LES와 Dynamic Smagorinsky 난류모형을 이용한 쇄파역에서의 경계층 Streaming 수치해석
Cited By
Citations to this article as recorded by
Development of Physics-Based Morphology Model with an Emphasis on the Interaction of Incoming Waves with Transient Bed Profile due to Scouring and Accretion using Dynamic Mesh
Yong Jun Cho
Korea Society of Coastal Disaster Prevention.2021; 8(4): 211.     CrossRef
Development of the Physics–Based Morphology Model as the Platform for the Optimal Design of Beach Nourishment Project: A Numerical Study
Yong Jun Cho
Journal of Marine Science and Engineering.2020; 8(10): 828.     CrossRef
Numerical Analysis of Nonlinear Shoaling Process of Random Waves - Centered on the Evolution of Wave Height Distribution at the Varying Stages of Shoaling Process
Yong Hee Kim, Yong Jun Cho
Journal of Korean Society of Coastal and Ocean Eng.2020; 32(2): 106.     CrossRef

요약

자연 해빈은 해양환경에 따라 침·퇴적을 반복하며 고 파랑에 의해 해빈이 대규모로 침식되더라도 폭풍이 잦 아들고 다시 너울이 우세한 해양환경이 회복되는 경우 점진적으로 복원되며, 이러한 해빈 복원은 경계층 streaming을 통해 이루어진다. 이처럼 경계층 streaming은 그 공학적 가치에도 불구하고 해안에서 가용한 표사의 대부분이 공급되 는 쇄파 역에서의 경계층 streaming에 대한 우리의 이해는 아직 상당히 부족하다. 이러한 인식에 기초하여 본 연구에 서는 쇄파역 경계층 streaming 수리특성을 살펴보기 위해 단조 해안과 사주를 포함한 해안에서의 천수 과정을 수치 모의하였다. 수치 모의는 Spatially filtered Navier-Stokes Eq., LES(Large Eddy Simulation), Dynamic Smagorinsky 난 류모형으로 구성된 정교한 수치모형에 기초하여 수행되었으며, 이 과정에서 k-ε 난류모형과 LES Turbulence Closure가 모의결과에 미치는 영향도 함께 살펴보았다. 모의결과 해안공학계에 잘 알려진 k-ε 난류모형의 한계로 인해 wall function에 기반한 k-ε 난류모형의 경우 LES와 비교하면 저면 인근 유속이 다소 과다하게 모의 되었다. 또한, 바닥과 가까운 해역에서의 유속이 바닥의 영향으로부터 비교적 자유로운 상층부에서의 유속보다 우월한 Longuet-Higgins(1957) 가 이야기하는 전형적인 경계층 streaming이 천수 초입부에서부터 쇄파 역 깊숙이까지 존재하는 것을 확인하였다. 또 한, 주기가 상대적으로 긴 경우 경계층 streaming의 세기와 생성범위는 해안 방향으로 확대되며 이러한 경향은 경계층 streaming이 바닥 인근에서 진행되는 마찰로 인한 파랑에너지손실로 결과되며 주기가 긴 경우 천수 과정이 일찍 시작된 다는 사실을 상기하면 충분히 수용 가능해 보이며, Longuet-Higgins(1957)의 해석 해에서도 같은 경향을 확인할 수 있다.

Abstract

Natural shoreline repeats its re-treatment and advance in response to the endlessly varying sea-conditions, and once severely eroded under stormy weather conditions, natural beaches are gradually recovered via a boundary layer streaming when swells are prevailing after storms cease. Our understanding of the boundary layer streaming over surf-zone often falls short despite its great engineering value, and here it should be noted that the most sediments available along the shore are supplied over the surf-zone. In this rationale, numerical simulation was implemented to investigate the hydraulic characteristics of boundary layer streaming over the surf zone in this study. In doing so, comprehensive numerical models made of Spatially filtered Navier-Stokes Eq., LES (Large Eddy Simulation), Dynamic Smagorinsky turbulence closure were used, and the effects of turbulence closure such as Dynamic Smagorinsky in LES and k-ε on the numerically simulated flow field were also investigated. Numerical results show that due to the intrinsic limits of k-ε turbulence model, numerically simulated flow velocity near the bottom based on k-ε model and wall function are over-predicted than the one using Dynamic Smagorinsky in LES. It is also shown that flow velocities near the bottom are faster than the one above the bottom which are relatively free from the presence of the bottom, complying the typical boundary layer streaming by Longuet-Higgins (1957), the spatial scope where boundary layer streaming are occurring is extended well into the surf zone as incoming waves are getting longer. These tendencies are plausible considering that it is the bottom friction that triggers a boundary layer streaming, and longer waves start to feel the bottom much faster than shorter waves.

1. 서론

자연 해빈은 출현횟수가 년 수차례에 불과한 고 파랑에 의해 해빈이 대규모로 침식되더라도 폭풍이 잦아들고 너울이 우세한 해양환경이 회복되는 경우 점진적으로 복원되며, 이러한 해빈 복원은 경계층 streaming을 통해 이루어진다(Cho, 2019b). 경계층 streaming은 해저면 인근에서의 마찰로 인한 에너지손실로 한 주기에 걸쳐 상층부로부터 경계층으로 유입되는 파랑 진행 방향 운동량이 상승하는 운동량보다 우월한 경우 생성되는 경계층에서의 파랑 진행 방향 흐름으로 Longuet-Higgins(1957)에 의해 처음으로 밝혀지고 해석된 바 있다.
전술한 Longuet-Higgins(1957)의 연구는 수심이 일정한 해역과 층류를 대상으로 수행되었으며 이후 Trowbridge와 Madsen(1984)에 의해 난류로 확대되었다. 이 연구에서 와 점성계수의 시공을 통한 변화가 설명되는 경우 경계층 streaming 수치 모의가 가능하다는 것이 밝혀진 이후 k-ε 난류모형은 경계층 streaming 해석의 큰 흐름을 형성한다. Trowbridge와 Madsen(1984)의 연구결과에 의하면 장파의 경우 경계층 streaming은 파랑 진행 방향과 반대로 진행되며, 이러한 경향은 구속 모드의 장주기 파랑을 대상으로 한 Deigaard et al.(1999)의 연구에서도 확인된 바 있다.
이후 Justesen(1991), Holmedal et al.(2003)k-ε 난류 모형을 활용하여 바닥의 조도가 경계층 streaming에 미치는 영향을 살펴보고 Jensen et al.(1989)의 관측결과를 재현해내는 등 상당한 성과를 이루어냈다.
이밖에도 최근 Holmedal과 Myrhaug(2009)은 비선형 파랑의 경우 경계층 streaming은 감소하며 바닥이 거친 경우 경계층 streaming은 증가한다는 사실을 경계층 근사와 k-ε 난류모형을 활용한 수치 모의에서 확인하였다. 이 연구에서 Holmedal과 Myrhaug(2009)는 수심 대비 파장 크기가 경계층 streaming에 미치는 영향도 살펴보고 장파의 경우 수직 방향 유속성분이 상대적으로 작아 경계층 streaming은 감소한다는 연구결과도 제시하였다.
이러한 성과에도 불구하고 전술한 대부분의 연구는 수심이 일정한 해역을 대상으로 수행되었으나 해안에서 가용한 표사의 대부분이 공급되는 쇄파 역에서의 수 환경은 under-tow에서 알 수 있듯 단일 진행파의 경우와는 상당한 차이가 존재하나 쇄파 역에서의 경계층 streaming에 대한 우리의 이해는 아직 상당히 부족하다.
현재 문헌에서 가장 빈번하게 언급되는 Bailard(1981)의 횡단 표사 모형에 준거하면 쇄파 역에서의 표사 이송량과 이송 방향을 가늠하는 기작은 주기 평균 흐름과 파형의 왜도(wave asymmetry)로 볼 수 있으며, 현재 이러한 시각은 해안공학계의 정설로 받아들여지는 듯하다. 여기서 주기 평균 흐름은 바닥 인근의 경계층 streaming, 중간 수역의 저류(under-tow), 수면 인근의 Stokes drift 등으로 구성되나(Fig. 1 참조), 경계층 streaming은 해안공학계에 잘 알려진 저류 혹은 Stokes drift보다 그 세기가 상대적으로 작다는 점에서 고 파랑에 의한 해안침식을 다루는 단기 지형모형의 경우 흔히 간과되어 왔다(Cho, 2019a). 그러나 연 점유율이 80%를 상회하는 너울이 지배적인 해양환경에서 장기간에 누적되는 경우 해안에 상당한 변화를 줄 수 있어 one-line 모형과 같은 장기 지형 모형(morphology model)의 경우에는 반드시 고려되어야 할 것으로 판단된다(Cho, 2019b).
쇄파 역에서 이송되는 표사량을 가늠하는 것으로 알려진 저류(under-tow)는 처오름 정점에서 시작되는 회귀류로 먼바다 방향으로 수심이 깊어짐에 따라 흐름 범위는 증가하나 그 세기는 점점 약해진다. 이렇게 순 유입된 흐름은 방향을 틀어 위로 상승하며 이렇게 형성되는 상승류는 원 빈에서 흔히 관측되는 사주 형성의 중요한 기작으로 기능한다(Cho, 2019c).
최근 Lee 와 Cho(2019)는 비스듬히 조우하는 두 개의 Cnoidal wave로 형성된 파동 계의 단조 해안에서의 비선형 천수 수치 모의과정에서 전술한 상승류를 관측하고 너울이 우세한 해양환경에서의 해빈 복원 과정에 대한 하나의 가설을 제시한 바 있다. Lee와 Cho(2019)에 따르면 사주 언저리까지 너울의 왜도와 경계층 streaming에 의해 소류사 형태로 해안 방향으로 이송된 표사는 사주 정점에서 전술한 상승류에 의해 수면 인근까지 상승한다. 이렇게 상승한 표사는 Stokes drift에 의해 전 빈까지 이송되며, 후행하는 처오름 과정에서 너울이 우세한 해양환경에서 낮아진 지하 수위로 인해 흐름 일부분이 침투되는 과정에서 전 빈에 퇴적된다. 이러한 가설은 상당히 흥미로운 것으로 해빈 안정화를 위해 전면해역에 거치되는 구조물의 규모와 최적 거치 위치에 대한 정보를 제공할 수 있다고 판단되나, k-ε 모형이라는 다소 거친 turbulence closure를 사용한 수치 모의에 기반한다는 점에서 추가적인 검증이 필요하다.
이러한 인식에 기초하여 본 연구에서는 spatial averaging filter를 적용하여 사용된 격자보다 작은 규모의 난류는 등방성에 근접한다는 시각에서 LES(Large Eddy Simulation)를 사용하였고, 잔차 응력(residual stress)은 dynamic Smagorinsky 난류모형을 활용한 수치 모의가 수행되며, 이 과정에서 파랑 모형은 spatially filtered Navier-Stokes Eq.과 질량 보존식 으로 구성하였다.
LES 난류모형에서 평균 흐름과 비슷한 규모로 평균 흐름으로부터 유동 에너지를 추출하는 큰 규모의 와는 직접 모의된다. 이에 반해 비교적 등방성에 가까운 부 관성 대역(inertial sub-range)에 분포하는 작은 규모의 와는 모형을 통해 수치 모의 된다는 면에서 기존의 RANS(Reynolds Averaged NavierStokes Eq.)에서의 eddy viscosity 기울기 모형보다 우월성을 지닌다(Pope, 2004). 이러한 SPS(Sub Particle Scale) 난류모형은 DNS(Direct Numerical Simulation)에 견줄만한 정도를 제공한다(Cho and Lee, 2007; Cho and Kim, 2008; Cho et al., 2008; Meneveau et al., 1996).
전술한 수치모형에 준거하여 쇄파 역에서의 경계층 streaming 수리특성을 살펴보기 위해 먼저 단조 해안에서의 천수 과정을 수치 모의하였으며 이 과정에서 k-ε 모형과 LES turbulence closure가 모의결과에 미치는 영향도 함께 살펴보았다. 이어 경계층 streaming을 추가 검증하기 위해 자연해안과 근접한 사주를 포함한 해안에서의 천수 과정도 수치 모의하였다.
2장에서는 파랑모형과 Subgrid-scale 난류모형 중 one-equation eddy viscosity 모형을 정리하였으며, 3장에서는 수 치 모의, 4장에서는 수치 결과를 다룬다.

2. 수치모형

2.1 파랑모형

LES에서의 파랑모형은 Navier-Stokes 방정식에 spatial averaging filter를 적용하여 유도되며, 이렇게 얻은 운동량 방정식과 연속방정식을 기술하면 각각 다음과 같다.
(1)
u¯ixi=0
(2)
u¯it+xjUiUj¯=1ρp¯xi+v2u¯ixjxj
식(2)에서 ρ는 물의 밀도, v = μ/ρ는 동 점성계수, p¯는 공간 여과된 수정 압력, u¯는 여과 속도(filtered velocity), U=u¯+u'는 순간속도를 각각 나타낸다. 식(2)의 좌측 두 번째 항을 여과 속도와 잔차 속도(residual velocity) u'으로 구분하는 경우 다음과 같이 기술될 수 있으며,
(3)
UiUj¯=u¯iu¯j¯+uu¯j¯+u¯iuj'¯+ui'uj'¯
식(3)의 우측 왼쪽 3개 항은 여과 과정(spatial averaging)에서 발생하는 잔차 응력 (residual stress)을 나타낸다. 전술한 잔차 응력을 τRij이라고 정의하면 식(2)의 좌측 두 번째 항은 다음과 같이 기술될 수 있다.
(4)
xj(UiUj¯)=xj(ui'¯uj'¯)+xj(τRi¯j)
식(4)τRij는 비등방성 잔차 응력 τijr을 활용하는 경우 다 음과 같이 기술될 수 있으며
(5)
τijR=τijr+23ksgsδij
여기서 δij는 Kronecker delta, ksgs는 sub-grid scale의 운동에너지를 각각 나타내며 ksgs는 다음과 같이 기술될 수 있다.
(6)
ksgs=12τkk=12(ukuk¯ukuk¯)
식(2)식(4), (5)를 대입하고 정리하면 운동량 방정식을 얻을 수 있으며, 이렇게 얻은 LES 운동방정식을 기술하면 다음과 같다.
(7)
ui'¯t+xj(ui¯uj¯)=1ρp¯xi+ν2ui¯xjxjτijr¯xj

2.2 Subgrid-scale 난류모형-Dynamic Smagorinsky 모형

식(7)에 기술된 지배방정식을 완결하기 위해서는 여과 과정에서 발생한 비등방성 잔여 응력 항을 모형화할 필요가 있으며 문헌에서 자주 언급되는 one-equation dynamic Smagorinsky(1963) 모형을 기술하면 다음과 같다.
(8)
τijr=2νsgsSij¯
여기서 Vsgs는 잔여 유속의 난류 점성계수, Sij¯는 여과 속도에 대한 변형률을 각각 나타내며 Sij¯는 다음과 같이 정의된다.
(9)
Sij¯=12(ui¯xj+uj¯xi)
식(8)에서 난류 점성계수 Vsgs는 다음과 같이 기술될 수 있으며,
(10)
νsgs=CSksgsΔ
여기서 CS는 Smagorinsky 계수로 일반적인 전단 흐름의 경우 0.065~0.1 사이의 값을 지니며, 본 논문에서는 0.094를 사용하였다.
식(10)에서 쇄파 역에서의 난류 에너지의 국지적 생성, 확산, 소산은 ksgs 에 대한 이송방정식을 추가로 도입하는 경우 설명될 수 있으며 이송방정식을 기술하면 다음과 같다 (Yoshizawa and Horiuti, 1985).
(11)
(ρksgs)t+xj(ρuj¯ksgs)xj[ρ(ν+νsgs)xj(ksgs)]=ρτij:Sij¯Cɛρksgs3/2Δ
식(11)에서 Cε는 경험계수, △=(△xyz)1/3, △x, △y, △z는 각 방향의 필터 크기를 나타내며, 난류 에너지의 생성을 의미하는 -ρτij : Sij¯는 다음과 같이 기술될 수 있으며,
(12)
ρτij:Sij¯=23ρksgsuk¯xk+ρvsgsui¯xj(2Sij¯13tr(2S¯)δij)
여기서 S¯는 여과된 특성 변형률을 나타내며 다음과 같이 정의된다.
(13)
S¯=(2Sij¯Sij¯)1/3

3. 수치 모의

쇄파 역에서의 경계층 streaming의 수리특성을 살펴보기 위해 먼저 단조 해안에서의 천수 과정을 수치 모의하였으며, 이어 자연해안과 근접한 사주를 포함한 해안에서의 천수 과정 수치 모의도 수행하였다. 이 과정에서 단조 해안의 경우 k-ε 모형을 활용한 수치 모의도 함께 수행하여 turbulence closure가 수치 결과에 미치는 영향도 살펴보았다.
수치 모의과정에서 파랑은 다소 과다한 처 오름과 처 내림을 결과하는 것으로 알려진 선형파랑으로 인한 오류를 최소화하기 위해 유한 수심 해역에서의 대표적 비선형 파랑모형인 Cnoidal waves로 조파하였다. 수치모형의 검증은 수심이 일정한 해역에서 관측되는 유속분포를 대상으로 그동안 축적된 경계층 streaming의 거동특성에 대한 Holmedal and Myrhaug(2009)의 연구성과를 토대로 수행하였으며 검증과정에는 정성적 비교를 위해 선형파랑을 대상으로 한 수치 모의도 함께 수행하였다.
수치 모의는 OpenFoam 기반 Tool box인 IHFoam을 사용하여 수행하였으며(Losada et al., 2008; Cho and Bae, 2019), 파랑모형은 spatially filtered Navier-Stokes Eq.과 질량 보존식으로 구성하였다. 자유수면은 VOF(Volume Of Fraction)법을 활용하여 추적하였으며, 바닥에는 no-slip boundary condition, 측면에는 cyclic boundary condition을 적용하였다. 난류모형으로는 차용된 격자보다 작은 규모의 난류는 등방성에 근접한다는 시각에서 LES(Large Eddy Simulation), 잔차응력(residual Stress)은 Dynamic Smagorinsky 모형을 활용하여 모의하였다.
Numerical wave basin은 Fig. 2에 정리하였으며, 도시된 계산영역은 2,880,000(480 × 30 × 100)개의 절점으로 이산화하였다. 바닥과 이웃한 첫 번째 절점은 무차원 이격 거리 z+[= zu*/ν]가 4 내외인 viscous sub-layer에 거치하여 충분한 정확도가 확보될 수 있도록 노력하였으며(Fig. 3 참조), 여기서 u*는 마찰 속도를 나타낸다.
쇄파역과 포말대에서의 경계층 streaming의 수리특성을 살펴보기 위해 주기를 바꿔가며 총 6번의 수치 모의를 수행하였다. Table 1에는 수치 모의에 사용된 해빈 경사, 파랑 조건, 난류모형, 해빈 형태 등을 정리하여 수록하였으며, 수치 모의는 30 T 동안 수행하여 수치 결과가 충분히 수렴할 수 있 도록 노력하였다.

4. 수치 결과

4.1 수치모형 검증

Fig. 4에는 수치 모의과정에서 관측된 자유수면 snapshot을 차례대로 도시하였다. 목표했던 파랑이 조파되어 정연하게 단조 해안으로 접근하는 것을 알 수 있으며, 전 빈에서 plunging 형태의 쇄파가 역동적으로 진행되는 것을 알 수 있다.
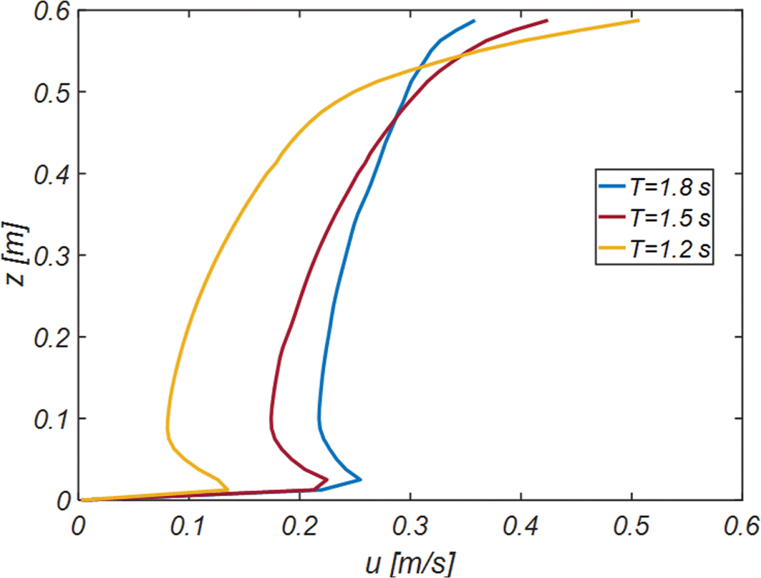
Fig. 5에는 수심이 일정한 해역(x = 7 m)에서 관측된 파랑 진행 방향 유속의 연직 분포를 도시하였으며(RUN 3, 4, 6), Table 2에는 free stream velocity um과 최대 경계층 streaming velocity ubMAX를 정리하여 수록하였다. Holmedal and Myrhaug (2009)의 연구성과에 의하면 비선형 파랑의 경우 파고는 증가하나 지속시간이 짧은 파 마루와 선형파랑에 비해 낮으며 지속시간은 긴 비대칭성으로 경계층 streaming velocity은 파랑의 진행 방향과 반대로 진행된다. 또한, 장파의 경우 수직 방향 유속성분이 상대적으로 작아 경계층 streaming은 감소한다. 전술한 경계층 streaming velocity의 거동특성은 Fig. 5Table 2에서도 확인할 수 있다는 점에서 상당히 정확한 수치 모의가 수행된 것으로 판단된다.
Fig. 6에는 RUN 3에서 관측된 파랑 진행 방향 유속의 연직 분포(x = 7 m)를 같은 파고와 주기를 지니는 선형파랑을 대상으로 한 수치 모의에서 관측된 유속분포와 비교하였다. 모의 전 파랑의 비대칭성에 기인한 negative 경계층 streaming이 존재하지 않는 선형파랑의 경우에서 경계층 streaming이 우월하게 관측될 것으로 예상하였으나(Holmedal and Myrhaug, 2009), 이러한 예상과는 달리 Cnoidal waves의 경우에서 크게 관측되었다. 이러한 차이는 Holmedal와 Myrhaug(2009)의 연구결과는 일 방향 진행파를 대상으로 하나, 본 논문의 경우 해안 경사면에서 진행되는 부분 반사와 먼바다 방향으로 회귀하는 under-tow에 기인하는 것으로 추정된다. 이러한 추론은 비선형 파랑에 비해 다소 풍성한 모습으로 선형파랑의 경우 다소 과다한 처 오름과 처 내림이 결과되며, 따라서 먼바다 방향으로 회귀하는 under-tow도 비선형 파랑보다 증가한다는 사실을 상기하면 수용 가능해 보인다.

4.2 Turbulence closure가 경계층 streaming 수치 모의결과에 미치는 영향

Fig. 7에는 Wave Station 1, 2, 3, 4에서 관측된 해안 방향 유속성분(u)의 한 주기에 걸친 변화양상을 도시하였다. 한 주기를 총 열여섯 개의 frame으로 나누어 위상별 유속 변화가 확연하게 드러나도록 구성하였으며, 저류 특성을 파악하기 위해 주기 평균 유속도 함께 도시하였다. 또한 비교를 위해 k-ε 난류모형을 사용하여 수치 모의 된 유속분포와 under-tow 도 함께 수록하였다.
Fig. 8에는 이해를 돕기 위해 경계층 streaming의 주 구성 요소인 연직 방향 유속성분(w)의 한 주기에 걸친 변화양상을 도시하였으며, Fig. 9에는 한주기에 걸쳐 해저면 인근에서 관측된 유속 벡터가 그리는 궤적을 도시하였다. Fig. 10에는 비교를 위해 해빈 표사의 이송 방향을 가늠하기 위해 사용되어 온 주기 평균 해안 방향 유속의 해안 방향에서의 변화양상을 도시하였다.
Fig. 7, 9, 10에서 알 수 있듯, 차용된 난류모형에 따라 모의 된 유동 계에는 미세한 변화가 감지되며, 변화양상을 정 리하면 다음과 같다:
첫째, k-ε 난류모형을 차용하는 경우 정확성을 담보하기 위해 첫 번째 절점은 20<z+< 200에 분포하는 log-law 대역에 거치되며, 바닥에는 wall function이 적용되기 마련이나, 이 경우 저면 인근에는 다소간의 오류가 발생할 수 있다(Rodi, 1993). 이러한 k-ε 난류모형의 한계로 수치 모의 된 저면 인근 유속은 다소 과다하게 산출된 것으로 판단되며, 이로 인해 Station 1의 경우 유속 벡터가 (u, w) 위상공간에서 그리는 궤적의 직경은 LES에 비해 다소 과다하게 모의 되었다 (Fig. 9 참조).
둘째, 처오름 정점에서 시작되는 저류(Under-Tow)는 처 내림 과정에서 가속되다 먼바다 방향으로 수심이 깊어지면 흐름 범위는 확대되며 그 세기는 점점 약해지나, k-ε 난류모형을 차용한 모의의 경우 전술한 거동과는 다소 결이 다른 양상을 관측할 수 있다(Fig. 10 참조). 전술한 차이는 가속 구간인 Station 4에서의 지나치게 빠른 저류, 감속 구간인 Station 1에서의 상대적으로 느린 저류에서 확인할 수 있다(Fig. 10 참조).
이상의 논의를 종합하면 기존에 선호되어온 k-ε 난류모형은 본 논문에서 다루는 쇄파 역에서의 경계층 streaming 수치 모의에 차용하는 경우 다소간의 오류가 야기될 수 있는 것으로 판단되며 이후 수치 모의는 Dynamic Smagorinsky LES 난류모형에 준거하여 진행된다.

4.3 단조 해안에서의 경계층 streaming

Fig. 11에는 RUN 1에서 관측되는 해안 방향 유속과 연직 방향 유속의 등고선 도를 차례대로 도시하였으며, Fig. 12.1, 12.2, 12.3, 12.4에는 바닥으로부터 각각 0.0251 m, 0.0501 m, 0.0751 m 떨어진 지점에서 유속 벡터가 하나의 주기에 걸쳐 (u, w)로 구성된 위상공간에서 그리는 궤적을 도시하였다.
바닥과 가까운 Probe 2에서의 파랑 진행 방향 유속이 상층에 위치하여 바닥의 영향으로부터 비교적 자유로운 Probe 3에서의 유속보다 우월해 보이는 것이 상당히 흥미롭다(Fig. 11(a), 12.1, 12.2, 12.3 참조). 이러한 경향은 Wave Station 1, 2, 3에서 모두 관측되나, back-wash가 지배적인 Wave Station 4에서는 관측할 수 없었다. 전술한 현상은 Longuet-Higgins가 이야기하는 경계층 streaming 외에는 달리 해석할 수 없으며 경계층 streaming이 발생하는 쇄파 역에서의 경계층 두께는 수심의 22%(0.5/0.225)에 이를 정도로 상당하다는 것을 알 수 있다.
해안을 가로지르는 방향에서의 경계층 streaming 변화를 살펴보기 위해 Fig. 13에는 바닥 인근 수역에서 하나의 주기에 걸쳐 (u, v)로 구성된 위상공간에서 유속 벡터가 그리는 궤적을 도시하였다. 외 빈과 전 빈을 아우르는 수역에서는 경계층 streaming을 관측할 수 있으나 해안에 인근 한 Wave Station 4에서는 먼바다 방향으로의 회귀 류가 우월한 것을 관측할 수 있다.

4.4 사주 해안에서의 경계층 streaming

4.3절에서 확인한 바닥과 인접한 수역에서의 경계층 streaming을 더욱 자세히 살펴보기 위해 자연해안에 근접한 사주를 포함한 해안에서의 천수 과정을 주기에 변화를 주어 수치 모의하였으며 모의결과는 Fig. 14, Fig. A1, Fig. A2, Fig. A3에 정리하였다. 주기가 상대적으로 짧은 RUN 3의 경우 경계층 streaming은 외빈에서만 관측되나, 주기가 긴 RUN 4의 경우 외빈뿐만 아니라, 전 빈에서도 관측되는 것을 알 수 있다.
Fig. 15에는 RUN 3에서 관측되는 유선을 차례대로 도시하였다. 사주 정점 전후의 단면 수축 부와 확대 부에서 생성되는 와류(forced vortex)의 이행과정을 확인할 수 있다. Fig. 16.1, 16.2, 16.3에는 바닥으로부터 각각 0.001m, 0.0126m, 0.0251 m, 0.0376 m 떨어진 지점에서 (u, w)로 구성된 위상 공간에서 유속 벡터가 하나의 주기에 걸쳐 그리는 궤적을 도시하였다.
Station 5, 6, 7의 경우 바닥과 가까운 Probe 1에서는 모두 파랑 진행 방향 유속이 먼바다 방향 유속보다 우월한 경계층 streaming을 관측할 수 있다(Fig. 16.1, 16.2, 16.3 참조). 사주 정점에 해당하는 Station 5의 경우 전술한 경계층 streaming은 상층부(△z = 0.0251 m)까지 확대되는 것을 알 수 있으나, △z = 0.0376 m에서는 저류가 우세하였다. 사주 저점(trough)에 해당하는 Station 6의 경우 흐름 단면 확대로 인해 유속은 전체적으로 감소하며, 경계층 streaming은 바닥에 가장 가까운 Probe 1에서만 관측되었다.
전 빈에 해당하는 Station 7에서는 주기가 가장 짧은 RUN 3의 경우 경계층 streaming은 바닥에 가장 가까운 Probe 1에서만 관측되나, 주기가 상대적으로 긴 RUN 5, 6의 경우 경계층 streaming은 쇄파 역 깊숙이까지 상당한 해역에서 관측된다(Fig. 16.3, Fig. A1, Fig. A26 참조).
Fig. 17에는 Probe 1에서 관측되는 파랑 진행 방향 유속과 연직 방향 유속의 시계열 자료를 도시하였다(Station 1, RUN 3). 이상 유체의 경우 두 유속성분의 위상차는 π/2로 알려졌으나, 경계층 streaming이 우월한 바닥 인근의 경우 π/10 언저리까지 감소하는 것으로 보인다.
이상의 논의를 종합하면 주기가 상대적으로 긴 경우 경계층 streaming의 세기와 생성범위는 확대되는 것으로 정리할 수 있다. 이러한 결과는 경계층 streaming의 주 생성기작이 바닥 인근에서 진행되는 마찰로 인한 파랑에너지손실이며 주기가 긴 경우 천수 과정이 일찍 시작된다는 사실을 상기하면 충분히 수용 가능해 보이며, Longuet-Higgins(1957)의 해석 해와도 결을 같이한다.
이해를 돕기 위해 경계층 streaming에 대한 Longuet-Higgins(1957)의 해석 해를 옮겨 적으면 다음과 같으며,
(14)
uBδ=fUm2c
여기서 uBδ는 경계층 상단 부에서의 경계층 streaming 세기, Um는 경계층 상단에서의 첫 번째 성분 파랑에 기인한 유속 진폭, δ는 경계층 두께를 각각 나타낸다. δ는 Stokes 길이로 불리기도 하며 다음과 같이 기술될 수 있다.
(15)
δ=2νω
식(14), (15)에서 ω는 파랑 각 주파수, fa/kN에 종속하는 마찰 계수로 0.4 내외의 값을 지니며, 여기서 a는 경계층 상단에서 파랑 내습 시 수입자가 그리는 궤적의 진폭으로 해안 공학 계에서는 Excursion amplitude로 불리며, kN는 등가 Nikuradse 조도 길이를 각각 나타낸다.

5. 결론

자연 해빈은 해양환경에 따라 침·퇴적을 반복하며 고 파랑에 의해 해빈이 대규모로 침식되더라도 폭풍이 잦아들고 너울이 우세한 해양환경이 회복되는 경우 점진적으로 복원되며, 이러한 해빈 복원은 경계층 streaming을 통해 이루어진다. 해안에서 가용한 표사의 대부분이 공급되는 쇄파 역에서의 경계층 streaming에 대한 우리의 이해는 아직 상당히 부족해 보이며, 이러한 경향은 현재 문헌에서 가장 빈번하게 언급되는 Bailard(1981)의 횡단 표사 모형에서도 경계층 streaming이 간과되었다는 사실에서도 확인할 수 있다. 아직 개발의 손길이 미치지 못해 자연 해빈에 가까운 성정을 지닌 맹방 표사계의 경우 2017년 동 절기에 해빈 면적이 급격히 증가하였다(Chang and Cho, 2019). 전술한 기간의 온화한 해양환경과 해안에 영의 영각으로 내습한 파랑이 지배적이었다는 사실을 고려하는 경우 상당히 예외적인 해빈 면적의 급격한 증가는 경계층 streaming에 의해 해안으로 회귀하는 횡단 표사에 기인하는 것으로 판단된다(Cho et al., 2019). 이처럼 경계층streaming에 의한 표사 이송은 그 양은 그리 크지 않으나 오랜 기간에 걸쳐 누적되는 경우 해안에 상당한 변화를 줄 수 있어 one-line 모형과 같은 장기 지형모형(morphology model)을 운영하는 경우에는 반드시 고려되어야 할 것으로 판단된다.
이러한 인식에 기초하여 본 논문에서는 쇄파역과 포말대에서의 경계층 streaming 특성을 살펴보기 위해 맹방 해안에서 관측되는 년 점유율이 80% 내외인 해양환경을 대상으로 단조 해안과 자연해안에 근접한 사주를 포함한 해안에서의 천수 과정을 수치 모의하였다(Cho and Kim, 2019). 수치 모의는 OpenFoam 기반 Tool box인 IHFoam을 사용하여 수행되었으며(Losada et al., 2008), 파랑모형은 Spatially filtered Navier-Stokes Eq.과 질량 보존 식으로 구성되며, 자유수면은 VOF(Volume Of Fraction) 법을 활용하여 추적하였다. 난류 모형으로는 RANS(Reynolds Averaged Navier-Stokes Eq.)에서의 eddy viscosity 구배모형의 한계를 극복하고자 차용된 격자보다 작은 규모의 난류는 등방성에 근접한다는 시각에서 LES(Large Eddy Simulation), 잔차 응력은 Smagorinsky 혹은 Largrangian Dynamic Smagorinsky 모형을 활용하여 모의하였다. 이 과정에서 단조 해안의 경우 전술한 수치모형을 검증하기 위해 기존에 선호되던 k-ε 모형을 차용한 수치 모의도 병행하여 수행하여 turbulence closure가 모의결과에 미치는 영향도 함께 살펴보았다.
모의결과 차용된 난류모형에 따라 모의 된 유동 계에는 미세한 변화를 감지할 수 있었으며, 변화양상을 정리하면 다음과 같다:
첫째, k-ε난류모형의 경우 정확성을 담보하기 위해 첫 번째 절점은 log-law 대역에 거치되며, 바닥에는 wall function이 적용되기 마련이나, 이 경우 저면 인근에는 다소간의 오류가 발생할 수 있다. 이러한 k-ε난류모형의 한계로 저면 인근 유속은 다소 과다하게 모의 되었다.
둘째, 처 오름 정점에서 시작되는 저류(Under-Tow)는 처 내림 과정에서 가속되다 수심이 깊어지면 흐름 범위는 확대되고 그 세기는 점점 약해진다. k-ε난류모형의 경우 가속 구간에서는 지나치게 빠르게 감속 구간에서는 상대적으로 느리게 저류가 모의 되어, 기존에 선호되어온 k-ε난류모형은 쇄파 역에서의 경계층 streaming 수치 모의에 적용하는 경우 다소간의 오류가 야기되는 것으로 드러났다.
단조 해안을 대상으로 한 수치 모의에서는 바닥과 가까운 수역에서의 유속이 바닥의 영향으로부터 비교적 자유로운 상층부에서의 유속보다 우월한 Longuet-Higgins(1957)가 이야기하는 전형적인 경계층 streaming이 천수 초입부에서부터 쇄파 역 깊숙이까지 존재하는 것을 확인하였다. 이러한 경계층streaming 존재 여부를 확인하는 과정은 유속벡터가 (u, w)로 구성된 위상공간에서 그리는 궤적의 크기를 기준으로 진행하여 사면으로 인한 착시현상을 배제하였다. 단조 해안에서 확인한 바닥과 인접한 상당한 수역에서의 경계층 streaming을 추가 검증하기 위해 자연해안에 근접한 사주를 포함한 해안에서의 천수 과정을 주기에 변화를 주어 수치 모의하였으며 모의결과 주기가 상대적으로 짧은 경우 경계층 streaming은 외빈에서만 관측되나, 주기가 긴 경우 외빈뿐만 아니라, 전빈에서도 관측되는 것을 확인할 수 있었다. 또한, 차례대로 도시된 유선을 활용하여 사주 정점 전후의 단면 수축 부와 확대부에서 생성되는 와류(forced vortex)의 이행과정도 확인하였다.
이상의 논의에서 알 수 있듯 주기가 상대적으로 긴 경우 경계층 streaming의 세기와 생성범위는 해안 방향으로 확대되며 이러한 경향은 경계층 streaming이 바닥 인근에서 진행되는 마찰로 인한 파랑 에너지 손실로 결과되며 주기가 긴 경우 천수 과정이 일찍 시작된다는 사실을 상기하면 충분히 수용 가능해 보이며, Longuet-Higgins(1957)의 해석 해에서도 같은 경향을 확인할 수 있다.

감사의 글

본 연구는 해양수산부의 “연안 침식 저감기술 개발”성과 중 일부로, 지원에 감사드립니다.

Fig. 1.
Schematic sketch of two dominating mechanism - boundary layer streaming and under tow- on the cross shore sediment transport under low waves and high waves [from Chang and Cho (2019)].
jkscoe-32-1-69f1.tif
Fig. 2.
Schematic sketch of the numerical wave basin (h1 = 0.125 m, h2 = 0.25 m, h3 = 0.375 m, h4 =0.5m)
jkscoe-32-1-69f2.tif
Fig. 3.
Law of the wall, horizontal velocity near the wall with mixing length model (Rodi, 1993).
jkscoe-32-1-69f3.tif
Fig. 4.
Sequential snapshots of numerically simulated free water surface in RUN 1.
jkscoe-32-1-69f4.tif
Fig. 5.
Comparison of vertical profile of u under Cnoidal waves of T = 1.2 s, 1.5 s and 1.8 s when shoreward velocity reaches its maximum.
jkscoe-32-1-69f5.tif
Fig. 6.
Comparison of vertical profile of u under Cnoidal waves and sinusoidal waves of T = 1.2 s when the shoreward velocity reaches its maximum.
jkscoe-32-1-69f6.tif
Fig. 7.
Variation of the vertical profiles of horizontal velocity at Station 1, 2, 3 and 4 over a wave period for T = 2.4 s in RUN 1 and 2 ( jkscoe-32-1-69i1.tif denotes period averaged velocity).
jkscoe-32-1-69f7.tif
Fig. 8.
Variation of the vertical profiles of vertical velocity at Station 1, 2, 3 and 4 over a wave period for T = 2.4 s in RUN 1 ( jkscoe-32-1-69i2.tif denotes period averaged velocity).
jkscoe-32-1-69f8.tif
Fig. 9.
Comparison of the evolution of near bottom velocity vector during the unit wave period at Station 1, 2, 3 and 4 for T = 1.5 s (RUN 1& 2).
jkscoe-32-1-69f9.tif
Fig. 10.
Comparison of the period averaged shoreward velocity at varying heights across the shore for T = 1.5 s (RUN 1& 2) (at Station 1, 2, 3 and 4).
jkscoe-32-1-69f10.tif
Fig. 11.
Sequential contour plots of the numerically simulated shoreward and vertical velocities in RUN 1.
jkscoe-32-1-69f11.tif
Fig. 12.1.
Evolution of velocity vector during the unit wave period at the varying height (Wave Station 1).
jkscoe-32-1-69f12.1.tif
Fig. 12.2.
Evolution of velocity vector at the varying height during the unit wave period (Wave Station 2).
jkscoe-32-1-69f12.2.tif
Fig. 12.3.
Evolution of velocity vector at the varying height during the unit wave period (Wave Station 3).
jkscoe-32-1-69f12.3.tif
Fig. 12.4.
Evolution of velocity vector at the varying height during the unit wave period (Wave Station 4).
jkscoe-32-1-69f12.4.tif
Fig. 13.
Variation of velocity vector near the bottom during the unit wave period across the shore.
jkscoe-32-1-69f13.tif
Fig. 14.
Sequential contour plots of numerically simulated shore-ward and vertical velocities in RUN 3.
jkscoe-32-1-69f14.tif
Fig. 15.
Sequential snapshots of streamlines in the numerically simulated wave field in RUN 3.
jkscoe-32-1-69f15.tif
Fig. 16.1.
Evolution of velocity vector at the varying height during the unit wave period in RUN 3 (Wave Station 5).
jkscoe-32-1-69f16.1.tif
Fig. 16.2.
Evolution of velocity vector at the varying height during the unit wave period in RUN 3 (Wave Station 6).
jkscoe-32-1-69f16.2.tif
Fig. 16.3.
Evolution of velocity vector at the varying height during the unit wave period in RUN 3 (Wave Station 7).
jkscoe-32-1-69f16.3.tif
Fig. 17.
Time series of numerically simulated shore-ward and vertical velocities measured at Probe 1 of Wave Station 5 in RUN 3.
jkscoe-32-1-69f17.tif
Table 1.
List of wave conditions used in the numerical simulations
Cases Slope (1/m) H [m] T [s] Turbulence closure Beach type
RUN 1 1:8 0.2 1.5 LES Uniform slope
RUN 2 1:8 0.2 1.5 kε Uniform slope
RUN 3 1:8 0.15 1.2 LES With sand bar
RUN 4 1:8 0.15 1.5 LES With sand bar
RUN 5 1:8 0.20 1.5 LES With sand bar
RUN 6 1:8 0.15 1.8 LES With sand bar
Table 2.
List of free stream velocity um and maximum boundary layer streaming velocity ubMAX under Cnoidal waves of T = 1.2 s, 1.5 s and 1.8 s.
Cases um ubMAX Amplifying ratio
T = 1.8 s 0.2185 0.2547 1.165
T = 1.5 s 0.1759 0.2245 1.276
T = 1.2 s 0.15 0.081 1.851

References

Bailard, JA, Inman, DL (1981). An energetics bedload model for a plane sloping beach: local transport, J Geophys Res, 86(C3):2035-2043.
crossref
Cho, YJ, Kim, GS (2008). Development of 3-D nonlinear wave driver using SPH, Journal of the Korean Society of Civil Engineers B, 28(5B):559-573 (in Korean)..

Cho, YJ, Kim, GS, Ryu, HS (2008). Suspension of sediment over swash zone, Journal of the Korean Society of Civil Engineers B, 28(1B):95-109 (in Korean)..

Cho, YJ (2019a). Numerical analysis of the beach stabilization effect of an asymmetric ripple mat, Journal of Korean Society of Coastal and Ocean Engineers, 31(4):209-220 (in Korean)..
crossref
Cho, YJ (2019b). Grand circulation process of beach cusp and its seasonal variation at the Mang-Bang beach from the perspective of trapped mode Edge waves as the driving mechanism of beach cusp formation, Journal of Korean Society of Coastal and Ocean Engineers, 31(5):265-277 (in Korean)..
crossref
Cho, YJ (2019c). Preliminary study on the development of a platform for the optimization of beach stabilization measures against beach erosion II - centering on the development of physics-based morphology model for the estimation of an erosion rate of nourished beach, Journal of Korean Society of Coastal and Ocean Engineers, 31(5):320-333 (in Korean)..
crossref
Cho, YJ, Bae, JH (2019). On the feasibility of freak waves formation within the harbor due to the presence of Infra-gravity waves of bound mode underlying the ever-present swells, Journal of Korean Society of Coastal and Ocean Engineers, 31(1):17-27 (in Korean)..
crossref
Cho, YJ, Kim, IH (2019). Preliminary study on the development of platform for the selection of an optimal beach stabilization measures against the beach erosion-centering on the yearly sediment budget of the Mang-Bang beach, Journal of Korean Society of Coastal and Ocean Engineers, 31(1):28-39 (in Korean)..
crossref
Cho, YJ, Lee, H (2007). Numerical analysis of nonlinear shoaling characteristics over surf zone using SPH and lagrangian dynamic smagorinsky model, Journal of Korean Society of Coastal and Ocean Engineers, 19(1):81-96 (in Korean)..

Chang, PS, Cho, YJ (2019). Preliminary study on the development of a platform for the optimization of beach stabilization measures against beach erosion III - centering on the effects of random Waves occurring during the unit observation period, and infra-gravity waves of bound mode, and boundary layer streaming on the sediment transport, Journal of Korean Society of Coastal and Ocean Engineers, 31(6):434-449 (in Korean)..
crossref
Deigaard, R, Jacobsen, JB, Fredsoe, J (1999). Net sediment transport under wave groups and bound long waves, Journal of Geophysical Research, 104(C6):13559-13575.
crossref
Germano, M, Piomelli, U, Moin, P, Cabot, WH (1991). A dynamic sub-grid scale eddy viscosity model, Physical Fluids, A3, 1760-1765.
crossref
Holmedal, LE, Myrhaug, D (2009). Wave-induced steady streaming, mass transport and net sediment transport in rough turbulent ocean bottom boundary layers, Continental Shelf Research, 29, 911-926.
crossref
Holmedal, LE, Myrhaug, D, Rue, H (2003). The sea bed boundary layer under random waves plus current, Continental Shelf Research, 23, 717-750.
crossref
Jensen, BL, Sumer, BM, Fredsoe, J (1989). Turbulent oscillatory boundary layers at high Reynolds numbers, Journal of Fluid Mechanics, 206, 265-297.
crossref
Justesen, P (1991). A note on turbulence calculations in the wave boundary layer, Journal of Hydraulic Research, 29, 699-711.
crossref
Lee, HJ, Cho, YJ (2019). Numerical analysis of synchronous Edge wave known as the driving mechanism of beach cusp Journal of Korean Society of Coastal and Ocean Engineers, 31(6):409-422 (in Korean)..

Longuet-Higgins, MS. (1957). The mechanics of the boundary layer near the bottom in a progressive wave, Proc 6th International Conference on Coastal Engineering, Gainesville, Palm Beach and Miami Beach. Florida: December). 1957: 184-193.

Losada, IJ, Gonzalez-Ondina, JM, Diaz, G, Gonzalez, EM (2008). Numerical simulation of transient nonlinear response of semi-enclosed water bodies: model description and experimental validation, Coastal Engineering, 55(1):21-34.
crossref
Meneveau, C, Lund, TS, Cabot, WH (1996). A Lagrangian dynamic sub-gird scale model of turbulence, Journal of Fluid Mechanics, 319, 353-385.
crossref
Pope, SB (2004). Ten equations concerning the large-eddy simulation of turbulent flows, New Journal of Physics, 6(35):1-24.
crossref
Rodi, W. (1993). Turbulence models and their application in hydraulics - a state of art review. International Association for Hydraulic Research, Delft: 3rd edition. 1993, Balkema..

Smagorinsky, J (1963). General circulation experiments with the primitive equations, Monthly Weather Rev NWB, 91(3):99-164.
crossref
Trowbridge, J, Madsen, OS (1984). Turbulent wave boundary layers 2. Second order theory and mass transport, Journal of Geophysical Research, 89(C5):7999-8007.
crossref
Yoshizawa, A, Horiuti, K (1985). A Statistically-derived sub-grid-scale kinetic energy model for the large-eddy simulation of turbulent flows, Journal of the Physical Society of Japan, 54(8):2834-2839.
crossref

APPENDICES

Appendix A.

Fig. A1.
Sequential contour plots of numerically simulated shore-ward velocities in RUN 5.
jkscoe-32-1-69fa1.tif
Fig. A2.
Sequential contour plots of numerically simulated shore-ward velocities in RUN 6.
jkscoe-32-1-69fa2.tif
Fig. A3.
Sequential snapshots of numerically simulated free water surface in RUN 3.
jkscoe-32-1-69fa3.tif