로터 위치에 따른 쉬라우드 내부 유동장 특성 분석

요약

로터 위치 및 쉬라우드 입구 유속 변화에 따른 쉬라우드 내부 유동장 및 기계적 출력 분석을 위해 수치해석을 수행하였고 이를 실험결과와 비교하였다. 로터와 해수의 유동조건은 쉬라우드 조류발전 시스템 내 유동장 특성에 많은 영향을 미치게 된다. 특히 실린더 내 축 방향 위치에 따른 로터의 기계적 출력은 실린더 중앙 이후까지 점차 증가하며, 입·출구 부근에서는 감소하였다. 또한 쉬라우드 입구 유속이 증가함에 따라 로터 출력량이 점차 증가하였다. 축 방향 운동량과 각운동량은 로터를 통과하면서 급격하게 증가 및 감소하였으며, 전방을 포함한 그 외 영역에서의 큰 변화는 없었다. 이러한 결과들은 조류발전 시스템 개발의 기초 자료로 다양하게 활용될 수 있을 것으로 기대된다.

Abstract

Numerical analysis was carried out to analyze the flow fields and mechanical output of a rotor for various positions and inlet flow rates in a shroud, and it was compared with experimental data. Rotor and seawater current largely affects the flow field characteristics in the shroud system. Especially the mechanical output of the rotor increased with axial position near the center of the cylinder, and it gradually decreased close to the entrance and exit. Also, the rotor output increased with the inlet velocity. Axial and angular momentum of flow along the cylinder region rapidly increased and reached a peak, and then decreased as it passed through the rotor, while there was no significant change in the cylinder region. It is expected that these results can be used as applicable design data for the development of the tidal power generation system.

1. 서론

최근 화석에너지 연료의 감소와 지구온난화에 따른 탄소배출 저감의 중요성 강화로 친환경 대체에너지 개발에 대한 필요성이 점차 증가하고 있다. 이러한 대체에너지 중 조류에너지는 지속적인 활용이 가능하며, 계절의 변화에 크게 의존하지 않아 전 세계적으로 많은 연구가 진행되고 있다. 특히 조류발전은 천체의 운동에 따른 조류의 운동 에너지를 이용하여 발전하는 방식으로 지속적인 발전이 가능하며, 조류예보에 따라 적절하게 대응이 가능한 장점이 있다. 이들 중 쉬라우드를 수반한 조류발전 시스템에서는 쉬라우드 내 해수유동 변화에 따라 로터의 기계적 출력이 크게 영향을 받게 되는 만큼 장치 구조 및 형상에 따른 로터 주변 유동장에 대한 분석이 필수적이다.
기존의 연구로서 Jo et al.(2009)은 수치해석과 실험을 이용하여 조류발전 유입구에 설치된 덕트의 길이 및 유입속도에 따른 유속변화를 분석하였다. 그 결과로 덕트 길이가 짧을수록 유속이 증가하였으며, 이에 따라 출력량도 증가한다고 제시하였다. Kim and Lee(2012)는 CFD 해석을 수행하여 쉬라우드 내부의 노즐 형상의 각도에 따른 내부의 해수 유동장을 분석하였고, 이를 통해 노즐-디퓨저 형상의 내부 유속이 크게 변화되는 것을 나타내었다. Zhou et al.(2013)은 덕트 길이, 단면 팽창비, 그리고 곡률 반경의 조류발전 터빈의 효율에 대한 분석을 통해 단면 팽창비가 증가할수록 효율의 손실이 발생하고, 디퓨저의 단면 확대 구조는 터빈 효율성에 큰 영향을 미치지 않는 것을 보여주었다. 또한 Fleming and Willden(2016)은 덕트의 곡률 및 두께가 터빈 성능에 미치는 영향을 분석하였으며, 마찰 손실이 증가함에 따라 얇은 덕트의 유체역학적인 효율이 감소하는 경향을 보여주었다. Lee and Hyun(2016)은 두개의 수직축 조류발전 터빈의 거리 및 회전방향에 따른 성능을 수치해석을 통해 분석하였다. 이를 통해 두 수직축 터빈들의 거리가 짧아질수록 성능이 증가하며, 터빈의 회전방향이 각각 반시계-시계방향인 경우 효율이 높아지는 것을 고려하여 수직축 조류발전 단지 설계 시 이를 고려한 배치가 필요하다고 제안하였다. 이와 함께 Lee et al.(2018)은 수치해석을 이용하여 조류발전용 쉬라우드 구조체의 상단 표면에서부터 입구 내경까지의 두께가 증가함에 따라 내부 중심부의 유속이 증가하는 것을 예측하였다. 이러한 연구들은 조류발전 시스템 내 구조적인 변화의 영향과 이에 따른 기계적 출력량 및 효율에 대한 분석에 치우쳐 있으며, 이들 중 출력에 직접적으로 영향을 미치는 쉬라우드 내 로터위치를 포함한 해수 유동장 특성에 대한 연구는 아직까지 미비한 상태이다.
본 연구에서는 로터의 축 방향 위치 및 내부 유동장 변화에 따른 기계적 특성을 분석했다. 이를 통해 효율적인 조류 발전 시스템 개발에 필요한 기초적인 자료를 제공하고자 하였다.

2. 수치해석

2.1 지배방정식

본 연구에서 분석하고자 하는 조류발전기의 쉬라우드 내부에 흐르는 해수유동은 정상상태의 난류 운동으로 가정하였으며 일반적인 RNG k-ε난류 모델을 이용하였다. 이와 관련된 해수 유동장의 지배방정식은 다음과 같다(Orszag et al., 1933).
연속방정식:
(1)
xi(ρui)=0
운동량 방정식:
(2)
xi(ρuiuj)=pxi+xiμt(uixj+uixi)+ρgi
난류운동에너지 및 소산율 방정식:
(3)
xi(ρuik)=xj(μtσkkxi)+μt(uixj+ujxi)uixjρɛ
(4)
xi(ρuiɛ)=xj(μtσkɛxi)+C1ɛμt(uixj+ujxi)ɛkC2ρɛ2k
(5)
μt=ρCμk2ɛ
(6)
Gk=μt(uixj+ujxi)uixj
여기서 x[m]는 좌표 거리, ρ[kg/m3]는 유체 밀도, u[m/s]는 축 방향 속도, g[m/s2]는 중력가속도, k[km2/s2]는 난류 운동에너지, ut[Pa·s]는 난류 점도, ε[m2/s2]는 난류 소산율, 하첨자 i, j, k는 각각 1, 2, 3으로 축 방향을 나타낸다.

2.2 해석 모델

Dassault System Inc.(2018)에서 개발한 3D CAD 프로그램인 Solidworks를 이용하여, 로터 형상과 조류발전기의 쉬라우드 내부 형상을 구현하였다. Fig. 1Lee et al.(2019)에서 사용한 로터의 3차원 CAD 형상으로 (a)와 (b)는 각각 로터의 정면과 측면도를 표시한 것이다. Fig. 2는 로터를 포함한 쉬라우드의 기하학적 형상과 제원을 나타낸 것으로 쉬라우드의 노즐-실린더-디퓨저 부분의 형상을 포함하고 있다. 전체적인 해석영역은 Fig. 3에 표시되어 있으며, 로터 위치가 실린더 중앙인 경우의 쉬라우드 입·출구를 나타낸 것이다. 여기서 노즐 입구에서 완전 발달 유동이 이루어지도록 직경의 약 10배 정도만큼의 거리에 유입구를 위치하였으며, 쉬라우드의 중앙 기준으로 로터의 축 방향 위치를 실린더 직경의 약 0.35배 간격으로 변화한 모델들에 대한 해석을 수행하였다.

2.3 격자시스템

본 연구에서 해석을 위해 사용한 격자 생성 프로그램은 Ansys 社에서 개발한 Ansys Meshing이다. Fig. 4는 로터가 실린더의 중앙에 위치한 경우의 격자계를 나타낸 것으로 복잡한 로터 형상 주변에는 사면체, 그 외에는 육면체 격자를 사용하였다. 격자수 의존성과 관련하여 약 100만~1,600만 개 경우들의 해석 결과들을 비교하였고, 약 810만 개와 1,600만 개의 결과들에 대해 노즐 입구 면의 평균 유속 차이는 약 0.5% 이내로 예측되어 여기서는 약 810만 개의 격자계를 사용하였다.

2.4 해석기법 및 경계 조건

본 연구에서는 상용 CFD(Computational Fluid Dynamics) 프로그램인 ANSYS Fluent.(2018)를 사용하였다. 유동장의 지배방정식들을 풀기 위하여 SIMPLE 알고리즘의 2차 상류 차분법(Second Order Upwind Scheme)을 적용한 유한체적법이 사용되었다. 이와 함께 쉬라우드 모형은 실제에 대한 4/25 형상비로 제작되었으며, 해석의 경계조건으로 일정한 유속조건의 입구와 출구를 각각 설정하였고, 그리고 유체의 물성치는 일정한 것으로 가정하였다. 입구 속도는 실제 해수 유속을 고려하여 모형실험의 속도관계를 Froude 법칙을 적용한 식(7)이 적용되었다.
(7)
(vgL)m=(vgL)p
여기서 mp는 각각 모형과 실제 형상을 나타내며, v[m/s]는 유체의 속도, L[m]은 발전장치의 축 방향 길이, 그리고 g[m/s2]는 중력가속도이다. 이에 따라 일반적인 국내의 조류속도(약 1~2m/s)와 모형의 형상비를 적용하여 입구속도를 약 0.1~0.35 m/s로 가정하였다.

3. 분석 결과

3.1 로터 위치에 따른 유동 특성 분석

축 방향의 로터 위치는 쉬라우드 내 유속 분포의 변화를 가져오게 되고, 이는 출력에 영향을 미치게 된다. Fig. 5는 축 방향 위치(x/D)에 따른 로터의 출력계수(Cp)와 실린더 내 로터 직전(V)에서의 유속비(V/VN)를 나타낸 것이다. 여기서 쉬라우드 내로 유입되는 유체 유동에 대한 출력계수(Power coefficient), Cp는 다음의 식(8)과 같다.
(8)
Cp=TΩ12ρAVTC3
여기서 T[N·m]는 로터에 걸리는 토크, Ω[rad/s]는 각속도, ρ[kg/m3]는 유체의 밀도, A[m2]는 입구 단면적, VTC[m/s]는 유입되는 조류속도, 그리고 VN[m/s]는 노즐 입구 평균유속이다(Kim et al., 2012; Han et al., 2019). 로터가 실린더 입구 부근에 위치한 경우 로터 앞부터 유체 유속이 감소하게 되어 출력계수의 값이 낮아지지만, 중앙에 접근할수록 유속이 증가하였다. 또한 출력계수는 실린더의 중앙 이후의 위치까지 점차 증가하였으며, x/D≈2.2에서 최대 약 0.606 정도이다. 입구와 출구 부근에서 유속의 변화가 큰 편으로 입구에 가까운 지점(x/D≈0.9)에서 약 3.3% 정도의 증가와 함께 출구 부근(x/D≈2.9)에서 약 1% 정도가 감소하였다. 이에 따른 출력계수의 변화도 발생하였으며 일부 영역인 0.9≤x/D≤1.6에서의 출력계수는 약 1.1% 정도가 상승하였다. 이와 함께 0.9≤x/D≤1.6과 2.2≤x/D≤2.9에서는 유속비의 변화가 크지않고 이후 완만하게 증가되었지만 그 변화는 출력계수에 비해 상대적으로 작은 편이다.
Fig. 6은 로터 위치에 따른 축 방향 단면에서의 유속 분포를 나타낸 것이다. 단면의 중심 유속은 실린더 입구 통과 후 점차 증가 후 거의 일정하게 유지되다가, 로터 전방에서 다시 감소하였으며, 후방에서는 와류 영역이 유동방향으로 넓게 발생하였다. 이는 로터가 저항체의 역할을 하여 유체가 통과하는 면적이 감소하면서 벽 부근에서는 가속이 크게 되지만 중심 유속은 점차 감소하는 것으로 판단되며, 로터가 없는 경우 실린더 내 비교적 균일한 속도분포와 차이가 나타나게 된다. 또한 로터 위치가 출구에 가까울수록 전방에서의 유속 변화가 크지 않는 영역이 증가하였으며, 후방의 디퓨저 영역에서 와류 영역이 감소하였다. 로터 전면에서의 평균 유속은 로터 위치가 중앙으로 접근할수록 노즐 입구 대비 약 5배 정도까지 증가하였으며, 평균 유속은 실린더 중앙 및 출구에서 각각 입구 대비 약 4.2%와 2.3% 정도 증가하였다. 로터 통과 후 실린더 벽과 로터 사이에서의 유속은 면적의 감소에 따라 로터 앞에서부터 급속히 가속되어 입구 대비 약 10배 정도까지 증가하였다. 이와 함께 출구부에 가까워질수록 연결된 디퓨저 부분에서 와류분포 영역이 넓어지고 중앙의 유속도 점차 감소하는 것으로 나타났다.

3.2 쉬라우드 내 중심 유속 및 로터 출력 분석

로터를 포함한 쉬라우드 장치에 대해 실험을 수행하였고 이에 사용된 형상의 제원은 Fig. 2와 같다. Fig. 7은 실제의 모형 실험 장치를 나타낸 것으로 노즐-실린더-디퓨저의 구조를 해수가 통과하면서 로터를 통해 발전하는 구조로 이루어져 있다. 특히 로터의 축은 수직으로 외부에 연결되어 전력을 생산하는 방식으로 실험이 이루어졌으며, 쉬라우드는 스테인리스 스틸(Sus 304)의 재질로 제작하였다. 해수의 유량은 약 7.6~22.8 kg/s이며, 사용된 펌프의 용량과 수조의 크기는 각각 500 m3/h와 17,200l 정도이다. 또한 Fig. 8은 실험장치의 전체 구성과 유체의 흐름도를 나타낸 것이다. 발전이 이루어지는 로터의 작동을 볼 수 있도록 가시화 창이 설치되었으며, 로터의 토크(SNC-100KC) 및 입·출구, 실린더 터빈 앞 등 각 부분에서 유속과 압력(P710)을 측정하였다.
입구의 유속은 실린더 내 유동장과 함께 로터의 토크에 영향을 미치게 되어 출력도 변화하게 된다. Fig. 9는 수치해석(CFD)과 실험(EXP)을 통해 계산된 입구 유속 별 로터의 토크와 기계적 출력을 비교한 것이다. 입구의 유속이 0.1~0.35 m/s로 변화함에 따라 로터에 가해지는 토크 및 기계적 출력이 약 1.6~2.7배 증가하는 것을 볼 수 있다. 이와 함께 실험결과의 기계적 출력 값도 유속에 따라 증가하는 경향을 볼 수 있으며, 0.2~0.3 m/s의 경우 0.1m/s에 비해 약 16.8~48.36% 정도가 증가하였다. 또한 유속이 증가함에 따라 실험과 해석결과의 차이는 비교적 감소하였으며, 0.3 m/s 조건에서 약 5.6%로 나타났다.
Fig. 10은 축 방향 단면 별(x) 쉬라우드 중심 유속 변화를 나타낸 것이다. 쉬라우드 입구의 노즐 직경이 감소하면서 중심 유속은 증가하였고, 이후 실린더 내 로터 전까지 거의 일정하게 유지된다. 해석의 경우 노즐 대비 실린더 내 중심 유속은 약 3~11배 증가하였으며, 실험에서는 비슷한 경향을 나타내지만 약 2~5배 증가하는 것을 볼 수 있다. 입구 속도의 증가에 따라 로터 앞 0≤x≤0.57에서 단면 중심 유속도 증가하게 되지만, 해석의 경우 유속비 차이가 약 1.4~2.28배 정도 크게 나타났다. 또한 로터를 통과하면서 x≈0.6 m부터 속도가 급격하게 감소하였으며, 로터 후방에 발생된 복잡한 구조의 와류 유동이 디퓨저 내 유속 분포에 영향을 미치는 것으로 판단된다. Figs. 9~10의 해석과 실험 결과가 비교적 큰 차이를 나타내고 있으며, 특히 쉬라우드 내 최대 유속에 비해 로터 출력에서의 차이가 큰 편이다. 이는 실험에서 측정된 중심 유속과 로터토크 데이터의 시간적인 불안정성도 영향을 미친 것으로 예측된다.
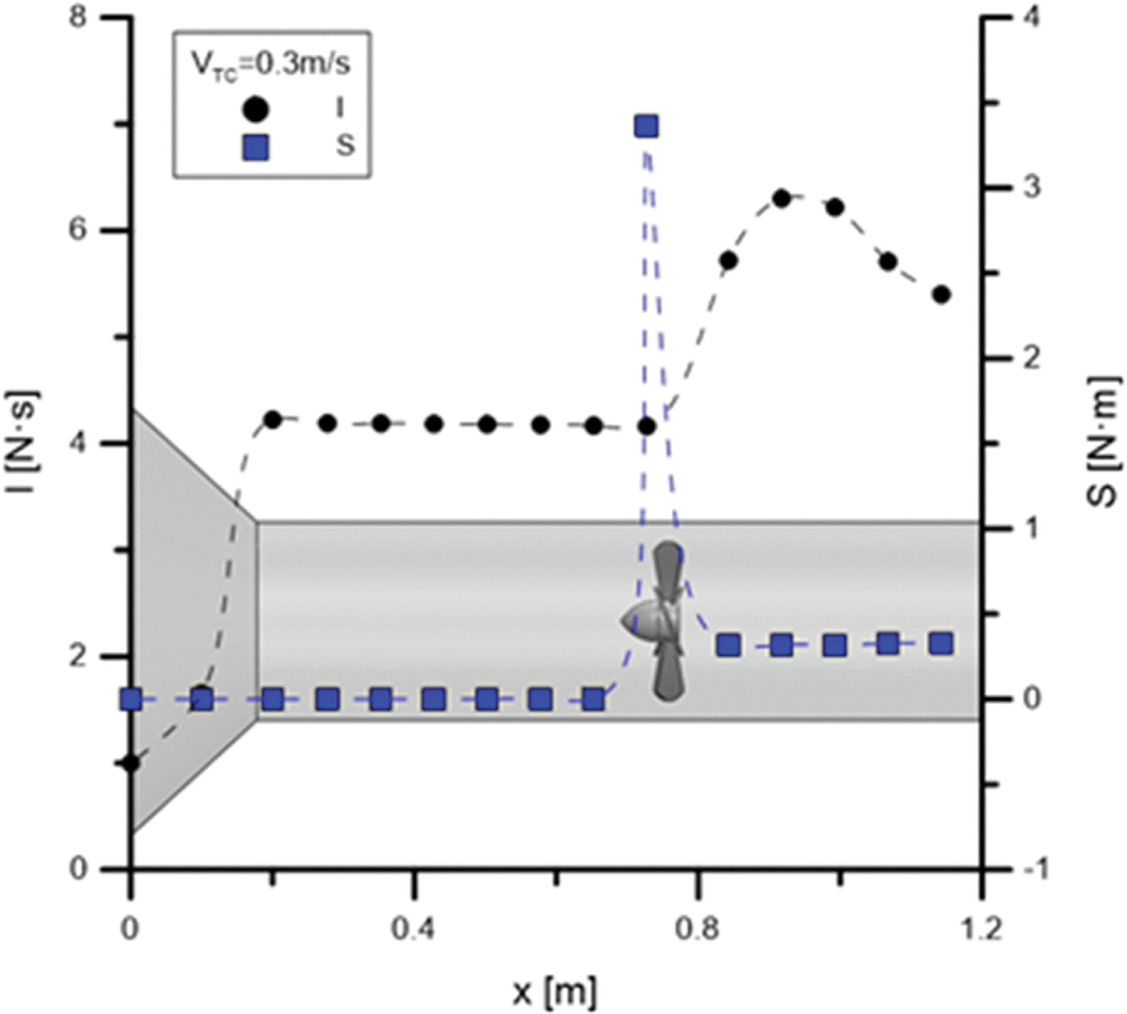
또한 쉬라우드 내 해수의 유동은 로터의 회전에 따라 영향을 받게 되며, 단면 별 유동방향 운동량 및 회전도 영향을 미치게 된다. 로터 토크와 유동의 회전력과 관련된 실린더 내유체의 운동량과 각운동량의 분포특성을 파악하기 위해 Fig. 11을 통해 쉬라우드 내 축 방향 단면 별 운동량 및 각 운동량을 비교하였다. 여기서 IS는 각각 유체의 운동량과 각 운동량을 나타낸 것이며, 식 (9)~(10)와 같다.
(9)
I=Aρ|V||V|dA
(10)
S=ρrVθVdA
여기서 V[m/s]는 각 단면 축 방향 속도, Vθ[m/s]는 단면에서의 접선속도, 그리고 r[m]은 단면 반지름이다. 운동량은 쉬라우드 내부 직경 감소 및 로터를 통과하면서 증가하였으며, 로터 후방에서는 점차 감소하는 것을 볼 수 있다. 이와 함께 쉬라우드 내 노즐의 직경이 감소되는 영역(x/D≤0.64)에서 가속과 함께 운동량이 크게 증가하였으며, 실린더 내 로터를 통과하는 부분(2.34≤x/D≤2.95)에서도 약 42% 정도까지 증가하고 이후 점차 감소하였다. 또한 유체의 각운동량은 노즐 입구부터 로터 전방 영역까지 큰 변화가 없는 편이며, 로터의 회전에 의한 영향으로 로터를 통과화면서 급격하게 증가한 후 다시 감소하였다. 이와 관련하여 노즐 입구(x/D = 0)에 비해 로터 직전(x/D = 2.34)에서의 각운동량은 약 3.5배 정도까지 증가하였다.
Fig. 12는 입구 속도 0.3 m/s인 경우 실린더 단면 별 유속 및 압력 분포를 나타낸 것이다. 로터 전방(1.37≤x/D≤2.34)까지 유속변화는 크지 않지만 단면 중앙 부분(x/D = 2.34)에서 감소하는 것을 볼 수 있었다. 후방에서는 로터의 형상에 따른 복잡한 속도분포와 함께 실린더 벽 부근에서 유속이 약 2.5배 정도로 크게 증가하였으며, 유동방향으로 실린더 벽과 로터 부근 사이에서 나타난 가속된 유속 영역이 점차 감소하였다. 이러한 로터를 통과하는 유체의 속도분포는 입구유속에 따라 변화하게 되고, 유체의 압력 분포에도 크게 영향을 미치게 된다. 로터 직전(x/D = 2.34)의 실린더 벽 부근에 비해 중심 부분에서 단면 내 압력차이가 약 660Pa 정도가 높은 편이이며, 후방 영역에서는 전방에 비해 압력의 변화가 작은 편이다. 또한 출구로 갈수록 실린더 벽과 로터 부근 사이에서 나타난 가속된 영역에서의 압력은 부분적으로 증가하였고, 벽 부근(x/D = 4.44)에서 압력이 비교적 낮게 나타났다. 실린더 내 전방 영역(x/D = 1.37)에 비하여 로터 직전(x/D = 2.34)에서의 평균 압력은 약 2% 정도 증가하였다. 로터 전후 단면에서의 평균 압력을 비교하였을 때 직후에서 775Pa 정도 낮았으며, 압력 변화가 큰 편이다.

4. 결론

본 연구에서는 쉬라우드 내 로터 위치 및 입구 유속 증감에 따른 출력량, 내부 유동을 수치해석을 통해 분석하였고 실험결과와 비교하였다. 이를 통해 얻은 결론은 다음과 같다.
실린더 내 로터의 위치에 따라 유체 유속분포와 로터의 기계적 출력은 영향을 받게 된다. 중앙에 접근할수록 입구 유속에 따른 증가와 함께 로터의 기계적 출력과 유속이 각각 약 1.1%와 4.3% 정도 증가하였으며, 중앙에서 유동방향으로 약간 떨어진 위치에서 최대출력이 나타났다. 로터가 중앙에 위치한 경우 노즐 입구의 가속과 함께 x≈0.6 m부터 로터를 통과하면서 중심 유속이 급격하게 감소하였다. 또한 유체의 축 방향 운동량은 로터를 통과하면서 실린더 입구에 비하여 약 42% 정도까지 증가하였으며, 이후 후방의 와류 영역에서는 다시 감소하였다. 이와 함께 각운동량은 로터 전방까지 큰 변화는 없었으나 로터 전후에서 급격하게 증가하였다. 이러한 예측 결과는 실험 데이터와 비슷한 경향을 나타냈으며, 유속이 증가할수록 결과 차이도 감소하였다.
추후 다양한 쉬라우드 형상에 대한 역학적인 연구가 필요할 것으로 판단되며 이러한 결과는 효율적인 조류발전 시스템의 개발에 다양하게 활용될 수 있을 것으로 기대된다.

감사의 글

본 연구는 한국해양과학기술진흥원 미래해양산업기술개발 해양중소벤처지원사업인 “콘크리트 쉬라우드를 이용한 조류 발전 시스템 연구(과제 번호: 20170122)”의 지원으로 수행되었습니다. 연구 지원에 감사드립니다.

Fig. 1.
CAD model for the turbine blade.
jkscoe-32-1-48f1.tif
Fig. 2.
3D Shroud with rotor.
jkscoe-32-1-48f2.tif
Fig. 3.
Simulation domain.
jkscoe-32-1-48f3.tif
Fig. 4.
Numerical grid system.
jkscoe-32-1-48f4.tif
Fig. 5.
Variation of power coefficient and velocity ratio with rotor position.
jkscoe-32-1-48f5.tif
Fig. 6.
Comparison of axial velocity distributions in the shroud for various rotor positions.
jkscoe-32-1-48f6.tif
Fig. 7.
Experimental tidal current power generation system.
jkscoe-32-1-48f7.tif
Fig. 8.
Simplified flow diagram.
jkscoe-32-1-48f8.tif
Fig. 9.
Comparison of rotor torque and mechanical output with inlet flow velocity.
jkscoe-32-1-48f9.tif
Fig. 10.
Centerline velocity variation with inlet flow velocity.
jkscoe-32-1-48f10.tif
Fig. 11.
Axial and angular momentums along the shroud.
jkscoe-32-1-48f11.tif
Fig. 12.
Velocity and pressure variation along the axial cross section for inlet velocity, 0.3 m/s.
jkscoe-32-1-48f12.tif

References

ANSYS Inc (2018). FLUENT User’s Guide.

Dassault System Inc (2018). Solidworks User’Manual.

Fleming, CF, Willden, RH (2016). Analysis of bi-directional ducted tidal turbine performance, International Journal of Marine Energy, 16, 162-173.
crossref
Han, SJ, Lee, UJ, Park, DI, Lee, SH, Jeong, ST, Lee, SS (2019). Experimental performance analysis using a compact scale model for shroud tidal current power generation system, Journal of Korean Society of Coastal and Ocean Engineers, 31(4):221-228 (in Korean)..
crossref
Jo, CH, Lee, KH, Yim, JY, Chae, KS (2009). Performance evaluation of TCP device with upstream duct installation, Journal of the Korean Society for Marine Environment and Energy, 77-80 (in Korean)..

Kim, JW, Lee, SH (2012). A study on seawater flow characteristics inside the shrouds used in tidal current generation systems for various geometric angles under constant tidal current velocity, Journal of Korean Society of Coastal and Ocean Engineers, 24(2):77-83 (in Korean)..
crossref
Lee, UJ, Han, SJ, Jeong, ST, Lee, SH (2019). Analysis of flow velocity change in blade installed shroud system for tidal current generation, Journal of Korean Society of Coastal and Ocean Engineers, 31(1):9-16 (in Korean)..
crossref
Lee, UJ, Lee, SH, Han, SJ, Jeong, ST, Choi, HJ, Ko, DH (2018). Numerical analysis for the optimum design of shroud tidal stream generation system, Journal of Korean Society of Coastal and Ocean Engineers, 30(3):134-141 (in Korean)..
crossref
Lee, JK, Hyun, BS (2016). Study on performance variation according to the arrangements of adjacent vertical-axis turbines for tidal current energy conversion, Journal of the Korean Society for Marine Environment & Energy, 19(2):151-158.
crossref
Orszag, SA, Yakhot, V, Flannery, WS, Boysan, F, Choudhury, D, Maruzewski, J, Patel, B (1933). Renormalization group modeling and turbulence simulations, International Conference on Near-Wall Turbulent Flows, 1031-1046 (in Elsevier Amsterdam)..

Zhou, JW, Wang, DZ, Li, YN (2013). Optimization and Flow Analysis of Ducted Tidal Stream Turbine, Trans Tech Publications Ltd, 1, 694-697.
crossref