1. 서 론
전 세계적으로 해수면 상승과 연안역의 인공구조물 설치 등 자연적·인위적 요인으로 인해 연안침식이 심화·지속됨에 따라, 이에 대한 대책 수립의 필요성이 증대하고 있다. Ministry of Oceans and Fisheries(2016)는 침식정도를 ‘양호’, ‘보통’, ‘우려’, ‘심각’의 4개 등급으로 구분하여, 국내 250여 개소의 해안에 대해 연안침식 실태조사를 수행하였다. 그 결과 ‘우려’와 ‘심각’ 등급을 받은 침식 우심 지역에 대한 비율이 동해안은 87.8%, 서해안 47.5%, 남해안 34.7%로 나타났다. 국내에서는 1990년대 이후 연안침식으로부터 연안역을 보호하기 위해, 이안제, 돌제와 같은 연안 보호 구조물들을 설치하였으나, 오히려 이러한 경성대책으로 인한 2차 피해로 침식이 가속화되고 있는 지역이 발생하고 있는 실정이다.
이에 우리나라 연안의 침식 현상을 이해하고, 침식 저감 대책이 가져올 수 있는 영향과 효과를 사전에 평가하여 이를 바탕으로 효과적인 연안침식 저감대책을 수립하기 위해, Ministry of Oceans and Fisheries(2018a)는 연안침식 저감대책 설계(안)의 사전 효과를 검토하기 위한 ‘연안 수치모델링 프레임 워크’를 개발하였다. 프레임워크는 (1) 한국형 연안지형변화 예측 수치모델체계(이하, K-CoSMoS), (2) K-CoSMoS 활용을 위한 보조 소프트웨어, (3) 연안침식 영향평가를 위한 연안 수치모델링 지침서로 구성되었다. 프레임워크의 구성 요소 중, K-CoSMoS 연안침식의 메커니즘 규명과 연안에서의 인위적인 개발행위가 연안시스템에 미치는 영향을 다양한 시·공간적 범위에 대해 평가할 수 있는 수치모델링 패키지이다. 폭풍기인 단기 협역 지형변화 예측을 위해서는 X-Beach 모델, 계절·년 규모의 중기 중역 규모의 지형변화 예측을 위해서는 Delft3D 모델, 수 년 혹은 수십년 단위의 장기 광역에 대한 해안선 변화 예측을 위해서는 Unibest-CL+ 모델을 선택하여 관심있는 해역의 장래 지형변화를 예측할 수 있다. 현재까지는 사빈해안 환경으로 가정할 수 있는 동·남해안의 일반적인 해변에 국한하여 사용할 것이 권장되고 있다(Ministry of Oceans and Fisheries, 2018b). 수치모델을 이용하여 연안역에서 국지적 표사이동을 일으키는 물리적 프로세스의 복잡성 및 가변성을 모의하기 위해, 경험적이고 현장에 의존적인 많은 수의 보정계수들을 포함하는 수식들이 개발되었다(Ruessink et al., 2007; van Duin et al., 2004). K-CosMoS 내의 모델을 사용하여 특정 지역에 대한 장래 지형변화 및 해안선 변화를 예측하기 위해서는, 해당지역의 과거 관측자료를 활용하여 모델 성능에 대한 검증이 선행되어야 한다(Briere et al., 2010). 모델을 이용한 지형변화 모의 시, 계산결과는 모델 내의 물리 프로세스들과 관련된 다양한 매개변수들에 의해 영향을 받으며, 파랑과 흐름 등 수리역학적인 외력 조건에 대한 표사이동량의 비선형적인 반응과 표사이동량 공식의 상대적 불확실성이 오차를 일으키는 주된 원인으로 거론되고 있다(Ministry of Oceans and Fishieries, 2018a). 이에 표사이동량과 관련된 매개변수에 대한 민감도 분석이 요구된다.
K-CoSMoS 중기예측모델인 Delft3D 모델은 수 시간에서 수 년까지의 시간 척도와 수 미터에서 수십 킬로미터까지의 공간 척도에서의 연안 지형변화를 모의하는데 주로 사용된다. 대축척 연안 시스템의 자연 움직임이나 해안구조물이 그 시스템에 미치는 영향을 재현할 수 있다(Ministry of Oceans and Fisheries, 2018a). 지형변화 모의와 관련된 Delft3D의 성능 검토는 국내외적으로 다수의 연구자들에 의해 수행되었다. Kim et al.(2018)은 강원도 안목해변을 대상으로 2015년 2월부터 2016년 9월까지 20개월의 파랑 관측자료와 2015년 8월의 20일간의 수위관측자료를 이용하여, 계절별, 년별 지형변화 패턴과 초기해안선 대비 해안선의 변화 양상을 분석하였다. Yoo et al.(2016)은 2014년 2월에 관측한 14일 간의 파랑자료를 이용하여 부산 해운대해변의 유속장 및 파랑장의 발생 패턴을 모의하였다. Ruggiero et al.(2009)는 미국 워싱턴의 Grays 항 부근의 해변을 대상으로 2001년 4월부터 8월 사이의 관측자료를 이용하여 해빈 단면과 연안역 해저 사구모의에 대해 모델 성능을 평가하였다. 그러나, Yoo et al.(2016)과 Kim et al.(2018)에 의해 국내 연안에 대해 수행된 연구에서는 표사이동과 관련된 매개변수들에 대한 민감도분석을 통한 지형변화모델의 성능을 정량적으로 검토하지 않고, 수위, 파랑장, 유속장 등의 동수역학적 현상에 대해서만 모델성능을 정성적으로 검토하였다는 한계가 있다.
이에 본 연구에서는 Delft3D 내의 표사이동 관련 매개변수 중(Deltares, 2018a; Hasselaar, 2012) 토사이동량과 관련된 매개변수(fBED, fBEDW, fUSW)가 지형변화 모의 결과에 미치는 영향을 검토하고, 이들 중 주요 변수를 파악하였다. 표사이동 관련 매개변수 중에는 대표입경, 침강속도 등도 있지만, 해당 값들은 현장 관측을 통해 도출 가능한 상수라 가정하고, 본 연구에서는 해당 변수에 대해서는 민감도 분석을 수행하지 않았다.
2. 중기예측모델링
2.1 중기예측모델(Delft3D) 개요
Delft3D(Lesser et al., 2004)는 FLOW(Morphology 포함), WAVE 등 다양한 모듈로 구성되어 있어, 연안에서의 흐름, 파랑, 유사이송 및 지형변동을 2차원 혹은 3차원으로 모의할 수 있다. 각 모델은 독립적(Stand-alone)으로 실행될 수도 있고, 결합(coupling)하여 사용할 수도 있다. Delft3D-FLOW 모델은 해수유동모델로 비압축성 유체를 가정한 연속방정식과 3차원 운동량 방정식에서 천수 조건 및 Boussinesq 근사를 적용한 Navier-Stokes 방정식을 지배방정식으로 한다. 바람, 파랑, 조석 등의 외력에 의한 하천, 연안, 해양 지역의 수리역학 및 유사이동 현상의 모의가 가능하다. 본 연구에서는 수심평균한 2차원 모형을 사용하였다.
Delft3D-WAVE 모델은 3세대 스펙트럼 파랑모델인 Simulating WAved Nearshore(SWAN; Booij et al., 1999) 모델을 기반으로 한다. SWAN모델은 파랑작용을 파향 에너지 스펙트럼의 형태로 표현하고, 2차원 수평공간에 대한 파랑스펙트럼의 변화는 에너지 평형 방정식을 지배방정식으로 하여 계산한다. Delft3D-WAVE 모델은 바람으로 인한 파랑의 발생, 흐름과 수심으로 인한 굴절, 바닥마찰, 쇄파, 파랑의 비선형적 상호작용의 효과를 고려하여 심해에서 연안지역까지의 파랑변화를 모의할 수 있다. Delft3D-FLOW 모델과 Delft3D-WAVE 모델의 지배방정식의 수식 표현은 선행연구논문(Booij et al., 1999; Lesser e al., 2004; Kim et al., 2018)에 자세히 기재되어 있으므로, 본 논문에서는 지면 관계상 생략하겠다.
Delft3D-Morphology 모델은 Delft3D-FLOW 모델에 포함된 모듈로, Delft3D-FLOW 및 Delft3D-WAVE 모델이 제공하는 수리역학적 결과를 바탕으로 표사이동량과 그로 인한 지형변화를 모의할 수 있다. FLOW-WAVE 모델을 결합하여 지형변화를 예측하는 절차는 Fig. 1과 같다. Delft3D-Morphology 모델은 12가지의 표사이동량 공식을 제공하고 있으며, 그 중에서도 부유사와 소류사의 영향을 각각 고려할 수 있는 TRANSPOR1993(van Rijn, 1993) 식이 기본식으로 설정되어 있다(Deltares, 2018). 그러나 TRANSPOR1993 식을 적용하여, 맹방해변에 대한 지형변화를 모의한 결과, 연안역에서는 과한 퇴적현상이, 외해역에서는 과한 침식현상이 모의되는 것을 확인하였다(Fig. 2). 이러한 현상은 한국 동해안의 산포해변과 벨기에의 Flemish 해변을 대상으로 한 연구에서도 나타났다(Cho et al., 2019; Trouw et al., 2012). 이에 본 연구에서는 표사이동량 공식으로 TRANSPOR2004(van Rijn et al., 2004) 식을 적용하였다. TRANSPOR2004의 표사이동량 공식은 식(1)과 같다. Sbedload currents과 Sbedload waves는 각각 흐름과 파랑 관련 소류사량(kg/m/s)을 의미하며, η는 혼합층에서의 표사입자의 상대 수, M는 흐름과 파랑에 의한 표사 이동 수로 평균입경과 표사의 상대밀도의 함수로 표현된다. Me는 초과 표사 이동 수로 한계수심과 평균입경의 함수이며, r는 한계수심과 유속으로 표현되는 변수이다. Ssuspended waves는 파랑 관련 부유사량(kg/m/s)을 의미하며, γ는 위상 차 계수(= 0.1), UA 는 속도 대칭 값, LT 부유사 하중의 대략 값으로 평균입경과 한계수심의 함수이다.
Delft3D-Morphology에서 제공하는 van Rijn의 표사이동량 산정 공식(van Rijn et al., 2004; van Rijn, 1993)은 지형 변화 모의 시, 연구대상지별 모델 보정(calibration)을 위해 Multiplication factors(fBED, fBEDW, fUSW)를 포함하고 있으며, 이를 통해 소류사, 부유사에 의한 표사이동량을 특정 비율로 반영할 수 있도록 하였다(식 4; Deltares, 2018a; van Rijn et al., 2004). 상기 변수들은 국내외 해변들을 대상으로 Delft3D의 지형변화 모의 성능을 평가하는 연구에 다수 활용된 바 있으며, 해역별로 그 최적값이 다르게 나타났다 (e.g., Cho et al., 2019; Broekema et al., 2016; Ruggiero et al., 2009).
이에 본 연구에서는 맹방해변을 대상으로 한 지형변화 모의 시, 표사이동량 관련 매개변수인 fBED, fBEDW, fUSW가 모델 성능에 미치는 효과를 파악하기 위해 해당 변수들에 대한 민감도 분석을 수행하였다.
2.2 연구대상지역 및 현장 관측자료
맹방해변은 강원도 삼척시 근덕면에 위치한 개방형 해안으로, 은빛 모래밭이 십리에 걸쳐 펼쳐져 있다고 해서 명사십리 해수욕장으로도 불린다. 백사장의 길이는 약 4.6 km이며, 북쪽에 있는 오십천과 남쪽에 있는 마읍천 사이에 위치하고 있다(Fig. 3(a)). 맹방해변은 해안도로와 방풍림 등에 의한 모래이동의 차단으로 인해 침식이 발생하였으며, 과거 침식모니터링 결과 침식우심지역으로 분류되었다. 기후변화와 연안 개발 등에 따라 심화되고 있는 연안침식 문제에 체계적으로 대응하기 위해, 2015년 해양수산부가 선정한 연안침식관리구역 3개소 중 한 곳이기도 하다.
본 연구에서는 맹방해변 해역에서 2018년 1월 1일부터 2018년 12월 31일까지 1년 간, 1시간 간격으로 관측된 파랑관측자료와 2018년 1월과 10월에 관측한 수심자료를 사용하여 모델링을 수행하였다. Fig. 4는 맹방해변에서 법선방향으로 약 1 km 떨어진 수심 24m 지점(★)에 설치된 AWAC(Acoustic Wave And Current meter) 에서 관측한 유의파고, 첨두파주기 및 파향에 대한 시계열 자료와 파랑 다이어그램 자료이다. 맹방해변 해역의 주파향은 NE계열이며, 3 m 이상의 고파랑은 1월에서 3월 사이에 35회, 10월에 17회 관측되었다. 관측기간 동안 발생한 최대 유의파고는 4.24 m로, 2018년 10월 6일 태풍 콩레이에 의해 발생하였다.
2.3 실험조건
계산영역은 분석의 편의성을 고려하여 하천의 영향을 배제한 맹방해변의 중앙부 2 km의 영역을 대상으로 하였다(Fig. 3(b)). 계산격자는 직사각형 가변격자를 사용하였으며, 격자해상도는 19 m~84 m로, 외해역보다 연안역에서 더 높은 해상도를 갖도록 설정하였다(Fig. 3(c)). 초기 수심자료는 2018년 1월 관측자료를 사용하였다. 모델링은 연안에서의 해수유동의 특성과 파랑의 공간적 변형 특성을 동시에 고려하기 위해, Delft3D-FLOW와 Delft3D-WAVE 모델을 결합하여 수행하였다. 파랑모델링을 위한 경계조건으로는 맹방해변 외해에서 관측한 파랑 시계열 자료를 북동쪽 경계에 입력하고, 파랑스펙트럼은 JONSWAP 타입으로 설정하였다. 지형변동을 포함하는 흐름 모델링을 위한 경계조건으로는 북동쪽은 수위를, 북서쪽과 남동쪽은 Neumann 조건을 적용하였다. 흐름모델과 파랑모델의 커플링 시간은 180분으로 설정하였다.
년 단위 중기규모의 지형변화 모델링을 수행하는데 있어, 표사이동 관련 매개변수의 효과를 검토하기 위해, 총 19가지 실험 시나리오를 구성하였다(Table 1). Case 1~7은 fBED 변수에 대한 효과를, Case 8~13은 fBEDW 변수에 대한 효과를, Case 14~19는 fUSW 변수에 대한 효과를 보기 위한 실험이다. 각각의 변수에 대해 0.0, 0.1, 0.5, 0.8, 1.0, 1.2, 1.5의 값을 적용하여, 모델 내 변수의 기본 설정 값(defalut = 1.0) 보다 작은 값이 적용되었을 때와, 큰 값이 적용되었을 때의 효과를 비교하였다.
Delft3D의 지형변화 모의 성능은 Brier Skill Score(BSS, van Rijn et al., 2003)에 근거하여 정량적으로 평가하였다(Table 2). BSS 식은 식(5)와 같이 정의된다. 여기서, zb, 0은 초기 bed level, zb는 일정 시간 경과 후의 bed level, 인덱스 c와 m은 각각 계산치와 관측치를 의미한다. x1과 xend는 임의의 단면에 대한 첫 번째 격자점과 마지막 격자점을 의미한다. 년간 지형변화는 2018년 10월 관측 수심자료와 2018년 1월 관측한 초기 수심자료의 차를 기준으로 하여 검토하였다.
3. 결과 및 고찰
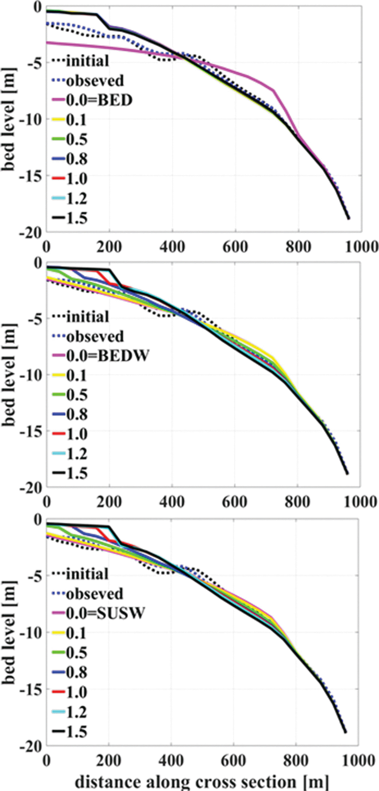
지형변화 모의결과, 모델 성능은 계산영역의 각 단면에 따라 다르게 나타나는 것을 알 수 있었다. 단면 전체 구간에 대해 BSS가 0 이상인 유의미한 값을 갖는 단면은 총 5개 단면으로, Fig. 3(c)에 제시된 계산영역의 북서쪽 경계로부터 12번째, 15번째, 16번째, 17번째, 29번째에 위치하였다. 각 단면별 가장 높은 BSS는 Case 12 실험에서 나타났으며, 그 값(모델성능)은 순서대로 0.41(Reasonable), 0.10(Poor), 0.33(Reasonable), 0.09(Poor), 0.06(Poor)이었다. 본 연구에서는 가장 우수한 모델 성능을 보인 12번 단면에 대한 표사이동 관련 매개변수의 민감도분석 결과를 Fig. 5에 제시하였다.
Fig. 5(a)는 fBED 변수의 적용 값에 따른 지형변화 모의 결과이다. 점선은 해빈단면의 관측치를 나타내며, 검정색이 초기 단면을, 파랑색이 10개월 경과 후의 변화된 단면을 의미한다. 실선은 Delft3D로 모의한 해빈단면을 나타내며, 분홍색은 흐름에 의한 영향을 지형변화 모의에 반영하지 않는 것을 의미하고, 빨강색은 모델 기본 설정값을 적용한 결과로 흐름에 의한 영향을 온전히 고려한 것을 의미한다. 단면 전 길이에 대해 BSS 값을 산정해 본 결과, fBED 적용값의 크기 순으로 -9.55, -3.38, -3.32, -3.42, -3.24, -3.11, -2.98의 값을 갖는 것을 알 수 있었다. 7 케이스의 실험 모두 BSS가 0보다 작아 모델 성능은 BAD 판정을 받았다(Table 3). 이에 Ruggiero et al.(2009)의 분석방법을 참고하여, 단면을 연안역(onshore)과 외해역(offshore) 영역으로 구분하여 각 영역에 대해 모델 성능을 평가하였다. 본 연구에서는 2차 해저 사주(sand bar)가 발달하기 시작하는 해안선으로부터 ~350 m 정도 떨어진 부근까지를 연안역으로, 그 이후 해역을 외해역으로 구분하였다.
흐름에 의한 영향을 반영하는 경우(fBED ≠ 0), fBED 변수 적용값의 크기과 상관없이 외해역의 지형변화를 잘 재현하나, 연안역에서는 과퇴적되는 결과를 보였다. 이는 실제 해역에서는 고파랑 등에 의해 단기간에 해안가에 내습한 표사들이 시간이 경과함에 따라 파랑 이동과 함께 다시 외해역으로 이동하는데, 2D 모델링에서는 이와 같은 실제 현상을 모의하는데 한계가 있기 때문이라고 판단된다. 실험조건별 외해역의 지형변화에 대한 모델 성능(BSSoffshore)은 -0.21, -0.05, 0.03, 0.05, 0.14, 0.18으로, fBED의 적용값이 증가할수록 소폭 상승하는 경향을 보이는 것으로 나타났다. 흐름에 의한 영향을 반영하지 않는 경우(fBED = 0)에는 연안역에서는 침식이, 외해역에서는 과퇴적이 산정되는 결과가 나타났다.
Fig. 5(b)와 Fig. 5(c)는 단면 지형변화 모의에 대한 fBEDW 변수와 fUSW 변수의 민감도분석 결과이다. 각 변수에 0.5보다 큰 값을 적용하였을 때(fBEDW, fUSW ≥ 0.5)는 연안역에서는 과퇴적이 발생하고, 외해역에서의 지형변화는 잘 모의하는 것으로 나타났다. 이에 반해 해당 변수들이 0.5보다 작은 값을 갖는 경우에는(fBEDW, fUSW < 0.5), 연안역과 외해역에 대한 침퇴적 경향은 재현하나, 해저에 발생하는 국부적인 사주의 형성을 재현하지 못하는 것으로 나타났다.
fBEDW 변수와 fUSW 변수 모두 연안역과 외해역 각 영역에 대해 유의미한 모의 성능 값이 산정되었으며, 최적 결과를 보인 실험은 fBEDW 변수의 경우, Case 9(BSSonshore = 0.68)과 Case10(BSSoffshore = 0.23), fUSW 변수의 경우, Case15(BSSonshore = 0.68)과 Case16(BSSoffshore = 0.23)이다. 금번 연구에서 분석한 바와 같이 fBED 변수가 지형변화 모의 결과에 미치는 영향은 미비하고, fBEDW와 fUSW 변수는 연안역과 외해역에 대해 반비례한 모델 성능을 보였다. 이는 Ruggiero et al.(2009)이 미국 해역을 대상으로 수행했던 실험결과와도 일치한다.
Fig. 6는 각각의 표사이동 관련 매개변수에 대해 실험들 중, 모델 성능이 가장 높게 평가된 변수 값들을 조합하여 지형변화를 모의한 결과이다. Fig. 6(a)는 연안역에 대해 높은 모의 성능을 보였던 fBED = 0.1(임의 설정), fBEDW = 0.1, fUSW = 0.1을 적용한 결과이다. 단면 전체, 연안역 구간, 외해역 구간의 BSS 모두 음수의 값이 산정되어, 본 실험의 Case 15에서 얻은 실험의 BSS 보다 낮은 모의 성능을 보였다. Fig. 6(b)는 외해역에 대해 좋은 결과를 보인 fBED = 1.5, fBEDW = 0.5, fUSW = 0.5의 조합으로 모의한 결과이다. 단면전체와 외해역 구간에 대해서는 유의미한 모델성능을 보이지 않았으나, 연안역에 대해서는 Reasonable한 성능(BSS = 0.47)을 보였다. Fig. 6의 결과로부터, 표사이동 관련 매개변수의 민감도 분석을 수행할 때는 개별 변수에 대해 독립적인 민감도 분석을 수행한 후, 이들을 조합하여 최적 변수 값을 도출하는 것이 아닌, 3개 변수를 동시에 고려한 민감도 분석의 수행이 필요할 것으로 사료된다.
4. 결 론
본 연구에서는 한국형 연안지형예측 수치모델체계의 중기 지형변화 예측모델 (Delft3D) 내의 표사이동 관련 매개변수인 fBED, fBEDW, fUSW 변수가 지형변화 모의 시, 모델 성능에 미치는 효과를 파악하기 위해, 해당 변수들에 대한 민감도 분석을 수행하였다. fBED 변수는 모델 내에서 전체 표사이동량을 산정함에 있어, 흐름에 의한 소류사 표사이동량의 반영률을 조절하는 변수이고, fBEDW와 fUSW 변수는 각각 파랑에 의한 소류사와 부유사의 표사이동량의 반영률을 조절하는 변수이다. 맹방해변 해역에서 2018년도에 관측한 1년 간의 파랑자료를 외력으로 적용하고, 동년도 1월과 10월에 관측한 수심자료는 각각 초기 지형자료와 년간 지형변화량 추정자료로 사용하였다. 모델의 지형변화 모의 성능은 계산영역 내의 임의의 한 단면을 연안역과 외해역 구간으로 구분하여 각 영역에 대해 Brier Skill Score(BSS) 지표에 근거하여 정량적으로 평가하였다.
지형변화 모의 결과, 동일한 실험 조건 하에서도 계산영역 내의 각 단면에 따라 모델 성능이 다르게 나타나는 것을 알 수 있었다. 이에 단면 전체 구간에 대해 BSS가 0.41(Reasonable)로 가장 높은 값을 보인 12번 단면에 대해 각 매개변수가 계산결과에 미치는 영향을 검토하였다. fBED 변수의 경우는 흐름에 의한 소류사 표사이동량의 영향을 반영하는 경우(fBED ≠0)와 반영하지 않는 경우(fBED = 0) 사이에 큰 차이가 발생하였다. 전자는 변수 적용값의 크기와 상관없이 외해역의 지형 변화는 Poor 수준으로 모의한 반면, 연안역에서는 과퇴적이 발생하는 것으로 모의되어 유의미한 모델 성능을 확보하지 못했다. 후자는 연안역에서는 과도한 침식을, 외해역에서는 과퇴적이 모의되어 정확도 있는 모델 성능을 얻지 못했다. fBEDW와 fUSW 변수의 경우, 연안역와 외해역에 대해 모델 성능이 반비례하게 나타나는 결과를 보였다. 두 변수 모두 모델 0.5 이하의 값을 적용하였을 때(fBEDW, fUSW < 0.5)는 연안역의 지형변화를 GOOD 수준으로 모의하고, 0.5 이상의 값을 적용하였을 때는 외해역의 지형변화를 Poor와 Reasonable 수준으로 모의하였다. 이에 맹방해변에 대한 Delft3D의 표사이동 관련 매개변수 값으로는 관심이 있는 영역의 위치에 따라, 연안역에서는 fBED = 1.0, fBEDW = 1.0, fUSW = 0.1, 외해역에서는 fBED = 1.0, fBEDW = 1.0, fUSW = 0.5를 적용할 것을 권장한다.
그러나, 본 연구에서 도출한 표사이동 관련 변수들의 최적조합은 2018년 1년 간의 파랑 시계열 자료를 외력조건으로 하여, 계산영역 내의 임의의 한 단면에 대해 가장 좋은 모델성능을 보인 결과에 근거하여 도출한 값이다. 이에 해당 조합이 다른 단면들에 대해서도 동일한 모델 성능을 확보한다고 판단하기에는 어려움이 있다. 추후 단면특성(예. 해저 사구의 위치, 수심, 지형변화량 등)과 BSS 지표로 평가되는 모델성능과의 관련성에 대한 연구를 수행한다면, 계산영역 내의 모든 단면들에 대해 동등한 모델성능을 갖는 표사이동 관련 매개변수의 최적 값을 제안할 수 있을 것으로 사료된다. 이와 더불어 연안역과 외해역의 구분없이 단면 전체 영역에 대한 모델의 지형변화 모의 성능을 개선하기 위해, 모델링 시 적용한 표사이동 산정식과 관련된 경험상수의 적절값을 모색해보는 것도 의미있는 연구주제가 될 것으로 생각된다. 마지막으로 실험조건에 따라 해안선 부근에서 과퇴적이 모의되는 결과와 관련하여서는 계절/년 단위의 파랑 관측자료 활용 시, 시계열 자료가 아닌 시계열 자료로부터 도출한 통계적 파랑조건을 적용해본다면, 개선의 여지가 있을 것으로 사료된다. 상기 내용들을 반영하여 모델 성능과 적용성이 개선된다면, 보다 높은 정확도를 가지고 침식 저감 대책이 가져올 수 있는 영향과 효과를 사전에 평가하여 이를 바탕으로 효과적인 연안침식 저감대책의 수립이 가능해 질 것으로 기대된다.

