2차원저천단구조물(LCS)의 주변에서 불규칙파동장의 변동특성

요약

본 연구는 olaFlow 모델에 의한 혼상류수치해석법을 적용하여 저천단구조물에 의한 불규칙파랑의 변동특성을 수치적으로 검토한다. 목표스펙트럼에 의한 불규칙파형과 측정된 불규칙파형과의 비교 및 이로부터 산정된 두 주파수스펙트럼의 비교로부터 olaFlow의 타당성을 검증하고, 2차원저천단구조물에 의한 불규칙파의 주파수스펙트럼의 변동, 파전달율, Hrms의 공간분포, 평균유속과 평균난류운동에너지의 공간분포 등을 수치적으로 검토한다. 이로부터 LCS 외해측의 전면에서 시계방향의 해빈류와 반시계방향의 순환류셀이 형성되고, 내해측의 정수면 근방에서 항내로 향하는 강한 일방향흐름이 발생되는 등의 중요한 결과를 얻을 수 있었다.

Abstract

This study evaluates the variation characteristics of irregular wave fields for two-dimensional Low-Crested Structure (LCS) by olaFlow model based on the two-phases flow by numerical analysis. The numerical results of olaFlow model are verified by comparing irregular wave profile of target wave spectrum and measured one, and their spectra. In addition, spacial variation of irregular wave spectrum, wave transmission ratio, rootmean square wave height, time-averaged velocity and time-averaged turbulent kinetic energy by two-dimensional LCS are discussed numerically. The time-averaged velocity, one of the most important numerical results is formed counterclockwise circulating cell and clockwise nearshore current on the front of LCS, and strong uni-directional flow directing onshore side around still water level.

1. 서 론

저천단구조물(LCS; Low-Crested Structure)과 잠제(Submerged breakwater)는 연안재해와 해빈침식의 방지라는 거의 동일한 목적으로 천해역에 설치되지만(Lee et al., 2019b), 국내에서는 잠제가 대부분을 차지하는 상황이다. 하지만, 잠제의 과다한 공사비에 대한 비경제성과 해빈침식방지에 대한 비효율성 때문에 유럽을 비롯한 해외에서는 LCS의 천단상에서 급류의 형성에 따른 구조적인 취약성과 안전상의 문제점이 있을 수 있지만 LCS에 대한 연구가 활발히 진행되어 왔다. 대표적으로 EU에서 수행된 DELOS프로젝트(2003)를 들 수 있고, 이외에 van der Meer and Daemen(1994), Seabrook et al.(1998), van der Meer et al.(2000) 및 Goda and Ahrens(2008) 등에 의한 파전달율과 Briganti et al.(2003), van der Meer et al.(2005)Buccino et al.(2009) 등에 의한 파스펙트럼의 변동에 관한 해외의 연구사례를 들 수 있다. 국내에서는 Kim and Lee(2017), Lee et al.(2017a)Lee et al.(2019a, b) 등의 연구가 수행된 바 있다.
이상의 연구들은 대부분 실험에 기반한 연구이며, 경사제와 같은 사석 혹은 이형블록으로 구성된 단순한 단면형상이 적용되었다. 그리고, 실험에서는 파랑제어에 관한 파고전달율이나 구성재료의 안정중량에 집중되었지만 LCS 주변에서 흐름과 난류 등의 변동특성은 거의 규명되어 있지 않은 상황이고, 투과성구조물과 케이슨이 병용되는 본 연구의 복합단면이 적용된 사례는 거의 없다.
한편, 본 연구의 전편에 해당하는 Lee et al.(2019b)은 2차원규칙파동장 하의 수치파동수로 내에 설치된 복합단면의 LCS를 대상으로 LCS에 의한 파고전달율과 LCS 주변에서 특성파고, 평균유속 및 평균난류운동에너지의 공간분포 및 그의 변동특성 등을 olaFlow 모델(Higuera et al., 2108)로부터 수치적으로 평가하였다. 이에 앞서, 2차원파동장에 설치된 투과성구조물에 대한 olaFlow 모델의 적용성을 확인하기 위하여 다공성매질을 통과하는 단파의 수위변화에 대한 수리실험(Liu et al., 1999)과 투과성잠제 주변에서 수위변동에 관한 수리실험(Ranasinghe et al., 2009)으로부터 산정된 각각의 실험결과와 olaFlow 모델(Higuera et al., 2108)에 의한 수치결과를 비교·검토하여 수치해석법의 타당성을 입증하였다.
본 연구에서는 2차원불규칙파동장의 수치파동수로에서 복합단면의 LCS에 대한 불규칙파의 수치해석을 실시하며, 수치해석모델은 선형연구(Lee et al., 2019b)에서와 동일한 olaFlow 모델(Higuera et al., 2108)을 적용하였다. 여기서, 선행연구에서와 동일한 제원의 LCS와 수심을 적용하며, 입사파랑으로는 규칙파의 파고와 주기에 상응하는 유의파고와 유의주기를 갖는 불규칙파랑을 적용하였다. 이로부터 불규칙 파랑의 입사제원 및 천단고의 변화에 따라 LCS 주변에서 Root-mean square 파고인 Hrms와 같은 수면변동특성과 시간평균흐름인 해빈류 및 평균난류운동에너지의 공간분포와 같은 수리변동특성을 면밀히 검토하였다.

2. 수치해석이론

본 연구에서 적용한 olaFlow 모델(Higuera et al., 2018)은 기본적으로 비압축성의 혼상유체에 적용이 가능하며, 다음의 식(1)(2)에 나타내는 연속방정식과 운동량보존방정식을 유한체적법으로 이산화한다.
(1)
uixi=0
(2)
ρuit+xj[1ϕρuiuj]=p*fxi+ϕgjXjρxi+xj[μeffuixj][CT]
여기서, t는 시간, xi는 공간벡터좌표, ρ는 후술하는 액체와 기체상태를 고려한 혼상유체의 밀도로 ρ = ρwaterF + ρair(1 - F)로 산정되며, F는 계산격자 내에서 유체의 점유율을 나타내는 VOF 함수이다. 또한, uiuj는 속도벡터, p*는 Pseudodynamic 압력, Xj는 위치벡터, ϕD50은 해석영역 내에 위치하는 투과성구조물의 공극률과 중앙입경을 각각 나타내며, μeffμ + vturbμ는 점성계수이고, vturb는 난류동점성계수이며, [CT]는 투과성구조물에 의한 저항을 나타내는 항으로 다음의 식(3)(4)로 주어진다.
(3)
[CT]=Aui+B|ui|+Cuit
(4)
{A=α(1ϕ)3ϕ2μD502B=β(1+7.5KC)1ϕϕ2ρD50C=0.34
여기서, αβ는 선형 및 비선형마찰계수이며, 본 연구에서는 Jensen et al.(2014)이 층류흐름, 층류와 난류가 혼합된 흐름 및 난류흐름에 대한 수치실험결과를 바탕으로 제시한 α = 500과 β = 2.0을 각각 적용하였다. 또한, KC는 Keulegan-Carpenter수로 TouM/D50ϕ을 나타내며, To은 진동주기이고, uM은 유체입자의 최대진동속도이다. 또한, C의 값에는 Del Jesus(2011)가 제시한 C = 0.34를 적용하였다.
이상과 같은 olaFlow 모델(Higuera et al., 2018)의 기초방정식으로부터 시간발전에 따른 유속과 압력에 대한 물리량의 계산이 가능하고, 이러한 물리량을 바탕으로 Kissling et al.(2010)이 제안한 VOF 법을 이용하여 자유수면을 추적한다. 또한, olaFlow 모델에서는 여러 종류의 난류모델을 선택·적용할 수 있지만 본 연구에서는 LES 모델(Ghosal et al., 1995)을 적용하여 파동장을 해석하였다. olaFlow모델의 수치해석기법에 대한 보다 자세한 사항은 Lee et al.(2016) 및 olaFlow에 관한 매뉴얼(https://github.com/phicau/olaFlow/tree/master/reference)을 참조하기 바란다.
불규칙파는 선형파이론으로부터 얻어진 각 성분파의 주파수에 순번을 붙인 무한급수의 합으로 고려된다. 수치조파에서는 조파지점에서 수면파형 η, 수평 및 연직유속 uw의 시간변동이 필요하며, 이들은 각각 식(5)~(7)과 같이 주어진다.
(5)
η(t)=m=1Mamcos(2πfmtɛm)
(6)
u(z,t)=m=1M2πfmcoshkm(h+z)sinhkmhamcos(2πfmtɛm)
(7)
w(z,t)=m=1M2πfmsinhkm(h+z)sinhkmhamsin(2πfmtɛm)
여기서, εm은 Random 위상각, fm은 주파수, am은 진폭, km은 파수, M은 성분파의 수, h는 수심이다. 그리고, 연직좌표 z는 정수면에서 연직상방을 (+)로 취하며, 진폭 am은 다음의 식(8)로 정의된다.
(8)
am=2S(f)Δf
여기서, ∆f는 주파수폭, S(f)는 파랑에너지밀도이며, 본 연구에서는 불규칙파의 스펙트럼으로 불규칙파를 모의하는 데에 널리 사용되는 다음 식(9)의 Modified Bretshneider-Mitsuyasu 스펙트럼(Goda, 1988)을 적용하였다.
(9)
S(f)=0.205H1/32T1/3-4f-5exp[-0.75(T1/3f)-4]
여기서, H1/3은 입사유의파고, T1/3은 입사유의주기를 각각 나타낸다. 또한, 주파수 fm의 선택방법에는 주파수스펙트럼을 등구간으로 분할하는 방법과 각각의 성분파의 진폭이 같도록 등에너지로 분할하는 방법 등이 있다. 본 연구에서는 Modified Bretshneider-Mitsuyasu 스펙트럼(Goda, 1988)에 대해 등에너지로 스펙트럼을 분할할 수 있는 Goda(2000)에 의해 제안된 다음의 식(10)을 이용하여 주파수 fm을 선택하였다.
(10)
fm=1.007T1/3{ln[2M/(2m1)]}1/4,m=1,,M

3. 수치해석

3.1 불규칙파의 조파검증

전술한 바와 같이 olaFlow 모델(Higuera et al., 2018)은 비압축성의 혼상유체에 적용이 가능하며, 선행연구로부터 투과성 및 불투과성 영역 주변에서 파동장의 변동특성에 대한 계측결과와 수치해석결과의 비교 및 검토가 충분히 이루어져 이에 대한 타당성은 검증되었다(Lee et al., 2017b; Bae et al., 2018; Lee et al., 2019b). 또한, 불규칙파랑의 조파는 Modified Bretschneider-Mitsuyasu 스펙트럼(Goda, 1988)을 사용한 선행연구(Lee et al., 2019c; Lee et al., 2018)에서 장시간동안 수치조파하였음에도 불구하고 수위상승 등과 같은 특이한 현상이 나타나지 않았고, 목표스펙트럼과 측정스펙트럼 및 불규칙파형이 상당히 잘 일치하였다. 따라서, 수치모델의 타당성 및 불규칙파의 조파성능은 충분히 검증되었기 때문에 본 논문에서는 검증에 대한 반복적인 기술을 생략하는 것으로 한다.

3.2 수치해석 조건

Fig. 1(a)는 본 수치해석에서 LCS에 의한 불규칙파동장의 변동특성을 분석하기 위하여 구성한 수치파동수로 및 LCS의 단면형상을 나타낸다. 그림과 같이 12.5 m, 높이 0.4 m의 수로에서 바닥경계에는 Slip 조건이 적용되었고, 격자는 수평방향으로 ∆x = 0.75 cm, 연직방향으로 ∆z = 0.75 cm의 크기를 갖는 정방격자로 구성되었고, 조파 시 정수면 상에 연직방향으로 5개 이상의 격자가 포함되도록 하였다. 수위는 0.25 m의 일정수심으로 구성되었고, LCS와 경사사빈은 각각 조파판으로부터 4.2807 m와 6.47 m로 이격되었다. 여기서, LCS의 단면형상은 Lee et al.(2019a, b)을 참조하여 도출되었고, 이는 케이슨, TTP 및 사석마운드로 구성된다. 본 LCS의 피복층인 TTP층은 1:1.5의 경사와 0.1967 m의 두께를 가지고, 천단고는 Rc = 3 cm와 Rc = 8 cm로 상정되며, TTP층의 공극률은 ϕ = 0.5, 저항계수는 Madsen and White(1975)의 실험으로부터 산정된 α = 1200과 β = 1.7을 적용한다. 사석마운드부는 1:1.5의 경사와 0.1333 m의 높이를 가지며, 공극률은 ϕ = 0.33, 중앙입경은 D50 = 3 cm이고, 이에 대한 저항계수는 Jensen et al.(2014)의 실험에서 제시한 α = 500과 β = 2.0을 적용한다. 반면, 케이슨은 불투과성으로 고려되었고, 높이는 0.1467 m이다. 경사사빈은 1:20의 경사를 가지며, 공극률은 ϕ = 0.3, 중앙입경은 D50 = 0.2 cm이며, Billstein et al.(1999)의 실험에 의해 얻어지는 저항계수 α = 0와 β = 3.0이 적용되었다. 여기서, X는 정수면에서 정선으로부터 LCS까지의 이격거리를 나타낸다.
Table 1은 본 수치해석에 적용한 불규칙파랑의 제원, LCS의 천단고, 해안선으로부터 LCS의 이격거리 및 불규칙파의 성분파 개수를 각각 나타낸다. 수치계산은 LES의 난류모델(Ghosal et al., 1995)을 적용하였으며, 안정적인 계산을 위해 Courant 상수를 0.1 이하가 되도록 설정하여 수치계산을 수행하였다.

3.3 LCS 주변에서 파랑스펙트럼

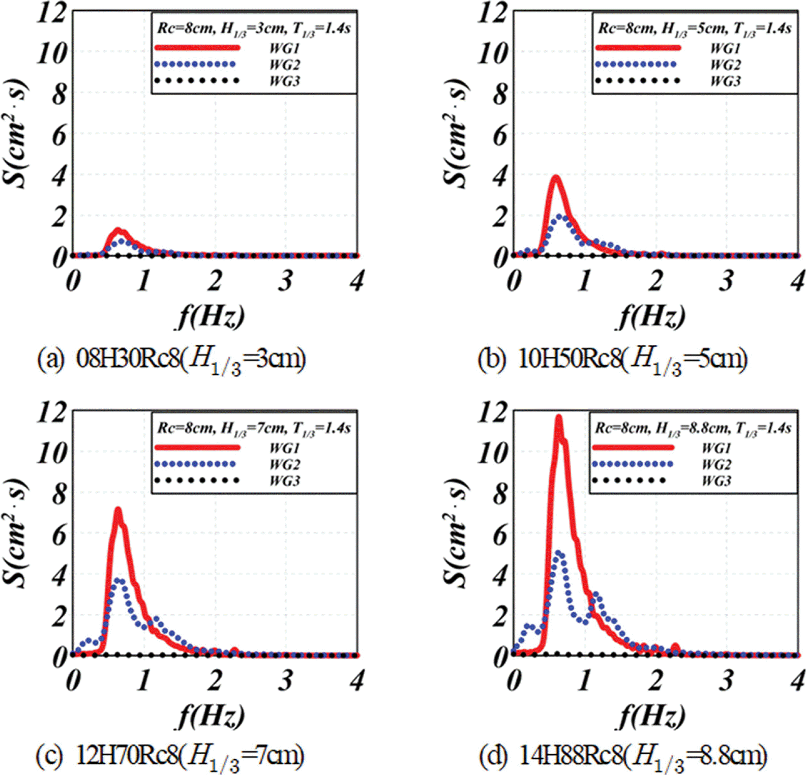
Fig. 2는 동일한 천단고 Rc = 3 cm와 입사유의주기 T1/3 = 1.4 s에 대해 입사유의파고 H1/3의 변화에 따른 조파판 전면(WG1, x = 0.1 m), LCS의 시작점(WG2, x = 4.3 m) 및 LCS의 배후(WG3, x = 6m)에서의 불규칙수위변동으로부터 얻어진 파스펙트럼의 비교를 나타낸다. 그림에서 입사유의파고가 증가함에 따라 WG1과 WG2에서의 파스펙트럼이 증가하는 경향을 나타내지만 LCS의 배후인 WG3에서는 파스펙트럼의 변화가 거의 나타나지 않는 것을 알 수 있다. 여기서, WG1과 WG2에서 파스펙트럼의 차이는 LCS에 의한 부분중복파의 형성에 따른 공간파고에서의 차이에 따른 요인과 WG1에서의 파가 전파되어 WG2의 위치에 도달하기까지의 유체점성 및 난류형성에 따른 파에너지의 감쇠에 따른 요인의 영향때문이다. 이러한 요인은 입사유의파고의 증가에 따라 크게 되며, 결과적으로 WG2에서 파스펙트럼의 감쇠율이 크게 나타난다. 특히, 입사유의파고가 증가함에 따라 첨두주파수를 중심으로 고·저주파수영역으로 파에너지의 전이가 발생되고, 입사유의파고가 가장 큰 Fig. 2(d)의 WG2에서는 삼봉형스펙트럼이 형성되는 것을 볼 수 있다. 한편, WG3에서 파스펙트럼의 변화가 거의 나타나지 않는 것은 LCS의 투과성매질 내에서 배후로 전달되는 파에너지의 대부분이 소산되어 파에너지의 전달이 거의 발생되지 않는다는 것을 나타내며, 이러한 결과는 후술하는 LCS에 의한 파전달율에 직접적인 영향을 미친다. 다음의 Fig. 4에서는 보다 상세한 영역에서 도시한 전달파스펙트럼을 고찰한다.
Fig. 3Fig. 2에서의 조건과 모두 동일하지만 단지 천단고가 Rc = 3 cm에서 Rc = 8 cm로 증가된 경우의 파스펙트럼을 도시한 결과이다. 입사유의파고의 변화에 따른 변동경향은 Fig. 2의 경우와 거의 동일하다는 것을 알 수 있다. 이러한 결과는 천단고 Rc = 3 cm에서 Rc = 8 cm로의 증가가 LCS 전면의 부분중복파동장과 후면으로 전달파에 영향을 미치지 않기 때문이며, 따라서 후술하는 LCS에 의한 반사율과 전달율에서 천단고의 변화에 따른 차이가 미미하다는 것을 추론할 수 있다.
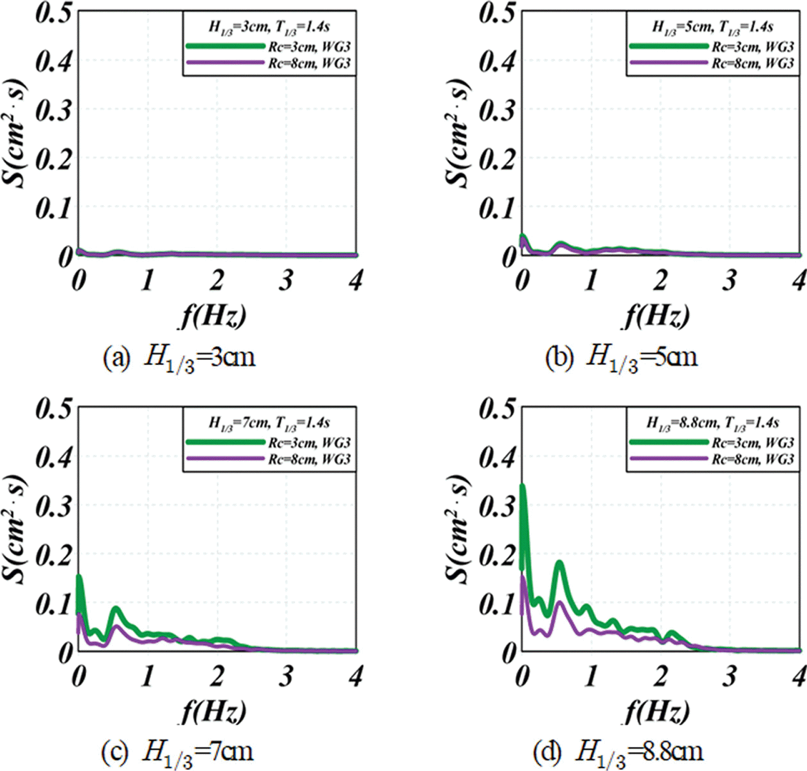
Fig. 4는 천단고 Rc = 3 cm와 Rc = 8 cm인 경우에 Figs. 23에서 제시된 LCS의 배후인 WG3에서 얻어진 두 전달파스펙트럼을 보다 상세한 영역에서 나타낸 결과로, 입사유의파고의 차이에 따른 두 전달파스펙트럼을 비교한 결과이다. Figs. 23에서는 두 전달파스펙트럼에서 차이가 거의 분별되지 않았지만 상세역에서는 입사유의파고가 증가할수록 낮은 천단고인 Rc = 3 cm에서의 전달파스펙트럼이 미미하지만 약간 증가하는 경향을 나타낸다. 이것은 적은 차이이지만 낮은 천단인 Rc = 3 cm의 경우가 Rc = 8 cm보다 약간 큰 파전달율을 나타내는 결과로 이어진다. 그리고, LCS의 전면에서 파스펙트럼 형상과 비교하면 LCS의 후면에서는 매우 다른 형상의 파스펙트럼을 나타내며, 특히 첨두주파수가 상당히 저주파수의 영역에 위치하는 것을 확인할 수 있다. 이러한 결과로부터 입사유의주기를 중심으로 단주기측의 파는 장주기측의 파보다 상대적으로 LCS의 투과성매질 내에서 보다 잘 소산된다는 사실을 간접적으로 시사한다.

3.4 LCS에 의한 파전달율

Fig. 5Table 1에서 제시한 불규칙입사파랑조건을 olaFlow모델(Higuera et al., 2018)에 적용하여 수치적으로 산정된 파전달율과 Kim and Lee(2017)의 수리모형실험에 기초하여 제시된 추정식으로부터 얻어진 파전달율을 각각 비교한 결과이다. 그림에는 Lee et al.(2019b)에서 규칙파동장 하에 산출된 파전달율도 병기한다. 여기서, 파전달율은 Fig. 1(c)에서 도시한 3개의 파고계에 대해 LCS 전면의 2개의 파고계로부터 입사파스펙트럼과 반사파스펙트럼을 Goda and Suzuki(1976)의 2점법으로부터 분리·도출하고, 동시에 LCS 배후면에 설치된 1개의 파고계에서 얻어지는 전달파스펙트럼을 전술의 입사파스펙트럼으로 나누어 전달율을 추정하였다.
그림의 수평축은 LCS의 천단고 Rc를 입사파고 H(규칙파) 혹은 H1/3(불규칙파)로 각각 무차원화한 무차원천단고를 나타내고, 연직축은 LCS에 의한 파전달율 Kt를 나타낸다. 전체적인 경향은 무차원천단고의 변화에 따른 전달율의 변화는 크지 않으며, 무차원천단고가 0.5보다 적은 범위에서는 무차원 천단고가 작을수록 전달율이 약간 상승하는 경향을 나타내지만 0.5보다 큰 범위에서는 무차원천단고의 영향이 거의 나타나지 않는다는 것을 확인할 수 있다. 여기서, 실험결과와 수치결과를 비교·검토하면 무차원천단고가 0.5보다 적은 범위에서는 실험결과가 약간 크고, 반면 0.5보다 큰 범위에서는 실험결과가 약간 작지만 그 차이는 미소하며, 고려된 무차원 천단고의 전체범위에서는 세 결과가 합리적으로 대응하는 것을 알 수 있다. 그리고, 규칙파와 불규칙파에 대한 수치해석 결과를 비교하면 무차원천단고가 0.5보다 큰 범위에서 두 경우 거의 동일한 파전달율을 나타내지만 0.5보다 적은 범위에서는 규칙파의 경우가 미미하지만 약간 큰 값을 나타낸다.

3.5 파의 전파과정

Fig. 6Table 1에서 제시한 케이스 중에 02H40Rc3과과 09H40Rc8의 경우에 최대파가 LCS 근방에 전파되었을 때 불규칙파의 전파과정을 시·공간적으로 나타낸 결과이다. 여기서, 천단고가 상이하지만 입사유의파고가 H1/3 = 4 cm로 상대적으로 적은 값을 가지기 때문에 천단고 Rc = 3 cm와 Rc = 8 cm 모두 월파가 발생되지 않고, 피복층인 TTP을 통해 파의 대부분이 전파되기 때문에 두 경우 모두 유속과 수위변동의 각각에서 유의한 차이를 나타내지 않는 것이 시각적으로 확인된다. 그리고, 두 경우 모두 TTP 층을 통과한 파에너지의 대부분은 케이슨 천단 상에서 빠른 흐름의 속도에너지로 전환되어 LCS의 배후로 전달된다.
Fig. 7Table 1에서 가장 큰 입사유의파고 H1/3 = 8.8 cm가 내습한 경우 상이한 천단고를 가진 07H88Rc3과 14H88Rc8에서 최대파의 전파과정을 시·공간적으로 나타낸 결과이다. 그림으로부터 상대적으로 천단이 낮은 Rc = 3 cm의 경우는 불규칙입사파가 피복층인 TTP 층을 약간 월파하는 반면, 천단이 상대적으로 높은 Rc = 8 cm의 경우는 상대적으로 적은 월파가 발생된다. 이러한 연유로 LCS의 전면과 주변에서 수위 변동 및 유속변화가 상이하게 나타나고, 특히 천단이 낮은 Rc = 3 cm의 경우는 케이슨의 천단 상에서 매우 빠른 흐름이 나타나며, 케이슨 배후로 바로 전달되어 LCS의 배후전달파에 직접적인 영향을 미친다. 한편, 천단이 높은 Rc = 8 cm의 경우 파가 피복층인 TTP 층을 상대적으로 적게 월파하기 때문에 파에너지는 TTP 층 내에서 크게 소산되고, 따라서 케이슨 천단 상에서 흐름으로의 전환이 상대적으로 적고, LCS의 배후전달파에도 적은 영향을 미친다.

3.6 LCS 주변에서 Hrms 파고의 공간분포

전술한 불규칙파랑의 전파과정에서 발생하는 LCS에 의한 파에너지의 소산 등으로 천단고 및 입사유의파고의 차이에 의한 Root-mean square 파고 Hrms의 크기는 다소 차이를 가질 것으로 판단되며, Fig. 8은 이러한 결과를 도시한 것이다. 이때, 그림의 수평축은 조파판으로부터 이격된 거리를 나타내고, 수직축은 Hrms를 나타내며, 수치해석결과는 정상상태에 도달한 210s 동안의 불규칙파를 대상으로 하였다. 그림에는 두 천단고 Rc = 3 cm와 Rc = 8 cm에 대한 결과를 비교한다. 전반적으로, 입사유의파고가 적은 H1/3  5 cm의 경우 천단고의 차이에 따른 Hrms의 공간변동에서 차이는 거의 나타나지 않는 반면, H1/3 > 5 cm의 경우는 LCS의 전면 및 배후면에서 미미하지만 Hrms에서 약간 차이가 나타나며, 배후면에서 천단고가 높은 Rc = 8 cm의 경우가 전체적으로 약간 적은 값을 나타내는 것을 그림을 통해 알 수 있다. 이는 천단고가 높은 경우가 월파를 상대적으로 적게 허용하고, 따라서 TTP 층 내에서 마찰에 의한 파에너지의 소산이 상대적으로 크게 발생하기 때문이다. 여기서, LCS의 전면에서는 규칙파의 경우(Lee et al., 2019b)보다 부분중복파동장이 상대적으로 작게 형성되는 경향을 나타낸다.
한편, 입사유의파고가 증가할수록 Rc = 8 cm의 경우는 Rc = 3 cm보다 LCS의 케이슨 바로 전면에서 Hrms가 국부적으로 급격히 증가되는 현상을 볼 수 있다. 이러한 결과는 불투과케이슨에 의한 큰 반사파(적은 월파)에 의한 현상으로, 이러한 큰 반사파는 파진행방향의 반대방향으로 전파하면서 피복층 내에서 대부분 소산되고, LCS 전면의 부분중복파동장에는 거의 영향을 미치지 않는 것으로 판단된다.
규칙파(Lee et al., 2019b)의 경우와 비교하면 불규칙파의 경우가 LCS의 전면에서 적은 반사율로 인하여 부분중복파동장이 상대적으로 작게 형성되지만 케이슨의 배후측에서 상대적으로 낮은 파고의 형성 및 TTP 층 내부를 통한 파에너지 소산에 관한 양상 등은 전체적으로 유사하게 나타났다.
다음의 Fig. 9Fig. 8의 결과를 천단고 Rc = 3 cm와 Rc = 8 cm에 대해 무차원특성파고 Hrms/H1/3의 공간분포를 일괄하여 나타낸 것이다. 그림에서 수평축은 조파경계위치로부터 거리 D를 입사유의주기에 해당하는 입사유의파장 L1/3로 나눈 무차원거리를 나타내고, 연직축은 무차원특성파고 Hrms/H1/3를 나타낸다. Fig. 9(a)는 천단고가 Rc = 3 cm인 경우에, Fig. 9(b)Rc = 8 cm인 경우에 각각 해당한다. 그림으로부터 LCS 전면의 부분중복파동에서 입사유의파고에 따른 무차원특성파고 Hrms/H1/3의 공간분포는 케이슨 바로 전면에서 케이슨에 의한 반사 때문에 큰 변동치를 나타내지만 LCS에서 이격될수록 변동치가 줄어드는 경향을 나타낸다. 그리고, LCS의 배후면에서 무차원특성파고 Hrms/H1/3의 공간분포는 두 경우 모두 일정치를 나타내지만 입사유의파고에 따른 차이는 천단고가 높은 Rc = 8 cm의 경우가 다소 적은 변동을 나타낸다. 이러한 결과는 Rc = 8 cm의 경우 대부분 월파가 발생되지 않기 때문에 대부분의 파에너지가 피복층 내에서 소산되기 때문인 것으로 판단된다.

3.7 평균유속(해빈류)의 공간분포

Fig. 10Table 1에 나타낸 전체케이스에 대해 LCS 주변에서 유속을 시간평균한 평균유속의 공간분포를 나타낸 결과이다. 시간평균은 파랑이 충분히 발달한 210 s 동안의 파를 대상으로 하였다. 그림을 살펴보면 전반적으로 LCS의 외해측에서는 시계방향의 해빈류와 전면비탈면 앞에 반시계방향의 순환류셀이 현저히 형성되는 것과 내해측의 정수면 부근에서는 항내측으로 향하는 일방향흐름이 강하게 발생하는 것을 확인할 수 있다. 이로부터 LCS의 전면에서는 세굴이 야기될 가능성이 있는 것으로 판단된다. 여기서, 천단고의 높이에 관계없이 입사유의파고가 커질수록 외해측에서 순환류셀의 강도 및 흐름속도가 커지다가 순환류셀은 해빈류로 전환되고, 더불어 내해측의 정수면 부근에서 발생하는 일방향흐름은 강해지는 것을 확인할 수 있다(각 그림에서 범례의 크기가 상이한 것에 유의바란다).
또한, 월파를 상대적으로 적게 허용하는 낮은 입사유의파고의 조건에서 천단고의 변화는 외해측의 순환류셀 및 내해측의 일방향흐름에서 차이를 거의 발생시키지 않지만 낮은 천단고에서 상대적으로 월파를 많이 허용하는 높은 입사유의파고의 조건에서는 상대적으로 월파를 적게 허용하는 높은 천단고의 경우가 외해측의 순환류셀에서 보다 강한 강도를 나타내고, 동시에 내해측에서 적은 강도의 일방향흐름을 나타낸다. 이상의 경향은 규칙파(Lee et al., 2019b)에서도 동일하게 관찰되는 현상이지만 규칙파에서는 높은 천단의 경우 외해측에서 형성되는 순환셀의 강도가 불규칙파의 경우보다 강하게 형성되는 것을 알 수 있다.

3.8 평균난류운동에너지의 공간분포

Fig. 11은 난류운동에너지를 시간평균한 평균난류운동에너지의 공간분포를 나타낸 것이다. 시간평균은 파랑이 충분히 발달한 210 s 동안의 파를 대상으로 하였다. 그림으로부터 평균난류운동에너지는 정수면 부근, LCS의 전·후 및 TTP 층의 외해측에서 큰 값이 확인되고, LCS로부터 멀어질수록 적은 값을 갖는 것을 알 수 있다(각 그림에서 범례의 크기가 상이한 것에 유의바란다). 또한, 파고가 커질수록 평균난류운동에너지의 크기가 커지고, 동시에 분포범위가 확대되는 것을 알 수 있고, 외해측보다 내해측에서 더 큰 값을 갖는 것을 알 수 있다. 여기서, 정수면 부근에 집중되는 난류성분은 정수면 근방에서 큰 수면변동과 유속 및 이에 따른 LCS와의 상호작용에 기인하는 것으로 판단된다. 그리고 천단고에 따른 차이를 비교하면 입사유의파고가 증가할수록 Rc = 3 cm의 경우에 대한 평균난류운동에너지의 크기가 상대적으로 더 큰 값을 갖는 것을 알 수 있다. 여기서, 낮은 천단고 Rc = 3 cm의 경우가 상대적으로 월류를 많이 허용하기 때문에 월류수가 케이슨의 천단상에서 강한 수평흐름으로 전환되고, 이 흐름이 배후수면에 그대로 돌입됨에 따라 배후수면이 크게 교란되기 때문인 것으로 판단된다.
여기서, 규칙파(Lee et al., 2019b)의 경우와 비교하면 LCS의 정수면 근방에 큰 난류성분이 집중되고, LCS의 전면보다 배후면에 큰 경향을 나타내며, 천단고가 낮은 Rc = 3 cm의 경우가 높은 Rc = 8 cm보다 큰 값을 나타내는 것은 동일하지만 불규칙파의 경우는 규칙파보다 평균난류에너지의 분포가 정수면 근방의 연직방향으로 보다 좁은 영역 내에 분포하며, 따라서 불규칙파는 정수면 근방에 평균난류에너지가 보다 집중되는 것이 특징이다.

5. 결 론

본 연구는 olaFlow 모델(Higuera et al., 2018)에 Modified Bretschneider-Mitsuyasu 스펙트럼(Goda 1988)을 적용하여 LCS가 설치된 2차원수치파동수로에서 위치에 따른 주파수스펙트럼의 변동특성, 파고전달율, Hrms의 공간분포, LCS 주변에서 흐름(해빈류) 및 난류운동에너지의 공간분포 등을 입사유의파고와 천단고의 변화에 따라 면밀히 검토·분석하였다. 이로부터 도출된 중요한 결과를 다음에 요약·기술한다.
(1) 입사유의파고가 증가함에 따라 LCS 근방(WG2의 경우)의 파스펙트럼에서는 첨두주파수를 중심으로 고·저주파수영역으로 파에너지의 전이가 발생되고, 경우에 따라 삼봉형스펙트럼이 형성된다. LCS의 배후면에서 파스펙트럼은 파전달이 거의 없기 때문에 매우 적은 값을 나타내지만 첨두주파수가 상당히 저주파수측으로 이동된다.
(2) 파고전달율은 전체적으로 무차원천단고가 0.5보다 적은 영역에서는 무차원천단고가 적을수록 약간 증가하는 경향을 나타내지만 0.5보다 큰 영역에서는 거의 일정치를 나타낸다.
(3) Hrms는 천단고의 변화에 따른 차이는 적고, 배후면에서는 천단고가 높은 경우가 약간 적은 값을 나타낸다.
(4) 평균유속(해빈류)은 LCS의 외해측 전면에 시계방향의 해빈류와 반시계방향의 순환류셀이 형성되고, 내해측에서는 항내로 향하는 일방향흐름이 강하게 나타난다. 외해측에서 시계방향의 해빈류는 천단고가 높을수록, 내해측의 정수면 근방에서 일방향흐름은 천단고가 낮을수록 강해진다.
(5) 평균난류운동에너지는 정수면 상의 LCS 부근에서 큰 값을 가지며, LCS로부터 멀어질수록 감소한다. 또한, 파고가 커질수록 커지고, 동시에 분포범위가 확대되며, 외해측보다 내해측에서 더 큰 값을 갖는다.
본 연구결과는 케이슨이 상치된 복합단면의 LCS 주변에서 파동장의 변동특성을 규명하기 위하여 불규칙파해석을 수행하였다. 결과에 따르면 잠제에 비해 파랑제어능이 탁월하고, 구조물의 전체적인 폭을 줄일 수 있기 때문에 경제적이지만 사빈의 유지 및 개선이라는 원래의 목적을 달성하기 위해서는 다양한 입사파랑조건과 LCS의 평면배치조건에 대한 3차원적인 접근을 통하여 해빈류의 평면적인 변동특성을 면밀히 검토할 필요가 있을 것으로 판단된다.

Fig. 1.
Definition sketch of 2d-numerical wave flume and LCS, and measuring points of water level fluctuation.
jkscoe-31-6-356f1.tif
Fig. 2.
Comparison of spectra obtained at WG1, WG2 and WG3 for various significant incident wave heights in case of Rc = 3 cm and T1/3 = 1.4 s.
jkscoe-31-6-356f2.tif
Fig. 3.
Comparison of spectra obtained at WG1, WG2 and WG3 for various significant incident wave heights in case of Rc =8 cm and T1/3 = 1.4 s.
jkscoe-31-6-356f3.tif
Fig. 4.
Comparison of spectra obtained at x = 6.0 m (WG3) for T1/3 =1.4 s.
jkscoe-31-6-356f4.tif
Fig. 5.
Comparison of the transmission coefficients.
jkscoe-31-6-356f5.tif
Fig. 6.
Snapshots of water velocity and water level around LCS for H1/3 = 4 cm.
jkscoe-31-6-356f6.tif
Fig. 7.
Snapshots of water velocity and water level around LCS for H1/3 = 8.8 cm.
jkscoe-31-6-356f7.tif
Fig. 8.
Spatial distribution of simulated Hrms for different Rc.
jkscoe-31-6-356f8.tif
Fig. 9.
Spatial distribution of simulated wave heights for different Hi.
jkscoe-31-6-356f9.tif
Fig. 10.
Spatial distribution of time-averaged velocities around LCS.
jkscoe-31-6-356f10.tif
Fig. 11.
Spatial distribution of time-averaged turbulent kinetic energy around LCS.
jkscoe-31-6-356f11.tif
Table 1.
Condition of incident irregular waves and layout of LCS
CASE No. Crest freeboard from still water level Rc (cm) Incident wave spectrum Significant incident wave height H1/3 (cm) Significant incident wave period T1/3 (s) Distance between shoreline and LCS X (m) Number of waves
01H30Rc3 3 Modified Bretshneider-Mitsuyasu 3 1.4 6.5 150
02H40Rc3 4
03H50Rc3 5
04H60Rc3 6
05H70Rc3 7
06H80Rc3 8
07H88Rc3 8.8
08H30Rc8 8 3
09H40Rc8 4
10H50Rc8 5
11H60Rc8 6
12H70Rc8 7
13H80Rc8 8
14H88Rc8 8.8

References

Bae, JH, Lee, KH, Jung, UJ, Kim, DS (2018). Numerical simulation of interaction between composite breakwater and seabed under regular wave action by olaFlow model, Journal of Korean Society of Coastal and Ocean Engineers, 30(6):270-285 (in Korean)..
crossref
Billstein, M, Svensson, U, Johansson, N (1999). Development and validation of a numerical model of flow through embankment dams-comparisons with experimental data and analytical solutions, Transport in Porous Media, 35(3):395-406.
crossref
Briganti, R, van der Meer, JW, Buccino, M, Calabrese, M (2003). Wave transmission behind low-crested structures, Coastal Structures, ASCE, 580-592.
crossref
Buccino, M, Vicinanza, D, Caceres, I, Calabrese, M (2009). 3D wave field behind impermeable low crested structures, Journal of Coastal Research, 56, 477-481.

Ghosal, S, Lund, T, Moin, P, Akselvoll, K (1995). A dynamic localization model for large-eddy simulation of turbulent flows, J. Fluid Mechanics, 286, 229-255.
crossref
Goda, Y (1988). Statistical variability of sea state parameters as a function of a wave spectrum, Coastal Engineering in Japan, JSCE, 31(1):39-52.
crossref
Goda, Y, Ahrens, JP (2009). New formulation of wave transmission over and through low-crested structures, ICCE, ASCE, 3530-3541.
crossref
Goda, Y, Suzuki, Y (1976). Estimation of incident and reflected waves in random wave experiments, ICCE, ASCE, 828-845.
crossref
Higuera, P, Liu, PLF, Lin, C, Wong, WY, Kao, MJ (2018). Laboratory-scale swash flows generated by a non-breaking solitary wave on a steep slope, Journal of Fluid Mechanics, 847, 186-227.
crossref
Jensen, B, Jacobsen, NG, Christensen, ED (2014). Investigations on the porous media equations and resistance coefficients for coastal structures, Coastal Engineering, 84, 56-72.
crossref
Kim, YT, Lee, JI (2017). Hydraulic experiments on wave transmission coefficients for rubble mound structure armored with tetrapods, Journal of Korean Society of Coastal and Ocean Engineers, 29(4):198-205 (in Korean)..
crossref
Kissling, K, Springer, J, Jasak, H, Schutz, S, Urban, K, Piesche, M (2010). A coupled pressure based solution algorithm based on the volume-of-fluid approach for two or more immiscible fluids, European Conference on Computational Fluid Dynamics, ECCOMAS CFD.

Lee, DS, Lee, KJ, Yoon, JS, Oh, SH (2017a). Prediction of mean water level rise behind low-crested structures and outflow velocity from openings by using a hybrid method based on two dimensional model test and hydrodynamic numerical modeling, Journal of Korean Society of Coastal and Ocean Engineers, 29(6):410-418 (in Korean)..
crossref
Lee, JH, Bae, JH, An, SW, Lee, KH, Kim, DS (2019a). Variation characteristics of wave field around three-dimensional low-crested structure, Journal of Korean Society of Coastal and Ocean Engineers, 31(3):180-198 (in Korean)..
crossref
Lee, JH, Jung, UJ, Bae, JH, Lee, KH, Kim, DS (2019b). Variation characteristics of wave field around 2-dimensional low-crested structure, Journal of Korean Society of Coastal and Ocean Engineers, 31(5):294-304 (in Korean)..
crossref
Lee, KH, Bae, JH, An, SW, Kim, DS, Bae, KS (2016). Numerical analysis on wave characteristics around submerged breakwater in wave and current coexisting field by OLAFOAM, Journal of Korean Society of Coastal and Ocean Engineers, 28(6):332-349 (in Korean)..
crossref
Lee, KH, Bae, JH, Jung, UJ, Choi, GH, Kim, DS (2019c). Numerical simulation of nonlinear interaction between composite breakwater and seabed under irregular wave action by olaFlow model, Journal of Korean Society of Coastal and Ocean Engineers, 31(3):129-145 (in Korean)..
crossref
Lee, KH, Bae, JH, Kim, SG, Kim, DS (2017b). Three-dimensional simulation of wave reflection and pressure acting on circular perforated caisson breakwater by OLAFOAM, Journal of Korean Society of Coastal and Ocean Engineers, 29(6):286-304 (in Korean)..
crossref
Lee, KH, Lee, JH, Jeong, IH, Kim, DS (2018). 3-Dimensional numerical analysis of air flow inside OWC type WEC equipped with channel of seawater exchange and wave characteristics around its structure (in case of irregular waves), Journal of Korean Society of Coastal and Ocean Engineers, 30(6):253-262 (in Korean)..
crossref
Liu, PLF, Lin, P, Chang, KA, Sakakiyama, T (1999). Numerical modeling of wave interaction with porous structures, Journal of Waterway, Port, Coastal, and Ocean Engineering, ASCE, 125(6):322-330.
crossref
Madsen, OS, White, SM (1975). Reflection and transmission characteristics of porous rubble mound breakwaters, Tech. Rept. No. 207, Parsons Lab, Dept of Civil Eng., MIT.

Ranasinghe, RS, Sato, S, Tajima, Y (2009). Modeling of waves and currents around porous submerged breakwaters, Coastal Dynamics, 12.
crossref
Seabrook, SR, Hall, KR (1998). Wave transmission at submerged rubble mound breakwaters, Coastal Engineering, 26, 2000-2013.

van der Meer, JW, Daemen, IFR (1994). Stability and wave transmission at low crested rubble mound structures, Journal of Waterway, Port, Coastal and Ocean Engineering, ASCE, 120(1):1-19.
crossref
van der Meer, JW, Briganti, R, Zanuttigh, B, Wang, B (2005). Wave transmission and reflection at low-crested structures: design formulae, oblique wave attack and spectral change, Coastal Engineering, 52, 915-929.
crossref
van der Meer, JW, Regeling, HJ, De Waal, JP (2000). Wave transmission: spectral changes and its effects on run up and overtopping, ICCE, ASCE, 2156-2168.