1. 서 론
전 세계적으로 친환경 신재생 에너지 관련 연구는 기후변화에 따라 빠른 속도로 증가하고 있다. 삼면이 바다로 둘러싸인 한국의 해안은 서로 다른 특성을 가지고 있어 과거로부터 파력과 조력에 대한 다양한 연구를 수행하고 있다. 한국 서해안의 중부지역은 높은 조차로 수력댐과 같은 방식의 tidal barrage 방식이 유리하며, 서남부지역은 빠른 유속으로 진도 울돌목과 같은 tidal stream 방식에 적합하다. 특히 서해안의 중부지역은 인구 2천만 명이 밀집하여 최종 전력 사용 지역이 인접한 최적의 조력 발전 대상지역이다.
세계 최대 용량의 시화조력발전소는 2011년도에 완공되어 현재까지 성공적으로 상업운전을 해오고 있지만, 강 하구를 거대한 댐 형태의 구조물로 막은 tidal barrage 방식으로 건설되어 해수순환 문제를 비롯한 여러 가지 환경문제를 가지고 있다(Kim and Koo, 2016; Jeong et al., 2017). 이후 환경론자들의 반대로 추가 조력발전소 설치 사업이 불가능해짐에 따라, 환경문제를 저감한 새로운 방식의 조력 발전 연구가 필요하게되었다.
이러한 환경문제를 해결하기 위해 본 연구에서는 Dynamic Tidal Power(이하 DTP)를 서해안에 적용하는 연구를 수행하였다. DTP는 1996년 네덜란드의 학자로부터 처음 제안되었으며, Buckwald(1971)와 Mei(2012)의 연구에 의해 조석의 회절 가능성이 이론적으로 확인되었다. Hulsbergen et al.(2008)은 세계적으로 조차가 크고 수심이 낮아 구조물 설치에 유리한 한국의 서해안에서 DTP를 사용한 시뮬레이션을 수행하여 기초적인 실용 가능성을 확인하였다. DTP는 조석의 회절효과에 의해 DTP 구조물의 전면과 후면에서 발생하는 해수면의 높이 차이를 이용하여 발전하는 방식이다 (Fig. 1). 조석의 회절효과에 의해 구조물의 전면과 후면에 위상차가 발생하며, DTP 구조물 전면이 고조인 경우 후면은 저조인 상태가 되도록 유도된다. 즉 회절효과가 없다면 전면과 후면의 고조 시각이 동일하겠지만, DTP에 의한 회절로 후면에서는 Fig. 1과 같이 고조 위치가 이동하게 된다. 회절의 결과로 도표에서 보이는 것과 같이 거의 모든 시간에서 전후면의 조위는 서로 다른 높이를 갖게되며, 이때 전면과 후면의 수위차를 이용하여 발전을 수행하게 된다. DTP의 길이가 회절효과를 고려하여 적절히 결정된 경우, 전면과 후면의 수면 높이차는 극대화되어 이론적으로 그 지역의 최대 조위차와 같게 된다.
본 연구에서는 가상의 DTP 구조물을 설치한 후, 이에 의한 조위차의 변화를 분석하여 DTP의 발전 성능을 향상 시키는 것을 목적으로 한다. DTP의 발전 성능을 높이기 위해서는 Park(2017, 2018)의 연구와 같이 DTP의 길이를 증가시키거나 DTP의 끝부분에 구조물을 추가하여 회절 효과를 증가시키는 방법이 있다. 하지만 Park (2017, 2018)의 연구결과에서는 회절효과의 증감이 거의 없어 구조물 끝부분의 변화만으로는 원하는 발전량의 증가를 얻을 수 없을 것으로 판단된다. 발전량을 증가할 수 있는 다른 방법으로는 다수의 DTP를 설치하는 방법이 있다. 이를 위해 Fig. 4와 같이 다수의 DTP를 설치한 후 조위와 조위차의 변화를 서로 비교하였다. 다수의 DTP에 의한 환경 영향을 검토하기 위해 해수의 흐름 변화도 같이 연구를 수행하였다.
2. 연구 방법
2.1 연구 대상 지역
DTP의 연구를 위한 대상지역으로는 Fig. 2와 같이 한국의 서해안을 선정하였다. DTP는 조위차가 작은 지역에서도 회절 효과에 의해 발생하는 구조물의 전후 수위차를 이용하여 충분히 발전이 가능하지만, 연구 단계에서는 효과를 좀 더 명확하게 하고 거대한 구조물이 설치되는 것을 고려하여 수심이 낮고, 조위차가 큰 지역을 선정하였다. 인천 지역의 최대조위차는 9.5 m로 DTP에 의한 조위차의 변화가 뚜렷하게 나타날 수 있는 지역이며, 거의 동일한 해양 조건에서 다수의 DTP를 설치할 수 있어 연구 대상 지역으로 선택되었다. 가상의 DTP가 설치된 위치의 수심은 육상과 가까운 부분은 20 m 미만이며, 바다 방향 끝부분의 수심은 30~40 m이다.
2.2 수치해석
DTP 연구는 조석의 파장과 주기가 매우 긴 이유로 수리모형 실험이나 현장관측이 어려워, 수치해석을 통해서만 연구되고 있다. 수치해석 모델로는 ADCIRC를 사용하였다. ADCIRC는 20여 년 전에 US Army Corps of Engineers의 주도로 개발되어 이후 여러 대학에서 발전되어 왔으며, 최근에는 조석과 폭풍해일 연구에 대표적인 모델로 사용되고 있다. DTP 연구를 위해 Fig. 3과 같이 FEM 격자를 형성하여 시뮬레이션을 실시하였다. 시뮬레이션에 사용된 격자는 94082 요소와 49182 노드로 구성되었다(Fig. 3).
본 연구에 사용된 DTP의 길이는 동일한 조건에서 수행하기 위해 모두 50 km로 결정하였다. 이 경우 Park(2017)의 연구 결과에 의하면 위상 차이에 의한 시간 간격은 3.75시간이다. 서해안의 조석은 semi-diurnal 형태이므로 최대 위상차는 약 6시간 13분이며, 이를 위해서는 100 km 이상의 길이를 가진 DTP가 사용되어야 한다. 하지만 서해안으로 부터 중국 해안까지의 최단 거리가 약 200 km인 것을 고려할 때, 실제 적용 가능한 최대 길이를 50 km 판단하였다.
두 개의 DTP를 설치한 경우 DTP 사이의 간격은 20 km이며, 세 개의 DTP가 설치된 경우 두 개의 DTP 중간에 새로운 DTP를 추가하여 서로 간의 간격은 10 km이다. 시뮬레이션에는 8개의 조석 분조(K1, K2, M2, N2, O1, P1, Q1, S2)가 사용되었고, 최대한 실제 해역과 같은 조건으로 수행하였다. 시뮬레이션은 한 달 동안의 조위 변화에 대해 수행하였으며, 해수 순환을 검토하기 위해 DTP 주변에 여러 개의 추적자를 설치하여 해수의 흐름도 함께 검토하였다. DTP에 의한 조위 변화를 분석하기 위해 두 개의 DTP의 경우 DTP 구조물의 전면과 후면에 16개의 관측소를 설치하였으며, 세 개의 DTP의 경우 24개의 관측소를 설치하여 조위차의 변화를 분석하였다(Fig. 4).
3. 결 과
3.1 2개 DTP 적용
한 달 동안의 시뮬레이션 결과 중 조위차가 좀 더 명확한 대조 기간을 중심으로 Fig. 4의 관측소에서 얻어진 결과를 비교하였다. 우선 2개의 DTP가 사용된 시뮬레이션 결과에서 가장 해안 쪽에 위치한 4, 8, 12, 16번 관측소의 조위 변화를 분석하면, 시간이 지나더라도 조위고와 위상차가 일정하게 유지되는 것을 볼 수 있다(Fig. 5).
DTP 구조물 전면과 후면의 조위 차이를 비교하면, 위상차가 작은 DTP 끝에는 조위차도 작으나 해안 쪽에 가까운 관측소에서는 회절 효과에 의한 조위차도 점차 증가하는 것을 확인할 수 있다(Fig. 6). 이러한 현상은 모든 DTP에서 동일하게 발생하며, 다만 남쪽에 위치한 DTP에서는 최대 3 m 이상의 조위차가 발생하는 것에 비해 북쪽에 위치한 DTP에서는 크기가 감소하여 최대 2 m 정도의 조위차가 발생하게 된다(Fig. 7). 같은 기간의 조위가 3 m 정도인 것을 고려하면 두 곳의 DTP 모두에서 2 m 이상의 조위차를 발생할 수 있어, 본 연구 목적인 조력 발전량 증가에 부합하는 것을 알 수 있다.
3.2 3개 DTP 적용
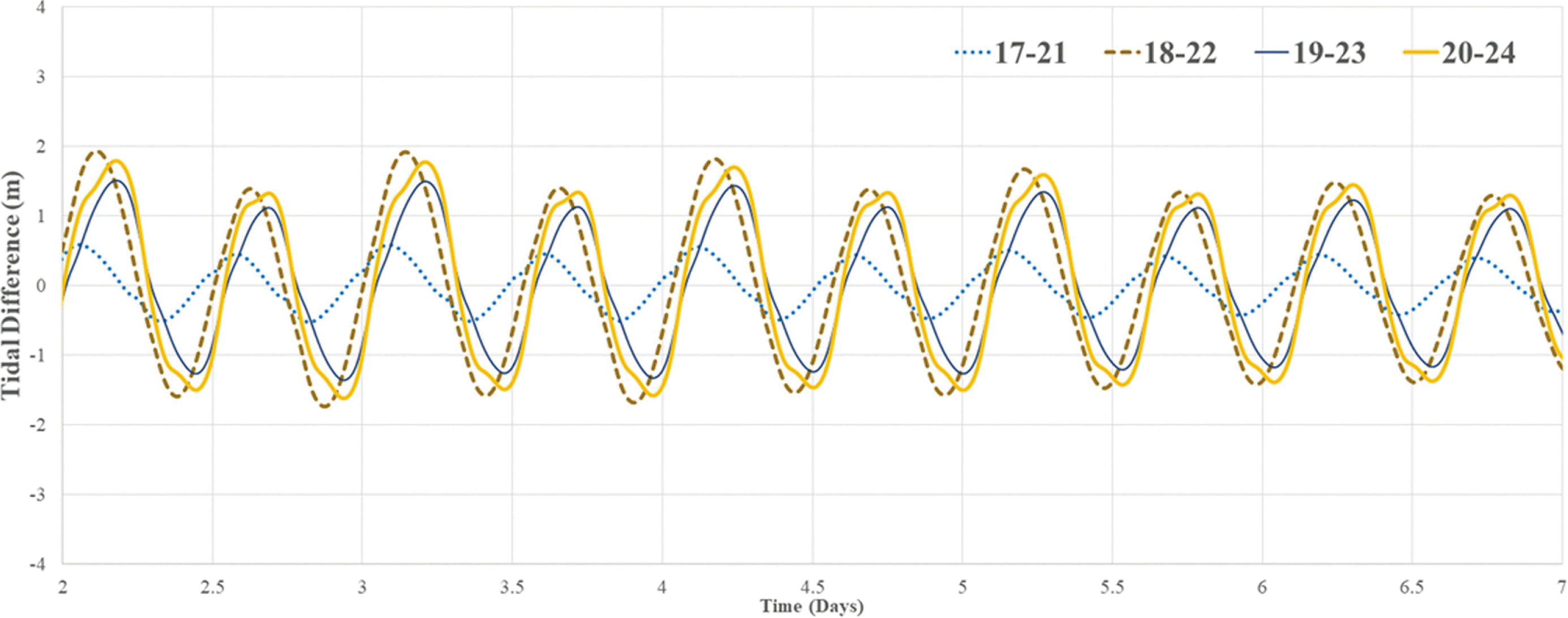
세 개의 DTP가 사용된 경우 4, 8, 12, 16, 20, 24번 관측소에서 나온 조석 결과를 비교하면 높이뿐만 아니라 위상도 거의 동일하게 유지되며, 중간에 설치된 DTP가 있음에도 불구하고 중간 DTP 주변에 설치한 관측소로부터 나온 조석의 크기와 주기 모두 거의 동일한 것을 알 수 있다(Fig. 8). 이것은 중간에 설치된 DTP의 회절 효과가 없음을 간접적으로 보여준다. 중간 DTP가 해안에 연결되지 않는 것도 회절효과를 감쇄시킨 이유로 판단된다.
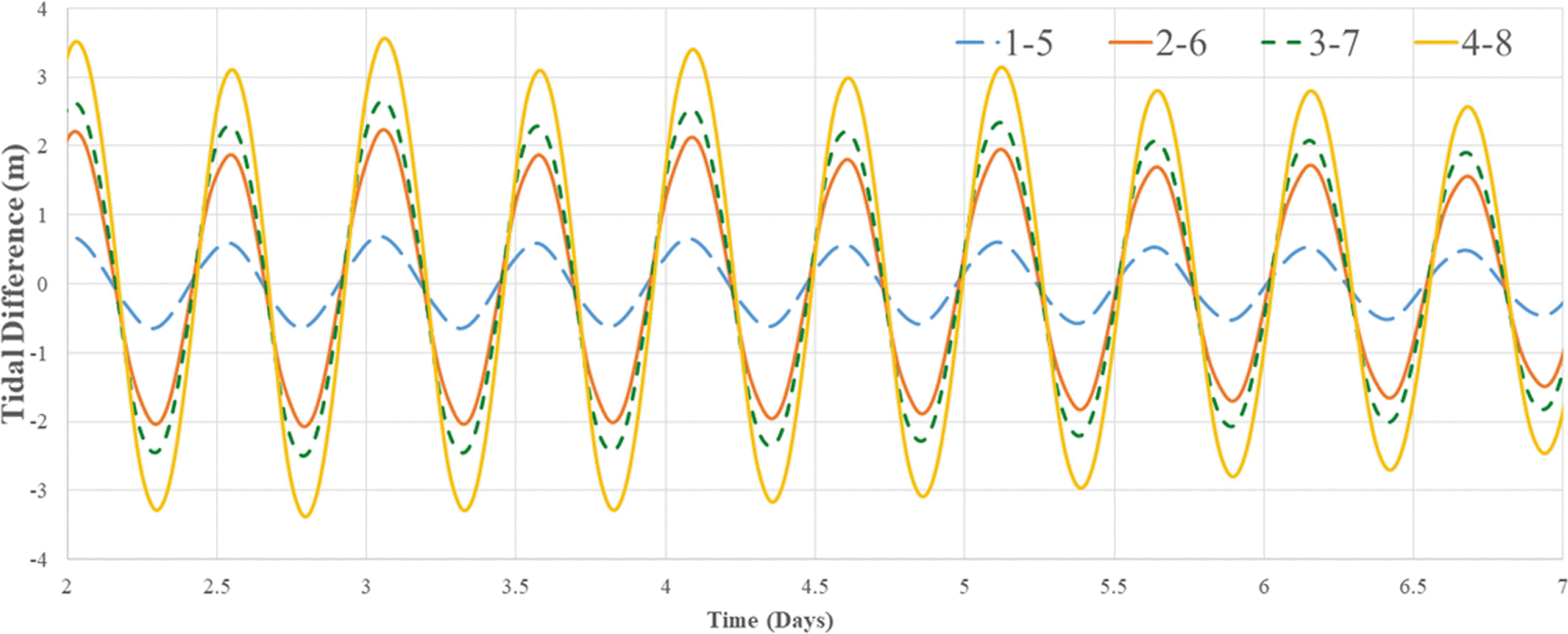
조위차를 비교할 경우, 앞에서 설명한 두개의 DTP의 경우와 동일하게 세 개의 DTP에서도 가장 남쪽과 가장 북쪽에 위치한 DTP에서는 회절 효과에 의한 조위차가 발생하게 되지만(Fig. 10 and 12), 중간에 위치한 DTP에서는 1 m 미만의 조위차만이 발생하게 된다(Fig. 11). 남측의 DTP에서 관측된 조위 및 조위차는 매끄러운 사인파의 형상을 가지고 있지만, 중간 및 북쪽의 DTP에서 관측된 조위차는 찌그러진 형상을 보여주고 있다. 이것은 다중 DTP의 경우 후면부의 흐름이 복잡하게 되어 예상보다 심각한 환경문제를 발생할 가능성을 보여준다. 가장 북쪽에 위치한 DTP에 의한 조위차의 경우 두개의 DTP의 경우와 비교하였을 때, 조위차가 거의 동일한 것을 확인할 수 있다. 하지만, 중간의 위치한 DTP의 경우 발생된 조위차가 너무 작아서 여러 개의 DTP를 사용하여 발전량을 늘리기 위한 목적에는 부적합한 결과를 보여 주고 있다. 기대와는 달리 설치 간격을 고려하지 않은 다수의 DTP는 발전량의 증가를 보장하지 못하는 것을 확인할 수 있다. 다중 DTP에 의한 조위 및 조위차 결과를 Table 1에 요약하였다.
4. 결 론
동적 조력 발전을 실용화하기 위해 가장 시급한 분야는 제한된 해역으로부터 좀 더 많은 발전을 가능하게 하는 방법을 찾는 것이다. 이를 위해 다수의 DTP를 설치하는 방법에 대한 연구를 수행하였다. 다수의 DTP의 경우 첫 번째와 마지막의 DTP에서만 조석의 회절 효과에 의해 충분한 수위차가 발생하며, 중간에 설치된 DTP에서는 큰 효과를 기대할 수 없었다. 가장 북쪽에 설치된 DTP에 의한 발전량도 가장 남쪽의 DTP에 의한 발전량에 비해 30% 이상 감소하는 것을 확인할 수 있다. 이것은 DTP 구조물에 의해 조석의 크기가 감소하였으며, 발전량과 환경에 나쁜 영향을 주게 될 것으로 예상된다. 추적기를 사용한 시뮬레이션 결과로부터 중간에 설치된 DTP는 오히려 해류의 흐름을 방해하여 환경에 부정적인 영향을 가져올 수 있는 가능성도 보여주었다. 두 개의 DTP를 사용한 경우 남쪽, 북쪽 모두에서 회절 효과가 발생하여 발전량의 증가를 기대할 수 있지만, 세 개의 DTP의 경우처럼 간격이 적절하게 배치되지 않는 경우 환경 및 발전량에서 원하는 결과를 만들지 못할 수도 있다. 두 개의 DTP 간격이 20 km로 설정된 경우와 이보다 좁게 설치된 중간 DTP의 결과를 고려하면, 조석의 회절효과를 이용해야 하는 DTP의 경우 최소 20 km 이상의 간격이 확보돼야 할 것으로 판단된다.

