경기만 한강 하구에서의 염 수송 메커니즘

요약

본 연구에서는 해수의 유동에 관한 3차원 수치모델을 사용하여 경기만 한강 하구에서의 염 수송에 대한 메커니즘을 분석하였다. 수치모델의 모의 기간은 갈수기와 홍수기를 포함하는 2020년 1월 20일부터 9월 20일까지 약 245일이며, 모델 결과와 관측 자료의 비교를 통해 해수의 유동 및 염분 변화에 관한 수치모델의 재현성을 입증하였다. 한강 하구에서 염의 교환이 활발하게 이루어지는 염하수로의 북단과 남단 지역에 대해서 염 수송량(FS)을 산출하였다. 염 수송에 대한 발생 기작을 세부적으로 분석하기 위해 FS를 담수 유입에 의한 염의 이류 수송(QfS0), 수평 및 수직적인 유속 차이에 의한 염의 확산 수송(FE), 조석 변동성을 가진 유속과 염분의 위상 차이에 의한 염의 수송(FT)으로 분해하였다. 갈수기와 홍수기의 월 평균 염 수송량에 의하면, 두 기간 모두 외해로부터 한강 하구 지역으로 유입되는 염의 대부분은 FT에 의하여 강화도 남부 수로를 통해 수송된다. 반면에, 한강 하구로부터 외해로 유출되는 염의 대부분은 QfS0에 의하여 영종도 동부 수로를 통해 수송된다. 한강 하구에서 평균적인 염의 수송은 갈수기 동안 FT에 의하여 한강 하구의 상류 방향으로 수송되며, 홍수기 동안 QfS0에 의하여 외해 방향으로 수송된다. 결과적으로, 경기만 한강 하구에서의 염 수송은 외해 방향의 수송을 발생시키는 QfS0와 한강 상류 방향의 수송을 발생시키는 FT의 상호작용에 의하여 결정된다.

Abstract

A 3-D hydrodynamic model is applied in the Han River Estuary system, Gyeonggi Bay, to understand the mechanisms of salt transport. The model run is conducted for 245 days (January 20 to September 20, 2020), including dry and wet seasons. The reproducibility of the model about variation of current velocity and salinity is validated by comparing model results with observation data. The salt transport (FS) is calculated for the northern and southern part of Yeomha channel where salt exchange is active. To analyze the mechanisms of salt transport, FS is decomposed into three components, i.e. advective salt transport derived from river flow (QfS0), diffusive salt transport due to lateral and vertical shear velocity (FE), and tidal oscillatory salt transport due to phase lag between current velocity and salinity (FT). According to the monthly average salt transport, the salt in both dry and wet seasons enters through the southern channel of Ganghwa-do by FT. On the other hand, the salt exits through the eastern channel of Yeongjong-do by QfS0. The salt at Han River Estuary enters towards the upper Han River by FT in dry season, whereas that exits to the open sea by QfS0 in wet season. As a result, mechanisms of salt transport in the Han River Estuary depend on the interaction between QfS0 causing transport to open sea and FT causing transport to the upper Han River.

1. 서 론

염 수송(Salt transport)은 연안 및 하구에서의 오염물질의 확산, 해양 쓰레기의 이동, 퇴적물의 이동 등과 같은 물질들의 이동을 결정하는 중요한 요인 중 하나이다(Bowen and Geyer, 2003). 이러한 물질 이동의 특성을 파악하기 위해 염수송과 관련된 다양한 연구가 지속적으로 수행되어 왔다. Gong and Shen(2011)은 조석과 담수에 의한 수괴의 수직적 혼합이 중국 더우먼구 하구에서의 염 수송에 중요한 역할을 담당한다고 제시하였다. Wang et al.(2015)은 미국 허드슨 하구에서의 염 수송은 조석과 염분의 대조-소조의 변동성에 의하여 결정된다고 제시하였다. Kim and Park(2012)에 의하면 북부 멕시코만 하구에서 담수 유입에 의한 성층 강도와 바람에 의한 순압성 흐름의 상호 작용이 염 수송에 대한 메커니즘을 결정한다. 이와 같이, 염 수송은 조석, 담수, 바람, 지형적인 특성 등 여러 가지 외력의 상호작용에 의하여 수송 기작이 변화하기 때문에, 연구 지역의 특성에 따라 물질 이동의 양상이 상이하게 나타날 수 있다.
경기만 한강 하구는 영종도 매립, 송도 매립, 인천대교 건설, 신국제여객부두 건설 등 인위적인 요인에 의하여 해수의 유동 및 해저의 지형이 지속적으로 변화하고 있는 해역이다. 또한, 인간 활동에 의한 오염물질, 해양쓰레기, 준설토 등 여러가지 물질들이 해수 내로 유입되어 연안 생태계에 피해를 주고 있는 상황에서 물질 이동의 양상을 파악하는 것은 매우 중요하다. 경기만 한강 하구는 조석, 담수, 지형적인 특성에 의하여 시-공간적으로 염분의 변화가 뚜렷하게 나타나는 지역이기 때문에(Yoon and Woo, 2012), 주기적으로 변화하는 염분에 의해 물질 이동의 특성도 지속적으로 변화할 것이다. 따라서, 경기만 한강 하구에서 물질 이동의 양상을 파악하기 위해 염 수송에 대한 메커니즘을 정밀하게 분석할 필요가 있다.
경기만 한강 하구에서 물질 이동과 관련된 다양한 수리학적 연구가 수행되어 왔다. Lee et al.(2017)은 유속 관측을 통해 시-공간적으로 변화하는 순압력 구배에 의해 염하수로에서 낙조 방향의 물질 이동이 나타나며, 대조기에 강화되고 소조기에 약화되는 대조-소조의 변동성을 가진다고 제시하였다. Choi et al.(2012)은 석모수로에서의 유속 및 염분 관측을 통해 성층이 강하게 나타나는 지역의 저층에서 창조 방향의 물질 이동이 나타난다고 제시하였으며, Lee et al.(2012)에 의하면 약 8000 m3/s 이상의 담수 유입량은 염하수로의 표층에서 낙조 방향, 저층에서 창조 방향인 2층 흐름 구조의 물질이동을 발생시킨다. Yoon and Woo(2012)는 담수의 계절적인 변동에 의한 염분 분포를 분석하였으며, 염수 침입을 결정하는 주요 메커니즘은 조석, 담수 유입량, 하구의 지형적인 형태라고 제시하였다. 기존 연구를 종합하면, 경기만 한강 하구에서의 물질 이동은 주로 조석과 담수의 상호작용에 의해서 결정된다. 또한 담수 유입량의 계절적인 변동성에 의한 수평/수직적인 염분 분포의 변화가 물질 이동에 크게 영향을 미친다. 하지만, 경기만 한강 하구에서 물질 이동에 대해 중요하게 작용되는 염 수송에 관한 연구는 아직 부족한 상황이다.
염 수송에 대한 메커니즘을 분석하기 위해 단면 유속 및 염분에 대한 관측 자료가 필요하다. 하지만, 시-공간적으로 통일된 고해상도의 관측 자료를 수집하는 것은 실질적으로 제한점이 많다. 또한, 북방 한계선 부근에 위치한 강화도 북부수로는 군사적인 문제로 관측 자료의 수집이 제한적이다. 따라서, 본 연구에서는 3차원 유동 수치모델을 적용하여 경기만 한강 하구에서의 염 수송의 특성을 분석하였다. 현장 관측을 통해 유속 및 염분 시계열 자료를 취득하여 수치모델의 검증 자료로 활용하였다. Park et al.(2002)이 제시한 한강 하구에서의 대표적인 6개의 단면(L1~L6 in Figs. 1b and c)에 대하여 염 수송량(FS)을 산출하였다. 염 수송에 대한 발생 기작을 세부적으로 분석하기 위해 FS를 담수 유입에 의한 염의 이류 수송(QfS0), 수평 및 수직적인 유속 차이에 의한 염의 확산 수송(FE), 조석 변동성을 가진 유속과 염분의 위상 차이에 의한 염의 수송(FT)으로 분해하였다. 이를 통해, 2020년 갈수기와 홍수기 기간 동안의 사례 연구를 수행하여 염 수송의 시-공간적인 변동성을 분석하였다.

2. 연구 지역

대한민국 서해 중부의 연안에 위치한 경기만은 30개 이상의 크고 작은 섬들과 넓은 범위의 조간대가 분포하고 있다(Fig. 1). Datum level(DL) 기준, 수심은 외해에서 약 50 m 이상이며, 내륙에 근접한 대부분의 연안 지역에서는 약 10 m 이하이다. 강화도의 우측에는 약 700 m의 폭과 20 km의 길이를 가진 염하수로가 존재한다. 경기만 한강 하구는 한강의 입구 수로(L1), 강화도 북부 수로(L2), 염하수로 북부(L3)로 구성된 A1 지역(Fig. 1b)과 염하수로 남부(L4), 강화도 남부수로(L5), 영종도 동부 수로(L6)로 구성된 A2 지역으로 나누어진다(Fig. 1c).
경기만은 약 8 m 이상의 조차가 발생하는 대조차 환경이며, 주요 5개의 분조(M2, S2, K1, O1, N2)에 의한 조석이 지배적인 해역이다. 반일주조 성분인 M2와 S2의 합성에 의하여 약 14.76일의 주기를 가지는 대조-소조의 변동성이 나타나며, N2에 의하여 월조부등 현상이 발생한다. 또한, 일주조 성분인 K1과 O1에 의하여 일조부등 현상이 나타난다. 염하수로의 상류에 근접할수록 지형적 특성에 의하여 비선형 천해분조인 M4와 MS4가 증가하며, 조석 비대칭 현상이 발생한다(Yoon et al., 2015).
경기만은 담수 유입량의 계절적인 변동성이 뚜렷하게 나타나는 지역이며, 주요 담수 유입원은 한강, 임진강, 예성강이다(Yoon et al., 2015). 한강을 통한 담수 유입의 경우, 2010년부터 2019년까지 10년 동안의 동계(1월, 2월, 12월)와 하계(7월, 8월, 9월)에 해당하는 평균 담수 유입량은 각각 181, 1013 m3/s이다(Fig. 2). 이러한 담수 유입량의 계절적인 변동성은 한강 하구의 염분 분포와 경압성 흐름을 변화시키는 주요 메커니즘으로 작용된다(Yoon and Woo, 2012).

3. 연구 방법

3.1 현장 관측

영종도와 아라뱃길 사이에 위치하는 염하수로의 정점 M-YJ에서 유속 및 염분 관측을 수행하였다(M-YJ in Fig. 1c). 동계의 관측은 2020년 2월 4일부터 3월 17일까지 42일 동안 수행되었으며, 하계의 관측은 2020년 8월 22일부터 9월 21일까지 30일 동안 수행되었다. Acoustic Doppler Current Profiler(ADCP)를 이용하여 수층 별 유속 및 유향 시계열 자료를 수집하였으며, Conductivity-Temperature-Depth(CTD) sensor 2개를 이용하여 표층과 저층의 수온 및 염분 시계열자료를 수집하였다. ADCP는 Trawl-Resistant Bottom Mount(TRBM) 프레임을 사용하여 해저면에 고정된 상태로 상향식 관측을 수행하였다. 저층을 관측하기 위한 CTD는 TRBM에 추가로 설치하였으며, 표층을 관측하기 위한 CTD는 수면하 약 4 m 부근에 설치하였다. ADCP와 CTD의 세부 설정 값은 표에 제시하였다(Table 1). 현장 관측을 통해 수집한 유속 및 염분 시계열 자료를 바탕으로 수치모델의 결과와 비교하였다.

3.2 수치모델 구축

본 연구에서는 미국 메사추세츠 공과대학(University of Massachusetts Dartmouth, UMASSD)과 우즈홀 해양학 연구소(Woods Hole Oceanographic Institution, WHOI)에서 개발한 비정규 격자 해양순환 모델인 Finite Volume Coastal Ocean Model(FVCOM)을 이용하였다. 삼각형 형태의 비정규격자는 복잡한 해안선과 지형에 관한 문제를 해결하기에 적합하다(Chen et al., 2008). FVCOM은 연속 방정식, 운동 방정식, 열-염 보존 방정식을 포함한 지배 방정식으로 구성되어 있다(Chen et al., 2003; Chen et al., 2013).
(1a)
ut+uux+vuy+wuz-fv=-1ρ0Px+z(Kmuz)+Du
(1b)
vt+uvx+vvy+wvz+fu=-1ρ0Py+z(Kmvz)+Dv
(1c)
Pz=-ρg
(1d)
ux+vy+wz=0
(1e)
Tt+uTx+vTy+wTz=z(KhTz)+DT
(1f)
St+uSx+vSy+wSz=z(KhSz)+DS
(1g)
ρ=ρ(T,S)
여기서, u, v, w는 각각 x, y, z 방향의 유속 성분이며, TS는 각각 수온과 염분을 의미한다. ρP는 각각 밀도와 압력을 나타내며, fg는 각각 Coriolis 계수, 중력 가속도 성분을 의미한다. KmKh는 각각 수직 점성 계수 및 수직 확산 계수를 나타내며, Du, Dv, DT, DS는 수평적인 운동량 및 열-염의 확산항을 의미한다. FVCOM은 적분형태의 지배 방정식을 차분하여 삼각형 격자 내에서의 플럭스 계산을 통해 수치적으로 해결하는 유한 체적법을 사용한다. 또한, Mode-splitting 방식을 사용하여 운동 방정식을 계산한다. 3-D internal mode에서는 second-order Runge-Kutta time-stepping 방식을 사용하여 경압성 흐름을 계산하고, 2-D external mode에서는 fourth-order Runge-Kutta time-stepping 방식을 사용하여 순압성 흐름을 계산한다. FVCOM에 대한 자세한 설명은 FVCOM 매뉴얼에 제시되어 있다(Chen et al., 2013).

3.2.1 격자 구성

담수가 유입되는 한강, 임진강, 예성강과 강화도 서쪽의 석모수로, 동쪽의 염하수로를 포함하는 경기만 한강 하구에 FVCOM 모델을 적용하였다(Fig. 1). 격자의 동-서 방향의 길이는 약 150 km이며, 남-북 방향의 길이는 약 145 km이다. 외해 개방경계는 영종도로부터 서쪽 방향으로 약 85 km 떨어진 지역에서 남-북 방향으로 연장되어 있다. 한강과 임진강의 담수 유입경계는 각각 뚝섬유원지와 비룡대교 인근이며, 예성강의 담수 유입경계는 강의 입구로부터 북쪽 방향으로 약 25 km 떨어진 지역이다. UTM 좌표계로 구성된 수평 방향 격자의 노드와 셀의 개수는 각각 60882개, 115443개이며, 시그마 좌표계로 구성된 수직 방향 격자의 개수는 20개이다. 격자의 해상도는 한강, 임진강, 예성강 및 염하수로와 같은 좁은 수로에서 약 100~300 m이며, 외해 개방경계에 근접할수록 약 4500 m까지 확장된다. 국립해양조사원(Korea Hydrographic and Oceanographic Agency, KHOA)에서 제공하는 최신 수심 자료를 이용하여 평균해면(Mean Sea Level, MSL) 기준으로 수심을 구성하였다(Fig. 3).

3.2.2 초기 조건 및 경계 조건

수위와 유속에 대한 초기 조건은 모든 격자의 노드와 셀에 대해서 ‘0’으로 설정하였다. 조석에 대한 외해 개방경계 조건을 구성하기 위해 오리건주립대학교(Oregon State University, OSU)에서 개발된 Tidal Model Driver(TMD)를 이용하여 TPX08-atlas 모델 결과의 조화상수를 추출하였다. TPX08-atlas 모델 결과에서 추출한 5개의 분조(M2, S2, K1, O1, N2)에 대한 조화상수를 외해 개방경계에 보간 하여 입력하였다. 국립수산과학원(National Institute of Fisheries Science, NIFS)에서 제공하는 정선해양 관측자료의 염분 자료를 수집하여 외해 개방경계의 염분 조건을 구성하였다.
국가수자원관리종합정보시스템(WAter resource Management Information System, WAMIS)으로부터 2020년 1월 20일부터 9월 20일까지 1일 간격의 실시간 한강대교와 비룡대교의 유량 자료를 수집하였다. 수집한 유량 자료를 바탕으로 수치모델의 한강 및 임진강에서의 담수 입력자료를 구성하였다. 북방 한계선을 넘어선 지역에 위치한 예성강의 유량 자료를 확보할 수 없기 때문에, 인근 하천(한강, 임진강)과의 유역비를 산정하여 한강 유량의 15%를 예성강의 유량으로 활용하였다(Park et al., 2002). 염분에 대한 초기장을 구성하기 위해 2010~2019년 기간에 대한 2월의 평균 담수 유입량과 0 psu의 염분을 한강, 임진강, 예성강에 각각 적용하여 1년 동안 모의하였다. 1년 모의 후, 염분의 변화가 거의 일정한 안정화된 모델의 염분 공간장을 염분 초기장으로 입력하였다.

4. 모델 검증

모델의 모의 기간은 2020년 1월 20일부터 9월 20일이며, 동계와 하계 기간의 조위, 유속, 염분에 대한 모델 결과와 관측 자료를 비교 및 검증하였다. 모델과 관측 자료의 비교에 대한 정량적인 평가를 위해 식(2)를 이용하여 평균 오차(mean error, ME), 평균 절대 오차(mean absolute error, MAE) 및 Willmott(1981)에 의해 정의된 predicted skill(Skill)을 계산하였다.
(2a)
ME=(Mn-On)N
(2b)
MAE=|Mn-On|N
(2c)
Skill=1-(Mn-On)2(|Mn-O¯|+|On-O¯|)2
MnOn은 각각 모델 결과와 관측 자료에 대한 n번째 값을 의미한다. O¯는 관측 자료를 시간 평균한 값을 의미하며, N은 모델 결과 및 관측 자료의 총 개수이다. ME는 관측 값에 대한 모델 결과의 과소산정 및 과대산정을 나타내는 값이며, 양수일 경우 과대산정을 의미한다. MAE는 관측 값과 모델 결과의 평균 편차를 의미한다. Skill은 관측 값에 대한 모델 결과의 정확도를 의미하며, 0~1 사이의 값을 나타낸다. 관측 자료에 대한 수치모델 결과의 재현성이 높을수록 Skill은 1에 가까워진다. 모델 결과와 관측 자료의 조위, 유속, 염분에 대한 식(2)의 계산 결과를 Table 2에 제시하였다.

4.1 조위

국립해양조사원으로부터 2020년 1월 20일부터 3월 20일까지 강화대교, 영종대교, 인천, 인천-송도, 안산, 대산, 영흥도, 굴업도를 포함하는 총 8개의 조위 검조소에서의 1시간 간격의 실시간 조위 시계열 자료를 수집하였다(ST1-ST8 in Fig.1). 8개의 정점 중, 대표적인 4개의 정점 ST1, ST3, ST6, ST8에 대한 모델 결과와 관측 자료의 조위 시계열을 비교하였다(Fig. 4). 모델의 조위가 관측 자료에서 나타나는 대조-소조의 변동성, 일조부등, 월조부등 현상을 유사하게 재현하였다. 8개의 조위 검조소에 대하여, MEMAE는 각각 1.34~1.76 cm, 17.95~23.52 cm의 범위로 나타났으며, Skill은 모든 조위 검조소에 대하여 0.99의 값이 산출되었다(Table 2). Matlab 프로그램의 T-Tide toolbox를 이용한 조화분해를 통해 5개의 분조(M2, S2, K1, O1, N2)의 조화상수를 추출하여 모델 결과와 관측 자료를 비교하였다(Fig. 5). 모든 조위 검조소에서 5개의 분조의 진폭과 위상에 대한 모델 결과와 관측 자료가 거의 일치하였다(R2 = 0.99).

4.2 유속

염하수로의 정점 M-YJ(Fig. 1c)에서 ADCP를 통해 수집한 유속 자료와 모델 결과의 U-성분, V-성분을 산점도(Scatter plot)를 통하여 비교하였다(Fig. 6). 모델의 모의 기간 동안, 유속의 방향은 대부분 남-북 방향으로 나타나며, V-성분의 유속이 U-성분의 유속에 비하여 약 10배 이상 높다. 염 수송은 수로의 횡단 방향보다 종단 방향에 대한 역학과 관련이 높기 때문에(Lerczak et al., 2006), 주성분 분석(Principal Component Analysis, PCA)을 통해 변환한 수로 방향의 유속(Along-channel velocity)의 시계열에 대한 모델의 재현성을 검토하였다.
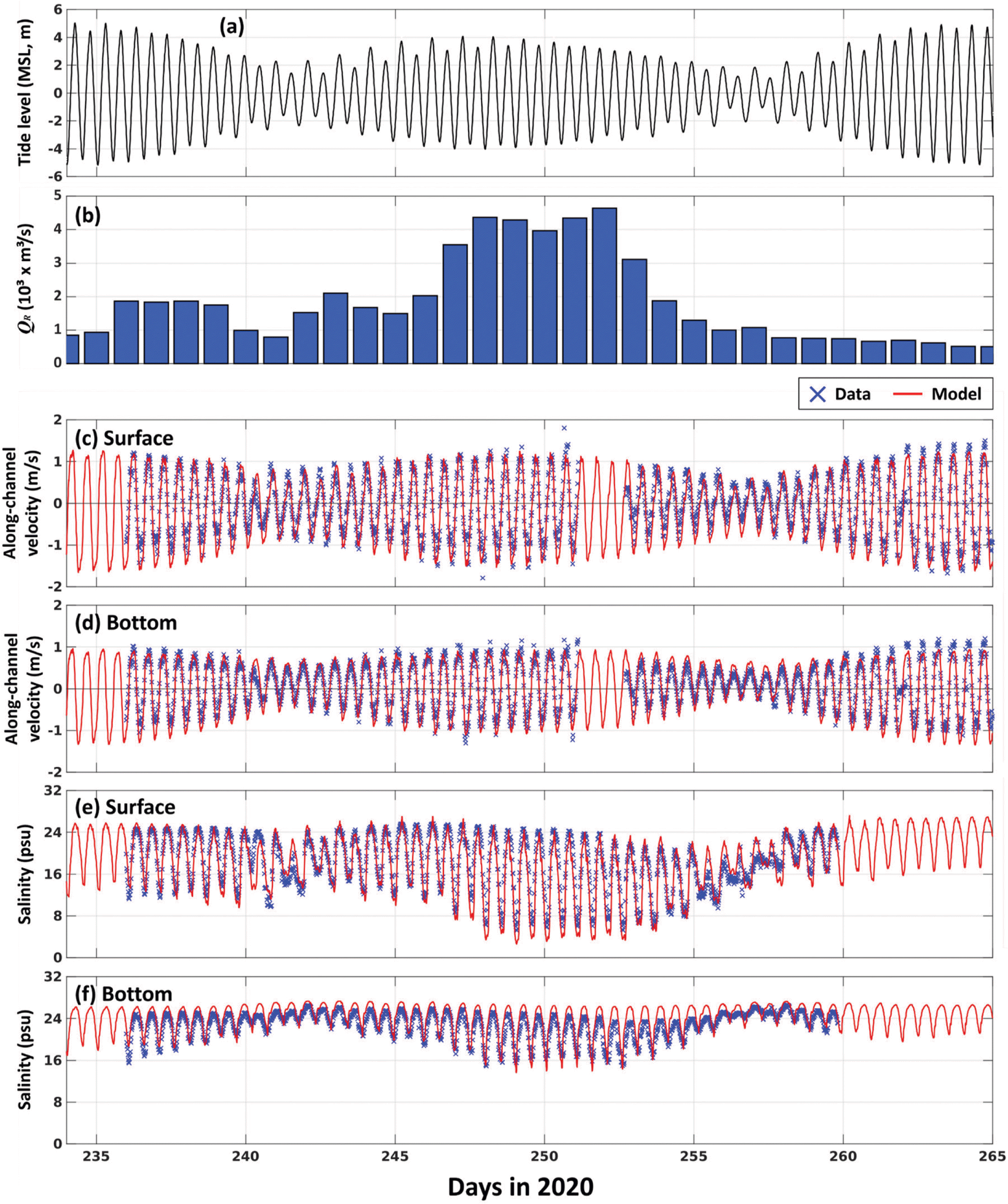
관측 자료와 모델 결과의 수로 방향에 대한 표층 및 저층의 유속 시계열을 동계(Figs. 7c and d)와 하계(Figs. 8c and d)의 기간에 대해서 비교하였다. 모델의 유속이 관측 자료에서 나타나는 대조-소조의 변동성을 유사하게 재현했다. ME는 -25.77~-2.33 cm/s의 범위이며, MAE는 9.27~28.67 cm/s의 범위이다(Table 2). 동계와 하계 모두 0.95 이상의 높은 Skill이 계산되었다.

4.3 염분

염하수로의 정점 M-YJ(Fig. 1c)에서 CTD를 통해 수집한 염분 자료와 모델 결과의 염분 시계열을 동계(Figs. 7e and f)와 하계(Figs. 8e and f)의 기간에 대해서 비교하였다. ME는 0.01~1.39 psu의 범위이며, MAE는 0.69~1.47 psu의 범위이다(Table 2). 모델의 염분이 관측 자료에서 나타나는 창조-낙조의 변동성을 유사하게 재현하였으며, 동계와 하계 모두 0.87 이상의 높은 Skill이 산출되었다. 담수 유입량의 범위는 동계 검증 기간에서 약 160~490 m3/s이며(Fig. 7b), 하계 검증 기간에서 약 600~4600 m3/s이다(Fig. 8b). 동계에 대한 관측 자료와 모델 결과의 염분은 각각 24~30, 25~30 psu의 범위이며, 하계에서는 각각 4~25, 3~25 psu의 범위이다. 모델의 염분이 관측 자료에서 나타나는 담수 유입량에 의한 염분의 계절적인 변동성을 유사하게 재현했다.
동계의 일부 대조기 시기와 하계의 저층에서 모델 결과가 일부 과대 산정이 되었다. 모델 결과에 대한 염분의 변동성이 관측 자료와 유사하게 재현되기 위하여, 한강 하구 해역의 정확한 수심 자료가 필요하다. 하지만, 북방 한계선에 위치한 강화도 북부 수로에서의 정확한 수심 자료는 취득이 제한되기 때문에, 본 모델 결과의 염분의 재현성에 대한 한계점으로 작용한다.
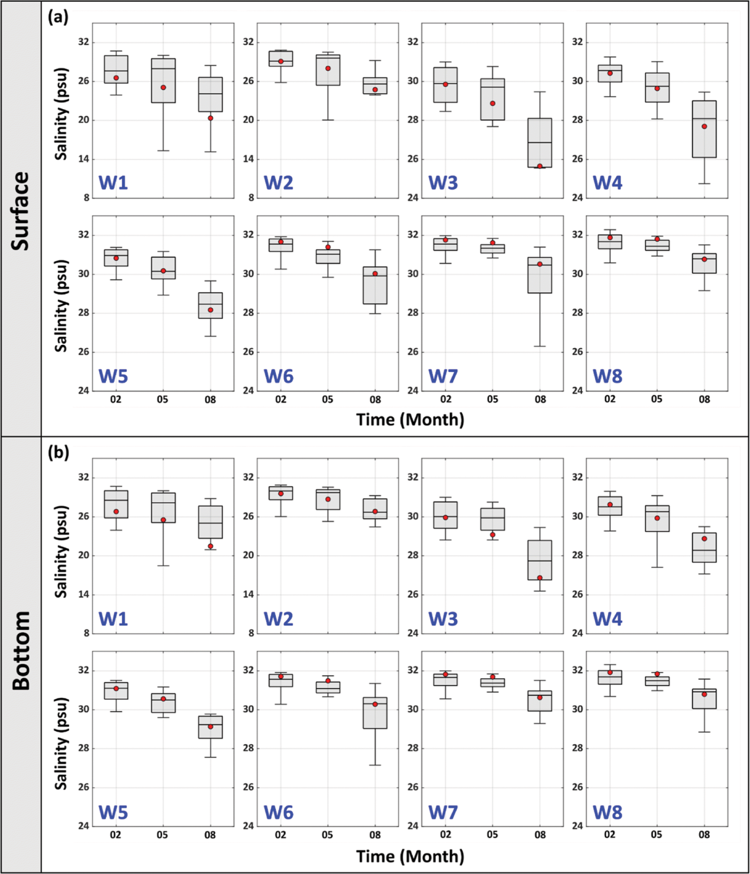
염분의 공간적인 분포를 검증하기 위해 해양환경공단(Korea Marine Environment Management Corporation, KOEM)에서 제공하는 해양환경측정망으로부터 2010~2019년 기간의 2월, 5월, 8월에 대한 표층 및 저층의 공간적인 염분 자료를 총 8개의 정점에 대해서 수집하였다(W1-W8 in Fig. 1). 해당 염분 자료는 매년 분기마다 1회씩 제공되기 때문에, 각 정점별로 10년 동안의 2월, 5월, 8월 자료에 대한 통계 결과를 Box plot으로 표현하였으며, 각 정점에 해당하는 모델의 염분 결과와 비교하였다(Fig. 9). 2020년 2월, 5월, 8월에 해당하는 모델의 공간적인 염분 결과가 관측 자료의 최대, 최소 및 평균의 범위 내에서 재현되었다.

5. 염 수송의 메커니즘

경기만 한강 하구에서의 염 수송에 대한 메커니즘을 분석하기 위하여, 식(3)과 (4)를 통해 한강 하구의 6개 단면(L1-L6 in Figs. 1b and c)에 대한 체적 수송량(Qf)과 염 수송량(FS)을 계산하였다.
(3)
Qf=udA
(4)
FS=uSdA
여기서, u는 단면의 법선 방향 유속 성분을 의미하며, S는 염분을 의미한다. 각 단면에서의 u의 양수 값은 한강 상류 방향이며, 음수 값은 외해 방향이다. < >는 48시간 low-pass filter를 적용하여 조석 성분을 제거한 잔차 성분을 의미한다. 염 수송에 대한 메커니즘을 세부적으로 분석하기 위하여, Lerczak et al.(2006)이 제시한 방법으로 FS를 3가지의 성분으로 분해하였다.
(5)
FS=(u0+uE+uT)(S0+SE+ST)dA(u0S0+uESE+uTST)dA=QfS0+FE+FT
여기서, u0, S0, uE, SE는 조석 성분을 제거한 잔차 성분을 의미하며, uTST는 잔차 성분을 제거한 조석 성분을 의미한다. u0S0는 단면-평균을 시행한 성분이며, uE, SE, uT, ST는 단면-평균을 시행하지 않은 성분이다.
QfS0, FE, FT는 조석과 담수의 상호작용에 의하여 결정된다(Kim and Park, 2012; Wang et al., 2015). QfS0는 체적 수송량에 의한 염의 이류 수송량을 의미하며, 담수 유입량의 세기와 평균 염분의 농도가 높을수록 QfS0가 강해지기 때문에 수송량이 강화된다. FE는 수평 및 수직적 유속 차이가 야기시키는 전단류에 의한 염의 확산 수송량을 의미하며, 수괴의 성층에 의한 2층 흐름 구조가 강해질수록 수송량이 강화된다. FT는 조석 변동성을 가진 유속과 염분의 위상 차이에 의하여 발생하는 염 수송량을 의미하며, 창조 및 낙조에 대한 유속의 비대칭적인 특성에 의하여 수송량이 결정된다. 또한, 담수 유입량의 세기에 의한 염분의 수평적인 조석 변동성의 변화가 FT에 영향을 미친다.

5.1 체적 및 염 수송량

모델의 결과는 2020년 2월 4일~7월 17일의 갈수기 기간(Dry season; days 35~200)과 2020년 7월 18일~9월 16일의 홍수기 기간(Wet season; days 200~260)으로 구분된다(Fig.10a). 모델의 모의 기간 동안 L1-L6 단면에서의 QfFS의 시계열을 갈수기와 홍수기의 기간에 대해 구분하여 제시하였다(Figs. 10b, c, d and e). 갈수기에 A1과 A2 지역 모두 QfFS는 뚜렷한 대조-소조의 변동성이 나타난다. 반면에, 홍수기의 강한 담수 유입량은 QfFS의 대조-소조의 변동성을 변형시킨다. 따라서, 갈수기에 QfFS의 순 수송량은 대조-소조의 변동 특성에 의하여 결정될 것이며, 홍수기의 순 수송량은 담수 유입량의 세기에 의하여 지배될 것이다.
QfFS의 순 수송량에 대한 메커니즘을 분석하기 위하여, QfFS는 담수 유입량이 가장 낮은 2020년 4월 11일~5월 11일의 기간(Low discharge, LD; days 102~132)과 담수 유입량이 가장 높은 2020년 7월 28일~8월 27일의 기간(High discharge, HD; days 210~240)에 대해 각각 30일 시간-평균되었다(Qf¯ and FS¯ in Fig. 11). LD와 HD 기간 모두 A1 지역에서의 체적 교환은 대부분 L1과 L2를 통해 발생한다. LD 기간 동안 L1에서의 Qf¯는 -280.7 m3/s이며, L2와 L3에서의 Qf¯는 각각 -241.3, -39.4 m3/s이다(Fig. 11a). HD 기간 동안 L1에서의 Qf¯는 -9628.5 m3/s이며, L2와 L3에서의 Qf¯는 각각 -8033.6, -1594.9 m3/s이다(Fig. 11b). L1, L2, L3에 대한 Qf¯를 비율로 환산하면, L1을 통해 A1 지역으로 유입된 체적은 L2과 L3를 통해 평균적으로 각각 85%, 15%가 유출된다. 이는 L1으로부터 유입된 체적의 약 77%가 L2로 유출되며, 약 23%가 L3로 유출된다고 제시한 Park et al. (2002)의 결과와 유사한 경향을 나타냈다. L1과 L2는 다른 단면에 비해 외해 방향의 Qf¯가 가장 높으며, 상대적으로 한강 및 임진강으로부터의 담수 유입에 대해서 가장 영향을 크게 받는 지역적인 특성을 보인다.
LD와 HD 기간 모두 A2 지역에서의 체적 교환은 주로 L4와 L6에서 발생한다. LD 기간 동안 L4에서의 Qf¯는 -39.4 m3/s이며, L5와 L6에서의 Qf¯는 각각 14.8, -54.2 m3/s이다 (Fig. 11a). HD 기간 동안 L4에서의 Qf¯는 -1594.9 m3/s이며, L5와 L6에서의 Qf¯는 각각 -105.8, -1489.1 m3/s이다 (Fig. 11b). L4, L5, L6에 대한 Qf¯를 비율로 환산하면, LD기간 동안 L4와 L5를 통해 A2 지역으로 각각 73%, 27%의 비율로 유입된 체적은 L6를 통해 모두 유출되며, HD 기간동안 L4를 통해 A2 지역으로 유입된 체적은 L5와 L6를 통해 각각 7%, 93%의 비율로 유출된다. 이는 L4로부터 유입된 체적의 대부분은 L6를 통해 유출됨을 의미하며, A2 지역에서 L4와 L6 사이의 수로가 L5에 비해 주요 수로로 작용한다. L5는 다른 단면에 비해 Qf¯의 크기가 가장 낮으며, 상대적으로 한강 및 임진강으로부터의 담수 유입에 대해서 영향을 가장 적게 받는 지역적인 특성을 보인다.
LD 기간 동안 외해로부터 한강 하구로 유입되는 염의 공급원은 L2와 L5이다. L2와 L5를 통한 FS¯는 각각 49.9, 1575.2 kg/s이며(Fig. 11c), 이를 한강 하구의 염 유입량에 대한 비율로 환산하면 L2와 L5에서 각각 3%, 97%를 차지한다. 이는 대부분의 염이 L5를 통해 한강 하구로 유입됨을 의미한다. LD 기간 동안 한강 하구로 유입된 염은 L6를 통해 외해로 유출되며, 일부는 L1을 통해 한강 및 임진강 상류 방향으로 수송된다. L1과 L6를 통한 FS¯는 각각 811.3, -813.8 kg/s이며(Fig. 11c), 한강 및 임진강 상류와 외해를 통한 FS¯의 크기를 비율로 환산하면, 각각 50%를 차지한다. 따라서, LD 기간 동안 L5를 통해 외해로부터 한강 하구로 유입된 염의 50%는 L1을 통해 한강 및 임진강 상류 방향으로 수송되며, 나머지 50%는 L6를 통해 외해로 유출된다.
HD 기간 동안 외해로부터 한강 하구로 유입되는 염의 공급원은 L5이며, 한강 및 임진강 상류에 잔류하고 있던 염이 L1을 통해 한강 하구로 다시 유입된다. L1와 L5를 통한 FS¯는 각각 -635.1, 3775.1 kg/s이며(Fig. 11d), 이를 한강 하구의 염 유입량에 대한 비율로 환산하면 각각 14%, 86%를 차지한다. HD 기간 동안 한강 하구로 유입된 염은 L2와 L6를 통해 외해로 유출된다. L2와 L6를 통한 FS¯는 각각 -323.6, -4086.6 kg/s이며(Fig. 11d), 이를 한강 하구의 염 유출량에 대한 비율로 환산하면 L2와 L6에서 각각 7%, 93%를 차지한다. 이는 대부분의 염이 L6를 통해 외해로 유출됨을 의미한다. 따라서, HD 기간 동안 L5를 통해 외해로부터 한강 하구로 유입된 염은 L1을 통해 유입된 염과 함께 L6를 통해 외해로 유출된다.
LD와 HD 기간 모두 L5와 L6에서의 FS¯는 각각 한강 방향, 외해 방향으로 발생한다. 하지만, L1~L4에서의 FS¯는 LD 기간에 한강 방향으로 발생하며, HD 기간에 외해 방향으로 발생한다. 이러한 FS¯의 계절적인 변동성은 조석 및 담수 유입의 강도에 의하여 시간적으로 변화하는 QfS0, FEFT가 균형을 이루어 결정된다.

5.2 단면을 통한 염 수송의 특성

5.2.1 A1 지역에서의 염 수송

갈수기 동안 A1 지역에서의 FS의 경향은 대조-소조의 변동성을 가진 QfS0FT에 의하여 결정된다. L1, L2, L3에서의 QfS0는 각각 -7.5 × 103~1.1 × 103, -11.4 × 103~2.0 × 103, -2.0 × 103~1.3 × 103 kg/s의 범위로 변화하며, 대부분 외해 방향으로 향한다(Figs. 12c, d and e). 주로 L1과 L2를 통해 Qf가 발생하는 A1 지역의 특성에 의하여(Fig. 12f), 외해 방향의 QfS0는 L3보다 L1과 L2에서 강하다. 반면에, FT는 항상 한강 방향으로 발생한다. L1과 L2에서의 FT는 각각 0.1 × 103 ~3.8 × 103, 0.8 × 103~5.1 × 103 kg/s의 범위이며, L3에서의 FT는 0.1×103~2.3 × 103 kg/s의 범위로 변화한다(Figs. 12c, d and e). A1 지역에서의 FT는 대조기에 강화되고 소조기에 약화되는 특성을 나타내며, L3보다 L1과 L2에서 높다. FE에 의한 염 수송은 항상 한강 방향을 향하지만, QfS0FT에 비하여 크기가 10배 이상 낮기 때문에 FS에 대한 기여도가 낮다. 따라서, 갈수기 동안 A1 지역에서의 FSQfS0FT가 균형을 이루어 결정된다.
홍수기 동안 A1 지역에서의 FS는 갈수기와 마찬가지로 외해 방향으로 향하는 QfS0와 한강 방향으로 향하는 FT가 균형을 이루어 결정된다. 하지만, FS의 변동성이 갈수기에 비해 약 20배 이하로 감소한다. L1, L2, L3에서의 QfS0FT의 변동범위는 80 kg/s 이하의 낮은 값을 가지며, 대조-소조의 변동성이 사라진다(Figs. 12c, d and e). 2020년 홍수기 기간에는 약 5.0 × 103~2.1 × 104 m3/s 범위의 첫 번째로 높은 담수 유입량이 나타나는 시기(R1; days 217~227)와 약 4.0 × 103 ~ 4.9 × 103 m3/s 범위의 두 번째로 높은 담수 유입량이 나타나는 시기(R2; days 246~252)가 존재한다(R1 and R2 in Fig.12b). R1과 R2시기에서의 약 4.0 × 103 m3/s 이상의 높은 담수 유입량은 외해 방향의 Qf를 갈수기에 비해 약 20배 이상 증가시킨다(Fig. 12f). 하지만, 담수의 낮은 염분에 의하여, S0가 0.1 psu 이하까지 감소하기 때문에(Fig. 12g), R1과 R2시기의 QfS0, FE, FTFS는 갈수기에 비해 급격히 감소한다. 따라서, 담수 유입원과 가까운 A1 지역에서는 강한 담수 유입에 의하여 평균 염분이 0.1 psu 이하로 감소될 수 있으며, 이는 FS를 급격히 감소시킨다.

5.2.2 A2 지역에서의 염 수송

갈수기 동안 A2 지역에서의 FS는 A1 지역과 마찬가지로 대조-소조의 변동성을 가진 QfS0FT가 균형을 이루어 결정된다. L4, L5, L6에서의 QfS0는 각각 -3.2 × 103~3.1 × 103, -4.2 × 103~4.8 × 103, -6.4 × 103~6.1 × 103 kg/s의 범위로 변화하며, FT는 각각 0.3 × 103~1.9 × 103, 0.2 × 103~2.3 × 103, 0.1 × 103~0.8 × 103 kg/s의 범위로 변화한다(Figs. 13c, d and e). A2 지역에서의 FT는 A1 지역과 유사하게 대조기에 강화되고 소조기에 약화되는 특성이 나타나며, L6에서 변동의 폭이 가장 낮다. 갈수기에 FE는 거의 변동이 없으며, FS에 거의 영향을 미치지 않는다. 따라서, 갈수기 동안 A2 지역에서의 FSQfS0FT에 의하여 결정된다.
홍수기 동안 A2 지역에서의 FS는 강한 담수 유입량에 의해 대조-소조의 변동성이 변형된다. R1과 R2시기의 높은 담수 유입량에 의해 L4와 L6에서의 Qf는 각각 최대 -2.5 × 103, -2.2 × 103 m3/s까지 감소하여 뚜렷한 변화를 보이지만, L5에서의 Qf는 지역적인 특성에 의하여 크게 감소하지 않는다(Fig.13f). 담수의 낮은 염분은 L4, L5, L6에서의 S0를 224일 부근에서 각각 1, 16, 21 psu 이하까지 감소시킨다(Fig. 13g). 하지만, A1 지역과 같이 S0가 0.1 psu 이하로 지속되는 현상은 나타나지 않았다. R1과 R2 시기에 증가된 외해 방향의 Qf에 의하여 A2 지역에서의 QfS0는 장 기간 동안 외해 방향으로 유지된다(Figs. 13c, d and e). 또한, 홍수기의 높은 담수 유입량은 염분의 조석 변동성(ST)을 강화시키기 때문에, A2 지역에서의 FT를 증가시킨다. R1의 강한 담수 유입량에 의해 L4, L5, L6에서의 FT는 각각 최대 6.8 × 103, 8.4 × 103, 1.9 × 104 kg/s까지 증가된다(Figs. 13c, d and e). 따라서, 홍수기 동안 A2 지역에서의 QfS0FT의 변동은 FS의 변동에 크게 관여한다. 하지만, L6의 경우, FS의 변동에 대해 FE가 높은 기여도를 나타낸다.
홍수기 동안 L6는 6개의 단면 중에서 FE가 가장 높은 지역이며(Fig. 13e), 이는 염분 성층 및 유속의 수직적인 분포와 연관이 있다. 염분의 수직적인 분포는 조석과 담수 유입량의 세기에 의하여 결정되며, 상대적으로 담수 유입량의 세기가 조석의 세기보다 강할수록 표층과 저층의 염분 차이(∆SE)가 높아진다(Choi et al., 2012). L6에서 상대적으로 조석의 힘이 약한 소조기에는 대조기보다 ∆SE가 높으며, 홍수기의 높은 담수 유입량은 ∆SE를 18 psu까지 증가시켜 강한 성층을 형성한다(Fig. 14b). Choi et al.(2012)에 의하면, 하구에서의 강한 염분 성층은 수직적인 2층 흐름 구조를 야기시킨다. R1시기의 강한 성층은 표층과 저층의 유속 차이(∆uE)를 약 0.4 m/s까지 증가시키며, 2층 흐름 구조를 야기시킨다(Fig. 14a). R1시기의 높은 ∆uE에 의해 FE는 최대 3.1 × 104 kg/s까지 증가한다(Fig. 13e). 따라서, 홍수기 동안 L6 단면에서의 FSQfS0, FE, FT 모두가 균형을 이루어 결정된다.

5.3 염 수송의 계절적인 변동성

앞서 기술한 한강 하구에서의 염 수송에 대한 계절적인 변동 특성을 요약하기 위하여, 갈수기 및 홍수기에 해당하는 LD와 HD 기간에 대한 L1~L6의 FS¯, QfS0¯, FE¯, FT¯를 막대그래프로 표현하였다(Fig. 15). 각 막대그래프에 해당하는 수치는 Table 3에 제시하였다.
갈수기 기간의 FS¯는 L6를 제외하고 한강 방향이다(Figs.15a, b, c, d and e). 이는 약한 담수 유입량에 의하여 FT¯QfS0¯보다 우세하기 때문에 발생하며, FE¯는 거의 영향을 미치지 않는다. 상대적으로 다른 단면들에 비해 외해와 가장 가까운 L6의 경우, 높은 S0에 의하여 QfS0¯FT¯보다 우세하기 때문에, 외해 방향의 FS¯가 발생한다(Fig. 15f). 담수 유입원과 인접한 지역적인 특성을 가진 L1과 L2는 다른 단면에 비해 상대적으로 강한 Qf¯에 의하여 갈수기 기간에 모든 단면 중에서 QfS0¯가 가장 높지만, 담수에 의한 염분의 조석 변동성 또한 가장 강하기 때문에 모든 단면 중에서 FT¯가 가장 높다(Figs. 15a and b).
홍수기 기간의 FS¯는 L5를 제외하고 외해 방향이다(Figs.15g, h, i, j and l). 이는 강한 담수 유입량에 의한 외해 방향의 QfS0¯가 우세하기 때문에 발생한다. 상대적으로 다른 단면들에 비해 담수의 영향을 적게 받는 L5의 경우, 외해 방향의 QfS0¯보다 한강 방향의 FT¯가 우세하기 때문에, 한강 방향의 가 발생한다(Fig. 15k). 지역적으로 담수 유입원과 가깝기 때문에 S0가 0.1 psu 이하까지 감소하는 L1, L2, L3에서는 QfS0¯, FE¯, FT¯의 크기가 상대적으로 다른 단면에 비해 낮은 경향이 있으며(Figs. 15g, h and i), 약 18 psu 이상의 강한 성층이 나타나는 L6에서는 FE¯FT¯보다 우세하다(Fig. 15l).
한강 하구에서 FS¯는 조석과 담수 유입량의 상호작용에 의하여 계절적으로 변동하는 QfS0¯FT¯가 균형을 이루어 결정된다. 담수 유입량의 세기가 약한 갈수기 기간은 FT¯에 의하여 한강 방향의 FS¯가 발생하며, 담수 유입량의 세기가 강한 홍수기 기간은 QfS0¯에 의하여 외해 방향의 FS¯가 발생한다. 하지만, 지역적인 특성에 의하여 담수의 영향이 적은 지역(L5)은 갈수기와 홍수기 모두 FT¯에 의하여 한강 방향의 FS¯가 발생하며, S0가 높은 외해와 가까운 지역(L6)은 갈수기와 홍수기 모두 QfS0¯에 의하여 외해 방향의 FS¯가 발생한다. 결과적으로, L5와 L6에서의 FS¯는 갈수기와 홍수기의 구분없이 각각 한강 방향, 외해 방향으로 발생하는 반면, L1~L4에서의 FS¯는 갈수기에 한강 방향, 홍수기에 외해 방향으로 발생하여 뚜렷한 계절적인 변동성이 나타난다.

6. 결 론

대조차 환경의 경기만 한강 하구에서 염 수송에 대한 시-공간적인 변동성을 분석하기 위해 유동 수치모델을 적용하였다. 유동 및 염분의 변화에 관한 모델의 재현성을 검토하기위해 관측 자료와 모델 결과의 비교를 통하여 모델 검증을 수행하였다. 한강 하구의 주요 6개 단면을 선정하여 염 수송에 대한 메커니즘을 분석하였다.
경기만 한강 하구에서의 염의 순 수송량은 조석과 담수 유입의 상호작용에 의하여 결정된다. 담수 유입의 세기가 약한 갈수기에는 FT에 의해 한강 상류 방향으로 향하는 염 수송이 우세하며, 담수 유입의 세기가 강한 홍수기에는 QfS0에 의해 외해 방향으로 향하는 염 수송이 우세한다. 하지만, 지역적인 특성에 의하여 담수의 영향이 적은 L5는 갈수기와 홍수기의 구분 없이 한강 상류 방향의 염 수송을 발생시키는 FT가 강하기 때문에 외해로부터 지속적으로 염이 유입되며, 평균 염분이 가장 높은 L6는 갈수기와 홍수기의 구분 없이 외해 방향의 염 수송을 발생시키는 QfS0가 강하기 때문에 지속적으로 염이 외해로 유출된다. 결론적으로, 갈수기와 홍수기 모두 외해로부터 한강 하구로 유입되는 염의 대부분은 L5를 통해 수송되며, L6를 통해 외해로 유출된다. L1~L4에서의 염 수송은 갈수기에 한강 상류 방향으로 발생하며, 홍수기에 외해 방향으로 발생한다.
기존 연구 자료에서는 경기만 한강 하구에서의 물질 이동의 양상을 파악하기 위해 잔차류 및 체적 수송량에 대한 분석을 수행해왔다. 하지만, 본 연구에서 염 수송량을 통해 산정된 물질 이동의 방향과 잔차류 및 체적 수송의 방향은 다른 양상을 나타냈다. 따라서, 담수와 해수의 혼합이 활발하게 이루어지는 해역에서 물질 이동의 특성을 정확하게 파악하기 위해 염 수송에 대한 메커니즘을 정밀하게 분석할 필요가 있다.

감사의 글

이 논문은 2020년도 정부(과학기술정보통신부)의 재원으로 정보통신기획평가원의 지원을 받아 수행된 연구임(2020-0-01389, 인공지능융합연구센터지원(인하대학교)). 이 논문은 2021년 해양수산부 재원으로 해양수산과학기술진흥원의 지원을 받아 수행된 연구임(경기씨그랜트).

Fig. 1.
A grid system for Gyeonggi Bay (a), analysis area A1 (b) and A2 (c), showing eight tide stations ST1-ST8 from KHOA (red circles), eight stations W1-W8 for salinity data from KOEM (green squares), and mooring station M-YJ (sky blue ×).
jkscoe-33-1-13f1.tif
Fig. 2.
Monthly average river discharge from 2010 to 2019.
jkscoe-33-1-13f2.tif
Fig. 3.
Depth distribution of Gyeonggy Bay (a), analysis area A1 (b) and A2 (c), showing three river node (navy-blue dotted line), and seaward open boundary (black solid line).
jkscoe-33-1-13f3.tif
Fig. 4.
Model-data comparison for time series of tide level at ST1, ST3, ST6 and ST8.
jkscoe-33-1-13f4.tif
Fig. 5.
Model-data comparison for harmonic constants of 5 tidal constituents at ST1-ST8.
jkscoe-33-1-13f5.tif
Fig. 6.
Scatter plot for model-data comparison of current velocity at the surface and bottom layer at station M-YJ.
jkscoe-33-1-13f6.tif
Fig. 7.
Comparison of time series data between model and observation data during days 33-78 in 2020: (a) tide level at Yeongjong-bridge tide station, (b) daily river discharge from a Han River, (c, d) along-channel velocity at the surface and bottom layer at M-YJ, and (e, f) salinity at the surface and bottom layer at M-YJ.
jkscoe-33-1-13f7.tif
Fig. 8.
Comparison of time series data between model and observation data during days 234-265 in 2020: (a) tide level at Yeongjong-bridge tide station, (b) daily river discharge from a Han River, (c, d) along-channel velocity at the surface and bottom layer at M-YJ, and (e, f) salinity at the surface and bottom layer at M-YJ.
jkscoe-33-1-13f8.tif
Fig. 9.
Model-data comparison for spatial variation of salinity in W1–W8 at the (a) surface layer and (b) bottom layer. The box plots show the statistical analysis of salinity data over 10-year in February, May and August, respectively. The red dots indicate monthly averaged model data for salinity in February, May and August in 2020, respectively.
jkscoe-33-1-13f9.tif
Fig. 10.
Residual volume transport Qf and salt transport FS at L1–L6: (a) daily river discharge, (b, c) Qf and FS through L1, L2 and L3, (d, e) Qf and FS through L4, L5 and L6. Positive and negative values in (b), (c), (d) and (e) indicate the landward (e.g., Han River) and seaward (e.g., open sea) transport, respectively.
jkscoe-33-1-13f10.tif
Fig. 11.
Monthly-averaged Qf ( Qf¯) and monthly-averaged FS ( Fs¯) at L1∼L6 during (a) dry season and (b) wet season. Positive and negative values indicate the landward (e.g., Han River) and seaward (e.g., open sea) transport in Qf¯ and Fs¯, respectively.
jkscoe-33-1-13f11.tif
Fig. 12.
Mechanisms of salt transport at L1, L2 and L3: (a) Tide level at Yeongjong-bridge tide station, (b) daily river discharge, (c–e) salt transport FS and its three components QfS0, FE and FT through L1, L2 and L3, (f) volume transport Qf through L1, L2 and L3, (g) cross-sectional average salinity S0 in L1, L2 and L3. Positive and negative values in (c), (d), (e) and (f) indicate the landward (e.g., Han River) and seaward (e.g., open sea) transport, respectively.
jkscoe-33-1-13f12.tif
Fig. 13.
Mechanisms of salt transport at L4, L5 and L6: (a) Tide level at Yeongjong-bridge tide station, (b) daily river discharge, (c–e) salt transport FS and its three components QfS0, FE and FT through L4, L5 and L6, (f) volume transport Qf through L4, L5 and L6, (g) cross-sectional average salinity S0 in L4, L5 and L6. Positive and negative values in (c), (d), (e) and (f) indicate the landward (e.g., Han River) and seaward (e.g., open sea) transport, respectively.
jkscoe-33-1-13f13.tif
Fig. 14.
Subtidal estuarine exchange flow uE and salinity SE in L6. Positive and negative values in (a) indicate the landward (e.g., Han River) and seaward (e.g., open sea) flow, respectively.
jkscoe-33-1-13f14.tif
Fig. 15.
A time-averaged Fs¯ for 30 days and its three components QfS0¯, FE¯ and FT¯ at L1-L6 during dry season and wet season. Positive and negative values indicate the landward (e.g., Han River) and seaward (e.g., open sea) transport, respectively.
jkscoe-33-1-13f15.tif
Table 1.
Setup details for current velocity and salinity observations
Instruments Setup values Winter Summer
ADCP Bin size (m) 0.50 0.50
Ping interval (sec) 0.50 0.50
Burst interval (min) 10 10
Blanking depth (m) 0.20 0.20
Deployment depth (m) 0.47 0.47

CTD Surface Sampling interval (min) 10 10
Depth below surface (m) 4 3.5

Bottom Sampling interval (min) 10 10
Deployment depth (m) 0.27 0.27
Table 2.
Model validation for tide-level, along-channel velocity and salinity
Seasons Variables Station Location (Latitude/Longitude) Observation periods Data resource ME MAE Skill
Winter Tide-level (cm) ST1 37°43′54.98″N
126°31′19.92″E
1/20∼3/20 in 2020 KHOA 1.34 23.52 0.99
ST2 37°32′44.02″N
126°35′3.84″E
1.47 21.10 0.99
ST3 37°27′6.98″N
126°35′31.92″E
1.41 20.14 0.99
ST4 37°20′17.02″N
126°35′9.96″E
1.46 19.67 0.99
ST5 37°11′3.19″N
126°37′41.16″E
1.52 18.69 0.99
ST6 37°0′27.00″N
126°21′10.08″E
1.71 17.95 0.99
ST7 37°14′19.00″N
126°25′42.96″E
1.65 18.41 0.99
ST8 37°11′42.60″N
125°59′46.80″E
1.76 18.89 0.99
Along-channel velocity (cm/s) Surface
Bottom
M-YJ 37°32′27.60″N
126°34′57.68″E
2/04∼3/17 in 2020 ADCP (Signature1000) −2.33
−3.90
10.62
09.27
0.99
0.99
Salinity (psu) Surface
Bottom
CTD (RBR-concerto) 0.94
0.67
00.94
00.69
0.87
0.88
Summer Along-channel velocity (cm/s) Surface
Bottom
8/22∼9/21 in 2020 ADCP (Signature1000) −25.77
−10.99
28.67
18.25
0.95
0.97
Salinity (psu) Surface
Bottom
CTD (XR-420) 0.01
1.39
00.98
01.47
0.98
0.90
Table 3.
Results for a time-averaged Fs¯ for 30 days and its three components QfS0¯, FE¯ and FT¯ suggested in Fig. 15
Season Variables Lines

L1 L2 L3 L4 L5 L6
Dry season Fs¯ 811.3 49.9 761.4 761.4 1575.2 −813.8
QfS0¯ −2101.3 −3665.8 −439.8 −358.7 74.4 −1525.7
FE¯ 277.3 35.7 92.3 196.6 208.4 162
FT¯ 2635.3 3680 1108.9 923.5 1292.4 549.9

Wet season Fs¯ −635.1 −323.6 −311.5 −311.5 3775.1 −4086.6
QfS0¯ −700.5 −1240.6 −508.1 −4586 −2459.5 −23038.2
FE¯ 6.5 185.3 8.7 361.5 837 12237.9
FT¯ 58.9 731.7 187.9 3913 5397.6 6713.7

References

Bowen, MM, Geyer, WR (2003). Salt transport and the time-dependent salt balance of a partially stratified estuary, Journal of Geophysical Research: Oceans, 108(C5):3158.
crossref
Chen, C, Beardsley, RC, Cowles, G, Qi, J, Lai, Z, Gao, G, Ji, R. (2013). An unstructured grid, finite-volume community ocean model FVCOM user manual. SMAST (404). UMASSD Technical Report-13-0701. University of Massachusetts-Dartmouth.

Chen, C, Liu, H, Beardsley, RC (2003). An unstructured grid, finite-volume, three-dimensional, primitive equations ocean model: application to coastal ocean and estuaries, Journal of Atmospheric and Oceanic Technology, 20(1):159-186.
crossref
Chen, C, Qi, J, Li, C, Beardsley, RC, Lin, H, Walker, R, Gates, K. (2008). Complexity of the flooding/drying process in an estuarine tidal-creek salt-marsh system: An application of FVCOM, Journal of Geophysical Research: Oceans. 113(C07052.
crossref
Choi, NY, Yoon, BI, Kim, JW, Song, JI, Lim, EP, Woo, SB (2012). The relation of cross-sectional residual current and stratification during spring and neap tidal cycle at Seokmo channel, Han River estuary located at South Korea, Journal of Korean Society of Coastal and Ocean Engineers, 24(3):149-158 (in Korean)..
crossref
Gong, W, Shen, J (2011). The response of salt intrusion to changes in river discharge and tidal mixing during the dry season in the Modaomen Estuary, China, Continental Shelf Research, 31(7–8):769-788.
crossref
Kim, CK, Park, K (2012). A modeling study of water and salt exchange for a micro-tidal, stratified northern Gulf of Mexico estuary, Journal of Marine Systems, 96, 103-115.
crossref
Lee, DH, Yoon, BI, Woo, SB (2017). The cross-sectional characteristic and spring-neap variation of residual current and net volume transport at the Yeomha channel, Journal of Korean Society of Coastal and Ocean Engineers, 29(5):217-227 (in Korean)..
crossref
Lee, DH, Yoon, BI, Kim, JW, Gu, BH, Woo, SB (2012). The cross-sectional mass flux observation at Yeomha channel, Gyeonggi Bay at spring tide during dry and flood season, Journal of Korean Society of Coastal and Ocean Engineers, 24(1):16-25 (in Korean)..
crossref
Lerczak, JA, Geyer, WR, Chant, RJ (2006). Mechanisms driving the time-dependent salt flux in a partially stratified estuary, Journal of Physical Oceanography, 36(12):2296-2311.
crossref
Park, K, Oh, JH, Kim, HS, Im, HH (2002). Case study: mass transport mechanism in Kyunggi Bay around Han River mouth, Korea, Journal of Hydraulic Engineering, 128(3):257-267.
crossref
Wang, T, Geyer, WR, Engel, P, Jiang, W, Feng, S (2015). Mechanisms of tidal oscillatory salt transport in a partially stratified estuary, Journal of Physical Oceanography, 45(11):2773-2789.
crossref
Willmott, CJ (1981). On the validation of models, Physical Geography, 2(2):184-194.
crossref
Yoon, BI, Woo, SB (2012). Relation of freshwater discharge and salinity distribution on tidal variation around the Yeomha channel, Han River Estuary, Journal of Korean Society of Coastal and Ocean Engineers, 24(4):269-276 (in Korean)..
crossref
Yoon, BI, Woo, SB, Kim, JW, Song, JI (2015). The regional classification of tidal regime using characteristics of astronomical tides, overtides and compound tides in the Han River estuary, Gyeonggi Bay, Journal of Korean Society of Coastal and Ocean Engineers, 27(3):149-158 (in Korean)..
crossref