선박 APM 과의 비교실험을 제시하였으며 선박으로 실험한 APM의 방사형 해류자료와 직접 비교하여 크게 차이가 없음을 증명하였다.
그러나 국내의 경우 APM 실험이 고주파 레이다에서 관측되는 표층해류장에 큰 영향을 미침에도 불구하고 그에 따른 연구 결과가 부족한 상황이다. 하지만 Kim et al.(2022)에서 시간대별 신호대비 전파 잡음 비(Signal to Noise Ratio, SNR)와 전파잡음 강도(Noise Floor, NF)를 통한 전파 환경을 분석하여 전파 환경에 따른 자료에 미치는 영향 평가를 수행하였으며 이는 최적의 APM을 위한 환경조건을 제시하는 연구를 수행하였다. 신호 대비 전파 잡음 비(SNR)는 고주파 레이다가 송수신 하는 신호 강도를 기준으로 외부에서 들어오는 전파 잡음 신호(NF)의 비율을 나타낸 것이며 SNR과 NF는 서로 음의 상관성을 보이고 NF가 높고 SNR이 낮을수록 관측 품질이 저하된다. Kim et al.(2022)은 고주파 레이다에서 기록되는 레이다의 상태 진단 파일(diagnostic files)을 통하여 레이다의 시간대별 전파 상황 및 관측 상태를 진단하고 관측 상황이 좋은 시간대와 좋지 않은 시간대를 분류하여 각 상황에서의 선박 APM 실험을 진행하였다. 각 실험으로 산출된 광역 표층 해류를 라그랑지안 해류 관측 방식인 드리프터를 활용하여 그에 따른 고주파 레이다의 관측 정확도를 비교하였으며 이를 통해 전파 환경에 따라 비교 결과에 대한 차이가 명확하게 나는 것을 확인하였다. 그러나 해당 연구의 경우 관측 지점에서의 단일 결과를 통한 결론이며 더욱 명확한 근거 마련을 위해서는 동일한 상황에서의 추가적인 실험이 필요하다고 사료된다. 그러나 해당 연구에서 활용한 선박 APM 실험의 경우 해상 상황, 동일 선박의 대여 가능여부, 선박 대여 비용에 대한 예산 확보 등과 같은 다양한 장애물이 발생하여 관측의 연속성 및 지속성을 저해할 우려가 있다. 따라서 본 연구에서는 해외 연구사례를 참조하여 선박 및 도보 APM 관측의 단점을 보완하고 실험 효율성 증대를 위하여 드론을 활용한 APM을 수행하였으며 이에 더하여 해외 사례에서 실험되지 않았던 타 관측장비와의 해류자료 비교를 수행하였다. 국립해양조사원의 고정부이에서 관측되는 실측 해류 자료와의 상관성 비교를 통해 드론 APM으로 생성된 고주파 레이다 해류자료의 정확성에 대해 평가하여 드론 APM의 실제 적용 가능성에 대하여 검토하였다.

2. Antenna Pattern Measurement (APM)

본 연구에서 사용되는 Codar사의 Seasonde HF radar의 경우 전 방위에 무지향성의 전파를 발사하여 되돌아오는 신호를 분석하는 방법을 사용하며 이때 관측된 신호를 다중신호 분류(Multiple Signal Classification, MUSIC) 알고리즘을 활용하여 확률계산을 통하여 벡터의 위상, 속도, 그리고 위치를 계산한다(Emery, 2019; Emery and Washburn, 2019; Yang et al., 2005). 그러나 MUSIC 알고리즘을 통한 추정 방법은 확률분포를 통한 해류 벡터의 위치를 추산하는 방법으로 확률적으로 특정 위상과 속도를 가진 해류가 존재하는 위치의 가능성을 계산할 뿐이므로 정확한 해류자료를 계산하기에는 한계점이 존재한다. 이를 보완하기 위한 고주파 레이다의 추가 실험인 안테나 패턴 측정(Antenna Pattern Measurement)은 이동 물체(선박, 드론, 인력)를 통하여 레이다를 중심으로 원을 그리며 이동하며 고주파 레이다에서 송신된 전파를 수신하여 재송신하는 트랜스폰더와 APM 송신 안테나를 통하여 약한 신호의 전파를 송신하고 각 위치로부터 안테나로 수신되는 방향별 신호강도(Signal strength)를 측정하는 방법이다. 그리고 관측된 신호 강도를 통해 고주파 레이다의 안테나 패턴을 보정하고 특정 신호 강도에 따른 방사해류장(Radial vectors)의 위상, 속도 그리고 관측 위치를 수정하여 정확한 표층 해류장(total vectors)를 생산하는 역할을 한다(Kim et al., 2022).
APM을 수행하는 방법에는 선박(Fig. 1a), 도보(Fig. 1b), 드론(Fig. 1c)을 이용한 방법이 사용된다. 선박을 활용한 APM은 위에서 제시한 방법 중 가장 보편적으로 활용되는 것으로 안정적인 전파 송수신 거리 확보를 위하여 레이다 안테나로부터 약 300 m~1 km를 해상에서 이격하여 3~5 knot의 속도로 선박 외부에 송,수신용 대형 안테나를 고정시켜 전파 환경 패턴을 취득하는 방식이다. 그러나 선박 APM은 해상에서 실험을 수행하기 때문에 파고가 높거나 강풍 및 호우 등의 기상 악조건에는 출항이 불가하며, 저조 시 지형이 불균일한 해안가는 선박이 진입하지 못하여 관측할 수 없는 단점이 존재한다. 또한 선박 대여에 따른 고비용과 선장의 조타 능력에 따라 일정한 간격과 속도를 유지하지 못하여 실험결과에 영향을 미칠 수 있는 단점도 지닌다.
육상에서 도보를 통한 APM 방법은 직접 트랜스폰더와 안테나를 들고 육상에 설치된 고주파레이다의 사용주파수의 한 파장 이상 거리에서 육상이 존재할 경우 기상조건의 영향 없이 경제적으로 수행이 가능하다는 장점이 있다. 그러나 존재하는 육상이 평탄한 지형이 아닌 절벽이나 암반 지형과 같은 고도차가 있을 경우, 일률적인 이동속도를 유지할 수 없어 안정적인 전파환경 패턴을 얻을 수 없으며 이동에 제한이 발생할 수 있으므로 레이다가 관측 가능한 방사형 수신범위를 모두 커버하기에 부족할 수 있다. 또한 손으로 직접 들고 이동해야 하는 도보 APM 특성상 양손을 자유롭게 움직일 수 없으므로 험난한 지형일 경우 사고의 발생률이 높아 실험 위험도가 크게 증가한다.
드론을 활용한 APM은 공중에서 실험을 진행하기 때문에 이동경로를 막는 장애물이 거의 존재하지 않아 선박이나 도보 APM 실험에 비하여 자유롭게 이동이 가능하며 시간 및 장소에 구애받지 않고 실험이 가능하다는 장점이 있다. 추가적으로 어플리케이션을 통한 드론의 이동경로 자동화 및 호버링을 통한 강풍에서의 안정성을 통하여 매회 일률적이고 안정적인 원형 이동경로를 얻을 수 있어 실험간의 자료 편차를 줄일 수 있다. 그러나 드론의 유효 탑재량(payload)의 한계로 인하여 현재 존재하는 트랜스폰더와 안테나를 탑재하여 이동하는 것은 불가능하므로 안테나 및 트랜스폰더의 소형화가 이루어져야 하며 이로 인한 전파 송수신의 불안정성이 발생할 가능성이 존재한다.

3. 실험 개요 및 방법

전라남도 완도군 소안면 당사도길 당사도 항로표지 관측소에 고주파 레이다를 설치하여 2023년 8월 26일(토) 14시부터 28일(화) 15시까지 광역 표층해류 관측을 수행하였으며(Fig. 2) 기간 중 8월 27일(일) 11시에서 16시까지 선박과 드론 APM 실험만을 진행하였다. 육상에서 도보에 의한 APM 실험은 절벽 및 암반 지형에 의하여 불가하였다.
선박 APM은 본 연구에서 사용하는 고주파 레이다의 제작사인 CODAR 社의 트랜스폰더와 안테나를 활용하여 실험을 진행하였으며 그 결과를 본 논문에서는 Ship APM으로 명명하였다. 드론 APM은 CODAR 社의 장비를 참조하여 UC santa Barbara(UCBS)에서 직접 제작된 트랜스폰더와 안테나를 활용하여 수행하였다(Washburn et al., 2017). 또한 드론 날개의 회전에 의해 발생하는 자기장이 APM 실험에 영향을 미칠 수 있는 것을 평가하기 위해 안테나에 부도체를 부착/미부착하여 2번의 실험을 진행하였으며 각각을 Drone AMP1과 Drone APM2로 명명하였다. 당사도에 설치된 고주파 레이다는 13MHz 대역을 사용하며 최대 90 km까지 관측할 수 있으며 관측 거리는 당시의 전파 환경에 좌우된다. 실험 시간에 따른 관측 거리의 경우 신호대비 전파 잡음비(SNR)에 따라 바뀌며 최소인 25 dB에서 약 70 km의 관측거리를 보였으며 최대인 45 dB에서 약 90 km의 관측 거리를 보였다(Fig. 3). 현재 운영중인 제주해협 고주파 레이다의 평균 신호 대비 전파 잡음비인 10~30 db와 비교하였을 때 당사도의 경우 신호에 비해 전파 잡음이 상대적으로 낮아 APM 실험 중에 전파 잡음으로 인한 영향을 낮출 수 있을 것으로 기대 되었다.

4. 실험 결과

4.1 자료 획득률

선박과 드론의 자기장 영향이 고려된 총 3번의 APM 실험 결과들을 각각 적용하여 전체 관측 기간의 자료 획득률을 모식화하였다(Fig. 4). 그 결과 선박 80.01%, 드론 실험1 80.83%, 드론 실험2 83.2% 의 높은 자료획득률을 보였다. 이 중 드론과 선박의 관측 영역을 비교하였을 때 선박 실험에서의 결측 부분이 존재하는데 이는 선박 실험 도중 수심이 낮고 전방에 양식장이 존재하여 선박의 진입이 불가하였기 때문이며 드론의 경우 항공에서 촬영하므로 이동에 장애를 받는 부분이 존재하지 않아 전 범위를 관측할 수 있었다. 또한 세가지 실험의 관측영역 부분에서 레이다 관측소를 중심으로 우상단 영역에 약간의 자료 결측 지역이 존재하였는데 이는 레이다와 APM 장비 간에 원활하지 못한 송수신의 결과로써 안테나 주변의 교란신호나 지형 지물의 간섭 등의 원인에 의해 발생한 것으로 판단된다.
Fig. 4에 실선으로 표기된 루프 패턴은 APM 실험으로 도출된 위치별 고주파 레이다의 전파신호 송수신 상태를 나타내는 것이며 원형에 가까울수록 이상적인 루프패턴을 보이는 것으로 정확한 표층해류의 관측 가능성을 나타낸다. 각 루프 패턴(Loop1, Loop2)과의 비교 결과 루프 1(Fig. 4 붉은색 실선)과 2(Fig. 4 푸른색 실선)의 교차점에서 상대적으로 낮은 자료 획득률을 보였으며 부도체를 부착한 드론 APM 실험2(이하 실험2, Fig. 4c)의 결과가 드론 APM 실험1(이하 실험1, Fig. 4b)보다 루프 교차점에서 높은 자료 수집율을 보였다. 드론이 비행 시 날개의 회전에 의해 자체 자기장(magnetic field)이 발생하는데 이러한 자기장이 트랜스폰더에서 송수신되는 전파에 잡음의 형태로 영향을 끼쳐 부정확한 해류자료를 만들 가능성이 존재한다. 이러한 자체 자기장은 영향을 받는 물체의 거리에 비례하여 감쇄하므로 전파에 영향을 주지않는 부도체를 부착하면 이러한 자기장의 영향을 줄일 수 있다. 따라서 위의 자료수집율 차이에 따른 결과는 부도체를 부착하였을 때 드론의 날개에서 발생하는 자기장의 감쇄 효과가 있을 것이라고 고려되나 동시간대의 전파간섭 효과에 대한 정량적인 자료를 얻기 위해서는 추가 실험이 필요하다고 판단된다.

4.2 방사형 해류자료(radial vector) 비교 평가

우선적으로 당사도 레이다의 원시자료 비교 평가를 위하여 각 APM 실험 결과로 생성된 방사형 해류자료의 결과를 실측자료와 비교하였다. 비교 평가는 고주파 레이더에서 관측된 방사형 해류자료와 실측 자료간의 상관관계(Corr.)와 RMSE를 통하여 자료의 정확도를 분석하였으며 계산 식은 식 1, 2에 명시하였다.
(1)
Correlation=i=1N(Pi-P¯)(Oi-O¯)i=1N(Pi-P¯)2i=1N(Oi-O¯)2
(2)
RootMeanSquaredError=1Ni=1N(Pi-Oi)2
(3)
O=i=0NwiOii=0Nwi(wi=1dio)
여기서 Pi는 고주파 레이더에서 관측된 방사형 해류자료이며 Oi는 실측 자료를 나타내며 N은 비교자료에 사용된 관측 자료의 개수를 나타낸다. 사용된 실측자료는 국립해양조사원(KHOA)의 고정부이로 매 30분 단위의 해수 흐름을 관측하는 고정점 부이를 활용하였다(Fig. 4 검은색 사각형). 고주파 레이다 자료는 연속 관측을 수행하여 매 10분 단위의 해류 스펙트럼 자료가 생성되며 이를 1시간으로 평균한 해류 자료를 생산하므로 부이 자료 또한 10분 자료로 보간한 뒤 1시간으로 평균하였으며 레이다의 공간 관측 단위인 3 km에 맞추어 고정점 부이 반경 3 km 내에 포함되는 레이다 자료를 거리에 따른 가중치가 고려된 평균계산법인 IDW(Inverse Distance Weighted)보간 기법을 통하여 부이위치에서 방사형 해류자료를 생성하였다(식(3)). O'은 보간을 통해 추정된 추정치 이며 wi는 거리 가중치 Oi는 영향 범위 내에 해당하는 샘플점을 나타낸다. 방사형 해류자료의 경우 관측 레이다를 중심으로 발산 또는 수렴하는 방향으로만 관측되므로 고정점 부이의 해류자료 또한 방사형 해류자료에 투영하여 정량적인 비교분석이 가능하도록 후처리를 진행하였다. 레이다 관측기간 동안에 재분석된 방사형 해류자료(Fig. 4)의 비교 결과 획득률에서 Drone APM1보다 Drone APM2에서 높은 결과를 보였던 것과 달리 Table 1에서 제시한 상관관계 계수(Corr.)에서는 0.57~0.76으로 Ship APM(Fig. 5a), Drone APM1(Fig. 5b), Drone APM2(Fig. 5c) 순서로 낮아졌으며, 자료의 RMSE 또한 15.23~16.06 cm/s로 Ship(Fig. 5a), Drone APM1(Fig. 5b), Drone APM2(Fig. 5c) 순서로 각 RMSE 결과들 또한 상관관계와 유사한 결과가 도출되었다(Fig. 5). 시계열 비교 결과(Fig. 6), 전체적인 레이다 해류 값이 유사하게 나타났으나 관측 실험 전,후인 8월 27일 06시~8월 28일 00시까지의 해류 중 선박 APM의 결과(Fig. 6a)가 드론 실험들의 결과(Fig. 6b, c)보다 실측자료와 유사한 것으로 나타났으며 이 결과가 상관관계와 RMSE에 영향을 미쳤을 것으로 사료된다.

4.3 합성 해류자료(Total Vector) 비교 평가

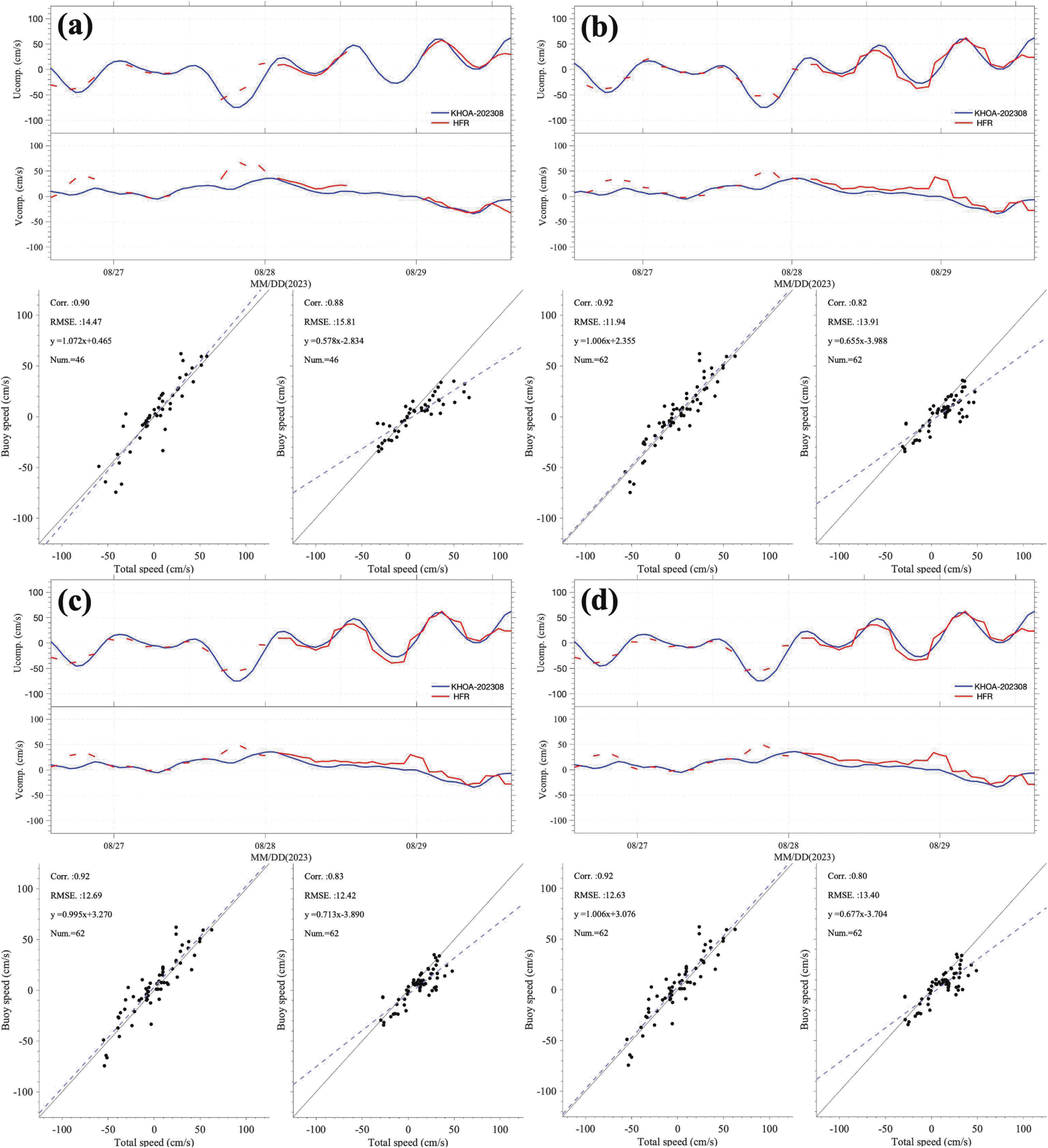
방사형 해류자료의 비교분석 결과에 더하여 해류자료 제공 및 사용에 기준이 되는 합성 해류자료의 비교 평가를 진행하였다. 합성 해류자료는 2개 이상의 레이다 사이트에서 관측되는 방사형 해류자료를 합성하여 만들어지는 자료이므로 각 레이다 사이트의 자료 품질이 서로 영향을 끼치게 된다. 본 연구에서는 국립해양조사원의 제주 해협 자료를 비교하기 위하여 제주도 김녕, 신엄 지역의 레이다 사이트에서 관측된 방사형 해류자료와 합성하여 제주 해협의 합성 해류자료를 생성하였다. Fig. 7a는 김녕과 신엄 사이트만으로 합성한 표층 해류의 비교결과이며 Fig. 7b, c, d는 각각 김녕과 신엄 사이트에 선박, 드론 APM 실험을 통한 당사도의 방사형 해류자료를 더하여 만들어진 합성 해류자료를 실측자료와 비교한 결과이다. 각 관측 결과(Table 2, Fig. 7)의 상관관계 계수(Corr.)에서 동서방향의 성분(U comp.)은 세 실험 모두 0.92로 나타났으며 남북방향의 성분(V comp.) 0.80~0.83으로 나타났고 드론 실험2, 선박, 드론 실험1 순으로 높은 상관관계를 보였다. 또한 RMSE의 경우 동서방향 성분은 11.94~12.69 cm/s로 드론 실험1, 실험2, 선박 순으로 낮게 나타났으며 남북방향 성분의 경우 12.42~13.91 cm/s로 선박, 드론 실험2, 드론 실험1 순으로 낮은 결과를 보였다. 각 실험의 결과 모두 거의 유사한 상관 계수와 RMSE를 보였는데 이는 당사도를 제외한 제주 김녕, 신엄의 방사형 해류자료의 합성 결과(Fig. 7a)가 부이의 해류자료와 이미 높은 유사도를 보였기 때문으로 판단된다. 합성 해류장의 경우 각 관측 사이트 생성되는 방사형 해류자료 벡터들의 합성을 통해 생성되는데 김녕, 신엄의 방사형 해류자료가 실측자료와 이미 좋은 상관관계를 보이고 있었으며 당사도 또한 실측자료와 좋은 상관 관계를 보였기 때문에 자료 합성의 과정에서 각 방사형 해류의 위상 및 속도가 크게 차이나지 않아 최종 생성되는 합성 해류자료의 품질에 크게 영향을 끼치지 않은 것으로 보인다. 그러나 시계열 자료에서 당사도 자료가 포함됨으로써 김녕, 신엄으로 합성한 해류자료에서의 결측 자료를 보간할 수 있었으며(Fig. 7b, c, d) 그럼에도 불구하고 부이자료와 높은 유사도를 보임에 따라 합성 해류자료 품질에 긍정적인 영향을 끼쳤을 것으로 판단된다.

5. 토 의

국립해양조사원(KHOA) 고정점 부이와의 비교평가 결과 드론과 선박 APM을 통한 방사형 해류자료, 합성 해류자료 모두 상관관계와 RMSE에서 거의 유사한 결과를 보여 APM 관측시 드론이 선박의 대체 가능성을 확인할 수 있었으며 자료 획득률을 참고하였을 때 선박이 양식장 및 낮은 해저 지형에 의해 진입하지 못하는 영역을 관측하여 자료획득이 증가하는 것으로 보아 일정 부분에서 드론 APM 실험의 이점을 확인할 수 있었다. 그러나 이는 전파상황이 우수했던 당사도 지역의 특성 또한 중요하게 작용했을 것이며 약 3~4일의 짧은 기간 관측된 자료이므로 장기적인 자료와의 비교분석을 통한 세밀한 평가가 필요할 것으로 판단된다. 그리고 비교평가 자료 또한 1 정점에서만 관측하는 고정 부이와의 비교 결과이므로 고정점 자료가 광역 표층해류를 관측하는 고주파 레이다를 대변할 수 있는가에 대한 분석이 필요할 것으로 보인다. 이는 부산 영도에서 동일한 방법으로 실험한 결과(Fig. 8)를 라그랑지안 해류 관측장비인 드리프터와 비교하였을 때 높은 유사도를 보이는 것으로 나타났다(Fig. 9a-e, Table 3). 하지만 지역적인 특성이 다른 지점에서 실험한 결과이므로 차후에는 같은 지역에서 고정 부이와 드리프터를 함께 사용하여 오일러식, 라그랑지안식 해류를 모두 비교하는 연구가 필요할 것으로 보인다.
또한 APM 실험에 부착된 안테나의 경우 레이다 제작사에서 제작된 트랜스폰더와 안테나가 아니므로 이에 대한 추가 실험을 통하여 장비 자체의 정밀 평가 또한 필요할 것으로 사료된다. 본문에서 언급되었던 부도체 부착을 통한 드론 자체에서 발생하는 자기장에 대한 전파간섭의 변화, 드론의 고도와 이동 속도에 따른 자료 질 분석, 드론의 움직임 및 강풍으로 인해 발생되는 안테나의 흔들림에 따른 전파 날림의 영향 정도와 같은 안정성 평가에서 유효한 결과를 얻을 수 있다면 시간과 장소에 구애받지 않는 드론 APM 실험이 선박 및 도보 APM 실험의 단점을 보완할 수 있을 것이라 사료된다.

6. 결 론

본 연구에서는 고주파 레이다의 관측 자료 품질 향상을 위해 수행되는 안테나 패턴 측정(Antenna Pattern Measurement)에 관하여 기존에 수행되고 있는 방법인 선박 및 도보를 통한 관측에서 이동 경로 제한, 비용 문제, 해상상황에 대한 높은 의존도와 같은 단점들을 보완하고 실험의 통일성 및 효율성 증대를 위하여 무인항공장치인 드론을 활용한 APM 실험의 가능성에 대하여 검토하였다. 당사도 항로표지 관측소에 고주파 레이다를 설치하여 약 4일간 광역표층해류 관측을 진행하였다. 지형의 제한으로 도보 실험이 불가하여 드론과 선박을 통한 APM 실험만을 진행하였으며 드론 자체에서 발생하는 자기장의 영향 평가를 위하여 안테나에 부도체를 부착/미부착하여 2번의 실험을 진행하였다. 각각의 APM 실험 결과를 적용하여 분석한 결과 드론, 선박 APM 모두 평균 80% 이상의 높은 해류자료 수집율을 보였으며 루프1과 루프2의 교차지점에서 자료수집율이 약 10~20% 낮아지는 것을 확인하였다. 선박과 드론 실험의 자료 획득률을 비교하였을 때 선박 실험의 좌상단의 결측 지역은 선박이 낮은 수심과 주변 양식장으로 인한 진입불가로 관측이 불가하여 발생하였는데, 이 부분을 장애물이 없어 자유롭게 이동이 가능한 드론 실험을 통하여 자료 보간이 가능하였다. 또한 부도체를 부착한 드론 실험2가 드론 실험1보다 루프 교차지점에서 높은 자료 수집율을 보임으로써 부도체의 부착 효과가 긍정적인 영향을 미치는 것으로 판단된다. 정량적인 실험 결과 분석을 위하여 각각의 APM 실험을 통하여 생성된 방사형 해류자료(Radial vector)를 국립해양조사원의 고정점 부이자료에서 관측되는 해류자료와 비교하였다. 각각 시간 및 공간해상도를 동기화한 뒤 거리가중치(IDW)를 통하여 자료를 보간하여 비교 분석을 수행하였다. 방사형 해류자료의 경우 상관관계 0.57~0.76, RMSE 15.23~16.06 cm/s 를 보였으며 선박 APM, 드론 실험1, 실험2 순으로 높은 결과를 보였다. 이에 더하여 당사도 APM 실험에 대한 제주해협 광역 해류자료의 영향 평가를 위하여 기존에 생산되고 있는 제주 김녕, 신엄 레이다 사이트에서 관측된 방사형 해류자료에 당사도 해류자료를 더하여 제주해협의 합성 해류자료(Total vector)를 생산하고 이를 실측 자료와 비교하였다. 기존 합성 해류자료와 3회의 APM 실험을 통한 당사도 레이다 사이트가 포함된 합성 해류자료의 비교 결과 4개의 자료 모두 거의 유사한 상관관계 계수(Corr.)와 RMSE를 보임에도 불구하고 기존 합성 해류자료의 결측을 보간함으로써 드론과 선박 APM 실험 모두 제주 해협 광역 표층 해류자료 품질에 긍정적인 영향을 끼친 것으로 판단된다. 드론과 선박을 활용한 APM 실험을 바탕으로 분석한 결과를 토대로 유사한 상관관계 계수(Corr.)와 RMSE를 보이며 제주해협 표층해류의 결측자료 보간과 선박실험이 관측하지 못하는 부분을 드론이 관측하는 등 고주파 레이다의 표층 해류 관측에 긍정적인 영향을 끼치는 것으로 보았을 때 드론 APM 실험이 활용 비용 및 운용 효율성에 많은 문제가 내포되어 있는 선박 APM을 대체할 수 있을 것으로 기대된다. 그러나 이는 단일 실험에 대한 분석 결과이므로 다양한 레이다 관측 환경에서의 비교 분석 및 APM 장비 개선을 통하여 드론 APM 실험의 안정성에 대해 면밀히 분석해야 할것으로 사료된다.

감사의 글

이 논문은 2023년 한국해양과학기술원의 기관목적사업(한반도 주변해 해양환경/생태계 변동특성 분석 및 진단 역량 강화)과 2023년도 해양수산부 재원으로 해양수산과학기술진흥원의 지원을 받아 수행된 연구임(20210607, 관할해역 첨단 해양과학기지 구축 및 융합연구). 드론 및 드론 APM용 장비 대여에 협조해주신 (주)요타오션에 감사드립니다.

Fig. 1.
Methods for conducting Antenna Pattern Measurement (APM): (a) Ship, (b) Walking, and (c) Drone.
jkscoe-35-6-109f1.tif
Fig. 2.
Observation area, Dangsa Lighthouse Navigational Aid Station. Radial vectors are observed by sending HF waves toward the Jeju Strait centered on the observation point.
jkscoe-35-6-109f2.tif
Fig. 3.
Observation distance for Signal to Noise Ratio (SNR). A higher SNR indicates a wider observation area. When the SNR was low, the observation distance was narrow, and as the SNR increased, the observation distance was wider.
jkscoe-35-6-109f3.tif
Fig. 4.
Each APM experiment shows the distribution of data acquisition rates for the HF radar obtained through observation. (Ship APM (a), Drone APM1 (b) and Drone APM2 (c)). The red and blue solid lines represent loop1 and loop2 of the HF radar, respectively.
jkscoe-35-6-109f4.tif
Fig. 5.
Scatter plot illustrating the comparison results between radial data and KHOA buoy data. (Ship APM (a), Drone APM1 (b) and Drone APM2 (c)).
jkscoe-35-6-109f5.tif
Fig. 6.
Time-series comparison results between radial data and KHOA buoy data. (Ship APM (a), Drone APM1 (b) and Drone APM2 (c)).
jkscoe-35-6-109f6.tif
Fig. 7.
Time-series data and scatter plot of total currents observed by HF radar and KHOA buoy. The total vectors are synthesized for the following areas. (a) Gimnyeong and Sineom, (b) Gimnyeong and Sineom and Dangsado(Ship APM), (c) and (d) Gimnyeong and Sineom and Dangsado (Drone APM).
jkscoe-35-6-109f7.tif
Fig. 8.
The spatial data acquisition rate of HF radar radial vector in Yeongdo, Busan. The experiment was performed as Dangsado APM experiment.
jkscoe-35-6-109f8.tif
Fig. 9.
Comparison results of radial vector data between the HF radar and each drifter in Yeongdo, Busan. Each drifter is dropped within the observation area of the HF radar and all drifters are manufactured identically. Drifter NO. is 91 (a), 92 (b), 93 (c), 94 (d), 95 (e).
jkscoe-35-6-109f9.tif
Table 1.
Regression results between surface current data observed with KHOA buoy and High-Frequency radar. Each comparison result represents the APM performance method in Fig. 5
APM Method Corr. RMSE (cm/s) a (y = ax + b) b (y = ax + b)
Ship (Fig. 5a) 0.75 15.23 0.72 6.12
Drone1 (Fig. 5b) 0.62 15.54 0.64 3.38
Drone2 (Fig. 5b) 0.57 16.06 0.61 2.84
Table 2.
Comparison results of total currents and U, V components observed by HF radar and KHOA buoy
Current Component. Ship 1 (Corr./RMSE) Drone1 (Corr./RMSE) Drone2 (Corr./RMSE)
U comp. 0.92 / 11.94 cm/s 0.92 / 12.69 cm/s 0.92 / 12.63 cm/s
V comp. 0.82 / 13.91 cm/s 0.83 / 12.42 cm/s 0.80 / 13.40 cm/s
Table 3.
The comparison results between APM experiments and the radial vector of drifters in Yeongdo, Busan
10/04~10/09, 2022 Ship-APM Drone-APM1 Drone-APM2
Drifter name R RMSE (cm/s) R RMSE (cm/s) R RMSE (cm/s)
D91 0.96 8.3 0.98 6.6 0.98 7.5
D92 0.97 9.5 0.96 9.3 0.94 11.3
D93 0.96 12.4 0.94 13.6 0.85 19.7
D94 0.94 8.8 0.93 9.6 0.88 12.5
D95 0.95 11.1 0.98 9.3 0.96 10.6

References

Emery, B.M (2019). Evaluation of alternative direction-of-arrival methods for oceanographic HF radars, IEEE Journal of Oceanic Engineering, 45(3):990-1003.
crossref
Emery, B., Washburn, L (2019). Uncertainty estimates for Sea-Sonde HF radar ocean current observations, Journal of Atmospheric and Oceanic Technology, 36(2):231-247.
crossref
Evans, C.W., Roarty, H.J., Handel, E.M., Glenn, S.M. (2015). Evaluation of three antenna pattern measurements for a 25 MHz seasonde, In 2015 IEEE/OES Eleveth Current, Waves and Turbulence Measurement (CWTM), 1-5.
crossref
Fernandez, D.M., Vesecky, J., Teague, C (2003). Calibration of HF radar systems with ships of opportunity, 2003 IEEE International Geoscience and Remote Sensing Symposium, IEEE, Toulouse, France, 7, 4271-4273.
crossref
Kim, J.Y., Jung, D., Lee, S., Song, K.M (2022). The effect of antenna pattern measurement according to radio wave environment on data quality of HF ocean radar, Ocean and Polar Research, 44(4):287-296 (in Korean).

Kohut, J.T., Glenn, S.M (2003). Improving HF radar surface current measurements with measured antenna beam patterns, Journal of Atmospheric and Oceanic Technology, 20(9):1303-1316.
crossref
Lai, Y., Zhou, H., Zeng, Y., Wen, B (2017). Quantifying and reducing the DOA estimation error resulting from antenna pattern deviation for direction-finding HF radar, Remote Sensing, 9(12):1285.
crossref
Laws, K., Paduan, J.D., Vesecky, J (2010). Estimation and assessment of errors related to antenna pattern distortion in CODAR SeaSonde high-frequency radar ocean current measurements, Journal of Atmospheric and Oceanic Technology, 27(6):1029-1043.
crossref
Lu, B., Wen, B., Tian, Y., Wang, R (2017). Analysis and calibration of crossed-loop antenna for vessel DOA estimation in HF radar, IEEE Antennas and Wireless Propagation Letters, 17(1):42-45.
crossref
Teresa Updyke Old Dominion University (2020). Antenna Pattern Measurement Guide.

Washburn, L., Romero, E., Johnson, C., Emery, B., Gotschalk, C (2017). Measurement of antenna patterns for oceanographic radars using aerial drones, Journal of Atmospheric and Oceanic Technology, 34(5):971-981.
crossref
Yang, S., Ke, H., Wu, X., Tian, J., Hou, J (2005). HF radar ocean current algorithm based on MUSIC and the validation experiments, IEEE Journal of Oceanic Engineering, 30(3):601-618.
crossref