비선형 파동계에서의 파고와 주기 결합 확률분포

요약

파고와 주기 결합분포는 그 공학적 가치에도 불구하고, 주기에 대한 해석 모형의 부재로 인해 파고 분포에 비해 상대적으로 소홀히 다루어져, 현재 비선형성이 주기분포에 미치는 영향에 대해서도 서로 다른 의견이 상존한다. 이에 비해 파고 분포의 경우, 많은 노력이 이루어져 성과가 상당하나, 아직 이러한 성과는 파고와 주기 결합분포로 확대되지 못하였다. 본 논문에서는 이러한 문제를 해결하기 위해 먼저 파고와 주기의 결합분포를 조건부 주기 분포와 파고 분포의 곱으로 정의하였다. 이어 비선형 불규칙 파동계에서의 파고 분포, 임의의 대역폭을 지니는 비선형 불규칙 파랑계에서의 파고분포를 유도하고, 이를 Longuet-Higgins(1975, 1983), Cavanie et al.(1976)의 조건부 주기 확률분포와 결합하여 새로운 파고와 주기 결합분포를 제시하였다. 검증과정은 Wallops 스펙트럼에 기초하여 수치 모의된 파랑시계열자료와 경사가 1:15인 단조해안에서 진행되는 불규칙 파랑 천수과정 수치모의를 통해 얻은 강비선형 파랑자료를 활용하여 수행되었으며, 모의 결과 finite banded waves를 대상으로 한 파고 분포와 Cavanie et al. (1976)의 조건부 주기 확률분포를 활용하는 경우 가장 근접한 결과를 얻을 수 있었다.

Abstract

The joint distribution of wave height and period has been maltreated despite of its great engineering value due to the absence of any analytical model for wave period, and as a result, no consensus has been reached about the effect of nonlinearity on these joint distribution. On the other hand, there was a great deal of efforts to study the effects of non-linearity on the wave height distribution over the last decades, and big strides has been made. However, these achievements has not been extended to the joint distribution of wave height and period. In this rationale, we first express the joint distribution of wave height and period as the product of the marginal distribution of wave heights with the conditional distribution of associated periods, and proceed to derive the joint distribution of wave heights and periods utilizing the models of Longuet-Higgins (1975, 1983), and Cavanie et al. (1976) for conditional distribution of wave periods, and height distribution derived in this study. The verification was carried out using numerically simulated data based on the Wallops spectrum, and the nonlinear wave data obtained via the numerical simulation of random waves approaching toward the uniform beach of 1:15 slope. It turns out that the joint distribution based on the height distribution for finite banded nonlinear waves, and Cavanie et al.’s model (1976) is most promising.

1. 서 론

해양구조물은 거친 해양환경에서도 견딜 수 있도록 설계되어야 하며, 피로파괴에 대해서도 충분한 내구성을 확보할 수 있어야 한다. 이를 위해서는 해양구조물 설계과정에서 해양환경에 내재한 변동성과 이로 인한 파랑의 불규칙성이 고려되어야 한다. 이러한 시각에서, 지난 이십년간 불규칙 파랑의 확률분포를 산출하기 위한 많은 노력이 이루어져, 다수의 empirical, analytical, semi empirical 파고모형이 제시된 바 있다(Haver and Andersen, 2000; Stansell, 2004; Walker et al., 2004; Fedele and Arena, 2003, 2005; Jensen, 1996, 2005; Janssen, 2003; Soares and Pascoal, 2005; Socquet-Juglard, 2005; Fedele, 2006; Onorato et al., 2006; Tayfun, 2006; Tayfun and Fedele, 2006).
이에 비해 파랑주기는 flow induced vibration은 해안구조물의 피로거동에 상당한 영향을 미친다는 사실을 상기하면 중요한 설계인자로 보이나 파고에 비해 소홀히 다루어져 왔다. 그 결과 파랑이 지니는 비선형성이 주기에 미치는 영향에 대해서도 의견이 엇갈려, 큰 파랑의 경우 파마루와 주기는 상호 독립적인 추계학적 과정으로 이해하는 시각과 상관관계가 존재한다는 의견이 공존한다(Longuet-Higgins, 1983; Tayfun, 1993; Cavanie et al., 1976). 이러한 혼선으로 최근 급속히 진행되고 있는 기후변화에 대응하기 위해 설계기준이 상향 조정되는 과정에서 설계 주기는 설계파고에 선형 비례하여 증가되는 결과가 초래되었으나, 그 논리적 근거는 상당히 취약해 보인다. 따라서 현재 지나치게 보수적인 설계가 진행되고 있는 것으로 판단되며, 이 경우 월파량과 처오름 높이는 과도하게 산정되며, 부진동 해석에서도 상당한 mis-match가 야기될 수 있다. 이러한 현상은 일정 부분 주기에 대한 해석모형의 부재로 기존 연구의 대분이 경험적 접근에 기대고 있다는 사실에 기인하나, 주기가 지니는 공학적 가치를 고려하는 경우 그 해결이 시급하다. 전술한 파고 모형 중 empirical 모형은 그 간결한 구조적 형태로 적용이 용이하다는 점으로 인해 설계과정에서 가장 선호되어 왔다. Empirical 모형에서 불규칙 파랑은 Gaussian, Weibull, Rayleigh 분포를 추종하는 것으로 가정되며 모형계수는 계측자료로부터 산정된다(Forristall, 2000). 이러한 절대적 호응에도 불구하고 Empirical model은 그 구조적 형태와 모형 계수가 불규칙 파랑에 내재한 물리과정과 연계하기가 쉽지 않다는 태생적 한계를 지닌다. 이에 비해 analytical model은 확률분포의 구조적 형태와 계수가 불규칙 파랑을 대상으로 한 해석해로부터 산출된다.
1963년에 Longuet-Higgins는 스펙트럼이 임의의 대역폭을 지니는 불규칙 파랑으로 인해 요동하는 수면변위에 대한 해석해를 섭동법[perturbation method]을 사용하여 유도한 바 있다. Longuet-Higgins(1963)의 해석해는 상당히 복잡한 형태로, 이로 인해 불규칙 파랑의 통계특성에 대한 이론적 연구는 상당한 어려움을 겪어왔다. 이러한 어려움을 피하기 위해 기존에 수행된 대부분의 analytical model에서 파랑 스펙트럼은 협대역에 분포한다는 가정이 수행되어왔다. 이러한 현상은 협대역에 분포하는 경우 Longuet-Higgins(1963)의 해석해는 우리에게 친숙한 second order Stokes wave 모형과 유사한 간결한 형태로 전환될 수 있다는 Tayfun(1980, 1986)의 연구결과에 영향을 받은 것으로 보인다. Tayfun(1980, 1986, 1994, 2006)은 second order Stokes wave 모형과 불규칙파랑의 변환기법을 활용하여 비선형 불규칙 파랑의 파마루에 대한 확률밀도함수를 유도하였으며, 이는 기존에 알려진 Rayleigh 분포에서 상당히 벗어난 것이었다. 이 연구에서 파마루를 구성하는 선형성분은 Rayleigh 분포를 추종한다는 경험적 인식이 활용되었다. 이렇듯 analytical model은 그 구조적 형태와 계수가 비선형 불규칙 파랑을 지배하는 기작과 깊이 연계된다는 상대적 장점에도 불구하고 설계과정에 활용되는 예는 찾아보기 어렵다. 이러한 현상은 analytical model의 구조형태가 복잡하다는 점과, 계측자료로부터 모형 계수의 산정에 필요한 고차 적률[moment, 積律]이 비선형 파동계의 경우 아직 closed form으로 존재하지 않는다는 사실이 작용하는 것으로 보이나, 파랑 스펙트럼이 협대역에 분포한다는 가정도 일정부분 기여한 것으로 보인다. 이러한 시각은 실 해양환경에서 관측되는 파랑에서 협대역 분포를 충족하는 경우는 이제 막 성장을 시작한 풍성파 혹은 mild-seas를 제외하면 찾아보기 어렵다는 사실을 상기하면 수용 가능해 보인다.
최근 정교한 계측자료가 점증하는 추세로, 이러한 정교한 계측자료를 용이하게 활용할 수 있는 semi empirical model을 개발하려는 많은 노력이 이루어졌다. Semi empirical model에서 확률분포함수의 구조적 형태는 해석해로부터 차용되며 모형계수는 계측자료로부터 산출된다는 점에서 analytical mode의 장점인 구조적 형태와 계수가 비선형 불규칙 파랑을 특정하는 물리과정과 깊이 연계된다는 장점이 유지된다는 점에서 기존의 empirical model보다 진일보한 형태로 판단된다. Empirical model의 시각에서 바라보면 Tayfun(1980, 1986, 1994, 2006)의 wave crest model은 one parameter Raleigh Stokes model로 분류될 수 있다. 최근 Semi empirical model 계열의 Rayleigh-Stokes model은 오차까지 확대되며 점차 그 외연이 확대되고 있는 것으로 보인다(Dawson, 2004). 그러나 분포함수의 구조형태가 Tayfun(1980, 1986, 1994, 2006)이 처음 제시한 Stokes wave model에서 벗어나지 않으며 선형성분은 Rayleigh 분포를 추종하다는 가정이 수행된다는 점에서 그 적용범위는 협대역 분포의 불규칙파랑에 국한 되어야 할 것이다. 전술한 Empirical model의 한계는 최근 수행된 Izadparast와 Niedzwecki(2012)의 연구에서도 언급된바 있다. 이 연구에서 Izadparast and Niedzwecki(2012)는 three parameter Rayleigh-Stokes model을 사용하여 파력발전시 파랑의 불규칙성으로 인한 발전량 변동성을 다루었으며, 파고가 작은 경우 발생하는 발전량 확률분포 수치결과와 계측량 사이의 괴리를 협대역 분포라는 조건이 충족되지 못하여 발생한 것으로 해석한 바 있다. 이처럼 지난한 형태의 Longuet-Higgins(1963)의 해석해에 대한 수학적 처리 과정을 보다 용이하게 하기 위해 도입된 협대역 분포라는 가정은 불규칙 파랑 해석에 있어 중요한 성과인 Tayfun(1980, 1986, 1994, 2006)의 Ralyeigh Stokes model을 가능하게 하였으나 해양구조물의 주 설계외력으로 작용하는 거친 파랑계의 경우 협대역 분포를 추종할 가능성은 극히 낮으며 강 비선형성이 우세하다. 따라서 강건한 해안구조물의 설계를 위해서는 협대역 분포라는 가정은 해제되어야 할 것으로 판단된다.
임의의 대역폭에도 적용가능하며, Longuet-Higgins(1963)의 해석모형보다 상대적으로 간단한 파랑모형을 찾으려는 노력은 Tung et al.(1989)에 의해 수행되었다. Tung et al.(1989)Longuet-Higgins(1963)의 해석모형에서 wave-wave interaction으로 생성되는 두 개의 보정항 중 장파성분은 단파성분보다 상대적으로 작다는 인식을 토대로 근사 파랑모형을 제시한 바 있다. 주기 분포의 경우 현재 Longuet-Higgins(1975, 1983)와 Cavanie et al.(1976)의 모형이 문헌에서 가장 빈번하게 언급되며, 이 중 Longuet-Higgins(1975)의 첫 번째 모형은 Gaussian process라는 가정을 토대로 유도된 선형 모형으로, 큰 파랑의 경우에도 파 마루와 주기는 상호 독립적인 추계학적 과정으로 이해된다. 이러한 거동은 관측 결과에는 흔히 나타나는 큰 파랑의 경우 파고가 증가하는 경우 주기도 점진적으로 증가되는 현상과는 상당한 거리가 있다. 그 후 Longuet-Higgins(1983)는 이러한 괴리를 경험적으로 치유한 두 번째 모형을 발표한 바 있다. 이에 비해 Cavanie et al.(1976)는 기하학적 주기 모형을 토대로 주기 분포를 제시하였으며 이 모형은 전술한 파마루와 주기의 상관성을 해석적으로 반영한다는 점에서 선호되어왔다.
이상의 논의를 토대로 본 논문에서는 협대역 분포라는 가정을 해제하고 실해역에서 관측되는 파랑에 근접한 광대역 분포 스펙트럼을 지니는 불규칙 파랑을 대상으로 비선형성이 반영된 파고 주기 결합분포를 유도하고자 한다. 이를 위해 먼저 파고와 주기의 결합분포를 조건부 주기 분포와 파고 분포의 곱으로 정의하였다. 이어 narrow banded 비선형 불규칙 파동계에서의 파고 분포, 임의의 대역폭을 지니는 비선형 불규칙 파랑계에서의 파고분포를 유도하고, 이를 Longuet-Higgins(1975, 1983), Cavanie et al.(1976)의 조건부 주기 확률분포와 결합하여 새로운 파고와 주기 결합분포가 제시된다. 이어 제시된 모형의 검증과정은 Wallops 스펙트럼에 기초하여 수치 모의된 파랑시계열자료를 활용하여 수행된다.

2. 비선형 파랑모형

수체에서의 파랑으로 인한 유동계는 다음과 같이 정의되는 경계치 문제로 정식화될 수 있다.
기본 방정식은 다음과 같이 정의되는 Laplace Eq.이며
(1)
2Φ=0h<z<ζ
저면과 자유 수면에서의 경계조건은 다음과 같이 기술될 수 있다(Fig. 1 참조).
(2)
ζt+uζx=u,atz=ζ
(3)
Φt+12V2+gζ=0,atz=ζ
(4)
Φz=0,atz=h
여기서 ∇2 = 2/∂x2 + 2/∂z2는 Laplace 미분 연산자, h는 수심, ζ는 해수면 변위, V=i~u+k~w는 파동으로 인한 유속, i~k~x, z 방향 단위벡터를 각각 나타낸다.
1963년 Longuet-Higgins는 상기한 경계치 문제를 perturbation method을 사용하여 해석하였으며, 수면변위 ζ를 기술하면 다음과 같으며,
(5)
ζ=i=1aicosχi+12i=1j=1aiajωi2cos(χi+χj)12gi=1j>1aiaj(ωi2ωj2)cos(χiχj)
여기서 두 번째 항은 불규칙 파랑을 구성하는 조화성분간의 summation interaction에 의해 생성된 상대적으로 짧은 고차 조화성분, 세 번째 항은 difference interaction에 의해 야기된 상대적으로 긴 고차 조화성분을 의미하며, χi = kixωit + ϕi, ki는 파수, ωi = (gki)1/2는 각 주파수, ϕi는 성분파의 무작위 위상으로 [0, 2π]에 균등분포하며, ai는 각 성분파의 진폭을 나타낸다.

2.1 Narrow banded approximation

2.1.1 Tayfun

스펙트럼 밀도함수가 협대역에 분포하는 경우 전술한 Longuet-Higgins(1963)의 파랑모형은 진폭이 완만하게 변조하는 이차 Stokes wave로 수렴하며, 이 경우 ζ는 다음과 같이 기술될 수 있다(Tayfun, 1980, 1986).
(6)
ζ=acos(kcxωctϕ)+12a2kccos2(kcxωctϕ)
여기서 kcωc는 운송파[carrier wave]의 파수와 주파수로 spectral mean 파수와 주파수로 취하는 경우 만족할만한 결과를 주는 것으로 전해진다. 이밖에 ϕ는 [0, 2π]에 균등분포하는 무작위 위상, a는 Rayleigh 분포를 추종하는 무작위 진폭을 각각 나타낸다.
표준편차 σζ로 정규화 하는 경우 파랑모형은 다음과 같이 기술될 수 있으며,
(7)
ζ1=ζ/σζ=Acosχ+σζkA2cos2χσζk12A2
식(7)로부터 파마루는 다음과 같이 기술이 가능하다.
(8)
ζ0=A+12εA2
여기서 A = a/σζ, ε = σζk = 2πξ, ξ는 유의 파형경사를 나타낸다(Hwang, 1981, 1983).
식(8)과 무작위변량의 변환기법을 활용하는 경우 파마루 분포 fζo (ζo)는 다음과 같이 기술될 수 있다(Papoulis, 1965).
(9)
fζo(ζo)=fA(A)|dζdA|1
여기서 정규화된 진폭 A는 다음과 같이 Rayleigh 분포를 추종한다.
(10)
fA(A)=Aexp(A2/2)
식(9) 우변의 A식(8)로부터 다음과 같이 치환되며,
(11)
A1=1+1+2εζoε
변환에 필요한 Jacobian |/dA|−1는 다음과 같이 기술될 수 있다.
(12)
|dζdA|1=11+2εζo
식(9), (10), (11), (12)로 부터 파마루 분포 fζo (ζo)는 다음과 같이 기술된다.
(13)
fζo(ζo)=11+2εζo(1+1+2εζo)exp[12ε2(1+1+2εζo)2]

2.1.2 Semi empirical model

최근 Dawson(2004)은 Rayleigh-Stokes model을 오차까지 확대하였으며 논의를 위해 유도과정을 소개하면 다음과 같다.
Dawson(2004)은 Tayfun(1980, 1986, 1994, 2006)의 Raleigh-Stokes model에 기초하는 경우 파마루 ζo는 다음과 같이 기술할 수 있다고 추정하였다.
(14)
ζo=αζ+βζ2+γ
여기서 ζ는 Raleigh 분포를 추종하는 선형성분을 의미하며, α, β, γ는 계측자료로부터 산출되는 모형계수를 나타낸다.
식(14)에 무작위 변량의 변환기법을 적용하면, 파마루 확률분포 fζo (ζo)는 다음과 같이 기술될 수 있다
(15)
fζo(ζo)=fζ(ζ)|dζodζ|=ζe12ζ2|dζodζ|
여기서 무작위 변량의 변환에 따른 Jacobian |o/|는 식(14)로부터 다음과 같이 기술될 수 있으며
(16)
dζodζ=α+2βζ
식(15), (16)의 ζ는 식(14)에 기초하면 다음과 같이 치환될 수 있다.
(17)
ζ=α+α2+4β(ζoγ)2β
식(16), (17)식(15)에 대입하고 정리하면 파마루 ζo의 확률밀도함수 fζo (ζo), 분포함수 Fζo (ζo)는 각각 다음과 같이 기술될 수 있으며,
(18)
fζo(ζo)=1α+2βζζe(ζ22)=χα2βχexp[(χα)28β2]
(19)
Fζo(ζo)=oζofζo(X)dX=1exp((χα)28β2)
여기서 χ는 다음과 같이 정의된다.
(20)
χ=α2+4β(ζoγ)

2.2 Finite banded approximation

전술한 Tayfun(1980, 1986)의 협대역 파랑모형은 그 간결한 형태로 인해 이후 파마루 분포, 파마루와 주기의 결합분포 분포와 같은 불규칙 파열의 추계학적 특성이 순차적으로 규명되는 이론적 근거로 기능한다. 그 결과 비선형 불규칙파열에서 파마루 분포는 지금까지 알려진 Rayleigh 분포와는 상당한 차이를 보였으며 Rayleigh 분포는 다소 과소하게 파마루 높이를 예측하는 것으로 밝혀진 바 있다(Fig. 2 참조).
식(6)에서 알 수 있듯 비선형 보정을 의미하는 두 번째 성분파는 첫 번째 선형성분에 phase locked되어 있다. 따라서 Tayfun(1980, 1986)의 협대역 파랑모형은 bound mode wave에 의한 비선형효과만을 설명한다. 그러나 이는 극히 예외적인 경우로 해역이 거칠어져 비선형이 증가하면, 강화된 wavewave interaction에 의해 이차 성분파의 진폭은 증폭되며, 이는 스펙트럼 밀도함수의 대역폭 증가로 이어진다. 이렇게 증폭된 성분파의 일부분은 bound mode로, 나머지는 free mode로 진행되며 phase difference로 인한 destructive interaction을 유발할 수 있다. 그러나 free mode에 의한 비선형효과가 간과 되었다는 점에서 협대역 파랑모형에 기초하여 유도된 주기분포 해석모형의 경우 상당히 과다한 주기를 예측하는 오류를 지닐 수 있다.
거친 해역에도 적용 가능하며 또한 Longuet-Higgins(1963)의 파랑모형보다 간결한 비선형 파랑모형을 찾으려는 노력은 Tung et al.(1989)에 의해 수행되었다. Tung et al.(1989)Longuet-Higgins(1963)의 파랑모형을 구성하는 두 번째 항과 세 번째 항은 wave-wave interaction에 의해 증폭되는 단파성분과 장파성분을 각각 나나내며 심해역의 경우 장파성분은 상대적으로 적다는 Tayfun의 관측결과를 토대로 무시하고 변수분리를 통해 두 번째 항을 선형파랑모형과 선형파랑모형의 이차 미분으로 유리된 새로운 파랑모형을 제시한 바 있다. Tung et al.(1989)의 파랑모형은 유도과정에 Tayfun(1980, 1986)의 협대역 파랑모형에서의 phase locked과 같은 성분파랑간의 위상에 대해 어떠한 가정도 수행하지 않은 것으로 보다 우월한 적용범위를 지닌다.
Tung et al.(1989)의 파랑모형을 옮겨 적으면 다음과 같으며,
(21)
ζ1=ζ/mo1/2(Mo/mo)1/2(η112εη1η3+12η4η5)
여기서 η1, η2, η3, η4, η5는 다음과 같이 정의된다.
(22)
η1=1Mo1/2i=1aicosχi
(23)
η2=1M21/2i=1aiωisinχi
(24)
η3=1M41/2i=1aiωi2cosχi
(25)
η4=1M41/2i=1aiωi2sinχi
(26)
η5=1Mo1/2i=1aisinχi
식(21), (22), (23), (24), (25), (26)에서 Mimi는 각각 비선형 파랑스펙트럼과 선형 스펙트럼의 i차 모멘트를 나타내며 다음과 같이 정의된다.
(27)
mi=oωiSζζ(ω)dω
Cho와 Kim(2005)은 전술한 파랑모형에 기초하여 파마루 분포를 유도하였으며 이를 정리하면 다음과 같으며,
(28)
fζo(ζo)=M˜NpQ(ρ1ζo/1ρ12)+N˜Np
여기서
(29)
Q(Z)=Zexp(12z2)dz
(30)
M˜=1(2π)3/2[ε2(52ρ12+ρ1ρ2ρ34ρ22)ρ1ζo+ε2(15ρ12+ρ1ρ2ρ3)ζo2+ε2ρ12ζo4]exp(12ζo2)
(31)
N˜=1(2π)3/21ρ12[1+ε2(4ρ1ρ2ρ3)ζoε2ρ1ζo3]exp(12ζo21ρ12)
(32)
Np=12π[1ε(1ρ22)2π]
식(28), (30), (31), (32)에서 ρ1 = E[η1η3], ρ2 = E[η2η4], ρ3 = E[η2η5]로 정의되며, E[·]는 괄호 안 불규칙 변량의 기대 값[expected value]을 나타낸다.

3. 현재 가용한 파마루와 주기 결합분포

3.1 Longuet-Higgins 주기 모형

Longuet-Higgins(1975)는 먼저 협대역 분포라는 가정을 수행하고 선형 Gaussian process의 진폭 A과 위상의 일차 미분 ψ˙의 결합 확률분포 fAψ˙ (A, ψ˙)를 유도하였다. 이어 유도된 fAψ˙ (A, ψ˙)와 다음과 같이 정의되는 위상의 일차 미분 ψ˙과 주기의 관계식에
(33)
ψ˙=ω=2πT
무작위변량 변환기법을 적용하여 파고와 주기의 결합 확률분포를 유도하였으며 이를 옮겨 적으면 다음과 같으며,
(34)
fζo(ζo,τ)=ζo282πνexp[ζo28{1+(τ1ν)2}]
여기서 bandwidth parameter ν, 정규화된 파고 ζo와 주기 τ, spectral mean frequency ωc는 각각 다음과 같이 정의된다(Longuet-Higgins, 1975).
(35)
ν=(mom2m121)1/2=[(1ρ3)21]1/2
(36)
ζo=H/mo1/2
(37)
τ=ωcT
(38)
ωc=m1/mo
식(34)로부터, 파마루 ζo가 특정된 경우, 조건부 주기분포 fτ|ζo (τ)는 다음과 같이 정의된다.
(39)
fτ|ζo(τ)=ζo22πνexp[ζo28ν2(τ1)2]
이 후 Longuet-Higgins(1983)는 전술한 주기분포는 현장자료에서 관측되는 파마루와 주기의 상관성을 반영하지 못하다는 평가를 토대로 무작위 변량의 변환기법을 활용하여 먼저 fAψ˙ (A, ψ˙)를 유도하였다. 이어 이렇게 유도된 fAψ˙ (A, ψ˙)으로부터 진폭 A과 주기 T의 결합 확률분포 fAψ˙ (A, ψ˙) 유도하였으며 이를 옮겨 적으면 다음과 같다.
(40)
fζoτ(ζo,τ)=142πν[1+11+ν2](ζoτ)2exp[ζo28{1+1ν2(11τ)2}]
식(40)으로부터, 파마루 ζo가 특정된 경우, 조건부 주기분포는 다음과 같이 정의되며,
(41)
fτ|ζo(τ)=ζo22πντ2Q(ζo2ν)exp[ζo28ν2(11τ)2]
여기서 Q(ζo/2ν)는 식(29)에 기 정의된 바 있다.

3.2 Cavanie 주기 모형

전술한 Longuet-Higgins(1975)의 두 모형 외에 Cavanie et al.(1976)의 모형도 문헌에서 자주 언급된다. 이 연구에서 Cavanie et al.(1976)은 먼저 해수면을 Taylor series로 전개하고, 해수면이 t = tc에서 정점에 이르면, 이 때 일차 도함수가 영의 값을 지니는 기하학적 특성을 이용하여 다음과 같은 관계식을 제시하였다(Fig. 3 참조).
(42)
ζ(t)=ζ(to)+ζt(tto)+122ζt2(tto)20=ζ(to)+122ζt2(tto)2
식(42)에서 ttoT/4로 해석할 수 있다는 가정을 토대로 파고와 주기의 결합분포를 유도하였으며 이를 옮겨 적으면 다음과 같으며(Fig. 3 참조),
(43)
fζoτ(ζo,τ)=α3ζo242πνL(1νL2)τ5exp{ζo28νL2τ4[(τ2α2)2+α4β2]}
여기서 αβ는 각각 다음과 같이 정의된다.
(44)
α=12(1+1νL2)
(45)
β=νL1νL2
식(43)에서 νL식(35)에 정의된 것과는 다른 bandwidth parameter로 다음과 같이 정의된다.
(46)
νL=(1m22mom4)1/2=[1(ρ1)2]1/2
전술한 Cavanie et al.(1976)의 모형은 파마루와 주기의 상관성을 반영한다는 점에서 선호되어왔으며, 식(40)로부터, 파마루 ζo가 주어진 경우, 조건부 주기분포는 다음과 같이 기술될 수 있다.
(47)
fτ|ζo(τ)=fζoτ(ζo,τ)fζo(ζo)=α4β2ζo2exp[ζo28νL2τ4{(τ2α2)2+α4β2}]2τ5νL4[exp(ζo28νL2)+{1+erf(ζoβ8)}ζoπβ8exp(ζo28)]
여기서 erf(z)는 Error function을 나타내며, 다음과 같이 정의된다(Abramowitz and Stegun, 1968).
(48)
erf(Z)=oZ12πe12z2dz

4. 광대역 파동계를 대상으로 한 새로운 파마루와 주기 결합분포

조건부확률의 정의로부터 조건부 주기분포 fτ|ζo (τ)는 다음과 같이 기술될 수 있으며,
(49)
fτ|ζo(τ)=fζoτ(ζo,τ)fζo(ζo)
따라서 식(49)로부터 파마루와 주기 결합분포 fζoτ (ζo, τ)는 다음과 같이 기술될 수 있다.
(50)
fζoτ(ζo,τ)=fτ|ζo(τ)fζo(ζo)
식(50)에서 fτ|ζo (τ)로는 전절에서 논의한 Longuet-Higgins(1975), Cavanie et al.(1976)의 모형등이 활용될 수 있으며, fζo (ζo)로는 식(13), (18), (28)에 정의된 파마루 분포가 활용될 수 있다.

5. 검 증

4절에서 유도된 파마루와 주기 결합분포 검증은 먼저 Wallops 스펙트럼 Φ(ω)으로부터 수치 모의된 파랑 시계열자료를 대상으로 수행하였으며(Huang et al., 1981), 보다 혹독한 검증에 필요한 강비선형 파랑자료를 얻기 위해 경사가 1:15인 단조해안에서 진행되는 불규칙 파랑 천수과정 수치모의도 병행하여 수행하였다. Wallops 스펙트럼에 기초한 검증결과는 5.1절에, 천수과정에서 관측된 불규칙 파랑 시계열자료를 이용한 검증결과는 5.2절에서 다루었다. 이와 더불어 bound mode의 조화성분에 의한 비선형 효과를 설명할 수 있어 고전적 스펙트럼보다 수월성을 지니는 것으로 알려진 Bi-spectrum도 함께 검토하였으며 검토 결과는 5.3절에 수록하였다.

5.1 Wallops 스펙트럼

검증에 활용된 Wallops 스펙트럼 Φ(ω)은 다음과 같이 정의되며(Huang et al., 1981),
(51)
Φ(ω)=αg2ωmωo5mexp[m4(ωoω)4]
여기서 ω는 wave frequency, ωo는 첨두 wave frequency, m은 고주파대역에서의 스펙트럼의 기울기[log-log scale]의 절대치로 다음과 같이 정의되며
(52)
m=|log(2π2ξ2)log2|
(53)
ξ=Mo1/2/Lo=αk/2π=ε/2π
여기서 ξ는 유의 파형경사, Lo는 첨두 주파수 ωo에 해당되는 파장, 계수 α는 다음과 같이 정의된다.
(54)
α=(2πξ)2m(m1)/44(m5)/41Γ[(m1)/4]
식(51)로부터 ρ1, ρ2, ρ3는 각각 다음과 같이 기술될 수 있으며,
(55)
ρ1=Γ[(m3)/4Γ1/2[(m1)/4]Γ1/2[(m5)/4]
(56)
ρ2=Γ[(m4)/4Γ1/2[(m3)/4]Γ1/2[(m5)/4]
(57)
ρ3=Γ[(m2)/4Γ1/2[(m1)/4]Γ1/2[(m3)/4]
(58)
ε=2πξ[mΓ[(m5)/44Γ(m1)/4]1/2
여기서 Γ [ ]는 Gamma function을 나타낸다(Abramowitz and Stegun, 1968).

5.1.1 불규칙 파랑의 Monte Carlo simulation

전절에서 유도한 해석 모형 검증에 필요한 파랑 자료로는 Wallops 스펙트럼과 Random phase method(Frigaard and Anderson, 2010; Cho and Bae, 2019; Cho and Na, 2015)에 기초하여 수치모의된 시계열자료가 활용되며, 파고와 주기는 수치모의된 시계열 자료를 zero-up crossing method를 사용하여 분석한 결과로부터 얻었다.

5.1.2 검증 결과

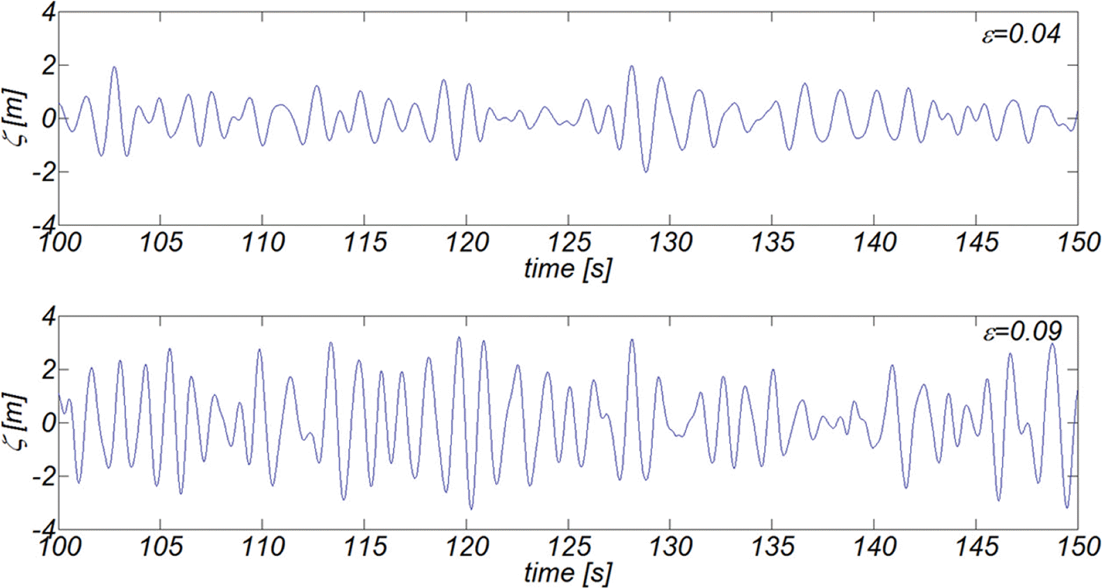
Fig. 4에는 ε = 0.04, 0.09에 대해 수치 모의된 파랑시계열 자료를 도시하였으며, Fig. 5에는 ε = 0.09에 대해 수치 모의된 파랑시계열 자료를 zero-up crossing method로 분석한 총 945개 파고와 주기 histogram을 도시하였다. 비선형성이 증가하면 파랑 스펙트럼에서 파랑에너지가 분포하는 주파수 대역은 증가한다. 또한 위상함수는 선형 파동처럼 항상 증가하는 것은 아니며 순간적으로 감소할 수 있으며, 이 경우 연속한 zero-up crossing interval 사이에 하나 이상의 파마루가 발생할 수 있으며, 평균 수면 이하에서도 파마루는 발생된다. 현재 파랑 분석에서 가장 선호되는 zero-up crossing method에서 전술한 현상은 해석이 불가능하다. 이러한 zero-up crossing method의 한계로 파마루가 상대적으로 적은 경우 발생확률이 over shooting 되는 것으로 보이나[Fig. 5(a) 참조], 이러한 현상은 모든 관측결과에서 예외 없이 관측된다.
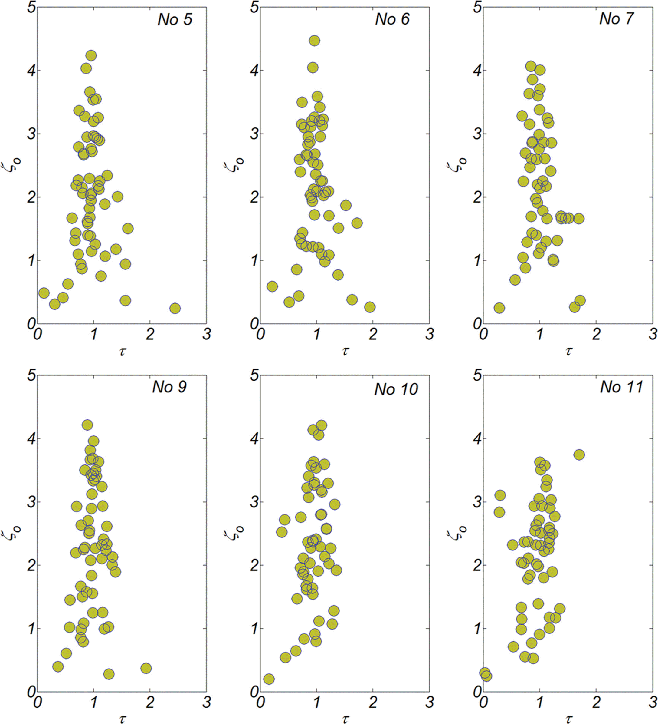
Fig. 6에는 ε = 0.04, 0.09인 경우에 대해 파마루와 주기 결합분포의 등고선도를 도시하였으며, Fig. 7에는 파마루가 주어진 경우 발생확률이 가장 큰 주기로 정의되는 modal period μτ가 그리는 궤적을 도시하였다. fτ|ζo (τ)로는 Longuet-Higgins(1975)의 두 모형, Cavanie et al.(1976)의 모형을, fζo (ζo)로는 본 연구에서 유도한 식(13)식(28)를 사용하였다. Longuet-Higgins(1975)의 첫 번째 모형에 기초하는 경우 기 보고된 것처럼 파랑 주기는 파고와 독립적으로 거동하는 오류를 지닌다. 이러한 오류가 시정된 Longuet-Higgins(1983)의 두 번째 모형은 작은 파랑의 경우 주기는 파고가 증가하면 같이 증가하나 파랑이 커지는 경우 이러한 양의 상관성은 점차 소멸된다. 이에 비해 Cavanie et al.(1976)의 모형에 기초하는 경우 파고와 주기사이에 존재하는 양의 상관성이 보다 큰 파랑에서도 유지되는 것을 알 수 있다(Fig. 6. 7 참조). 또한 유의미한 확률 질량을 지니는 표본공간의 범위가 Longuet-Higgins(1983)의 두 번째 모형에 비해 축소되며 상대적으로 작은 표본공간에 집중되는 것을 알 수 있다.
Fig. 8, 9에는 ε = 0.04, 0.09인 경우에 대해 파마루와 주기 결합분포의 등고선도를 도시하였으며, 전절에서 유도한 해석모형의 검증을 위해 Wallops 스펙트럼과 Random phase method(Frigaard and Anderson, 2010)에 기초하여 수치 모의된 시계열 자료로부터 zero-up crossing method를 사용하여 분석한 파고와 주기도 함께 도시하였다. 비선형성이 강해질수록, Longuet-Higgins’ 2nd model, Cavanie’s model, 협대역 분포에 기초한 파마루와 주기 결합분포는 주기를 과다하게 평가하는 것으로 보인다(Fig. 8, 9참조). 이에 비해 Cavanie’s model과 광대역 분포에 기초한 파마루와 주기 결합분포는 모의결과와 상당히 일치하여, 비선형 파동계에서도 적용이 가능한 것으로 판단된다(Fig. 8, 9참조).

5.2 천수과정에서 관측되는 불규칙 파랑 시계열자료에 기초한 검증

4절에서 유도된 파마루와 주기 결합분포의 보다 혹독한 검증에 필요한 강비선형 파랑자료를 얻기 위해 경사가 1:15인 단조해안에서의 불규칙 파랑 천수과정을 수치모의 하였다[Fig. 10 참조]. 수치모의는 OpenFoam 기반 Tool box인 ihFoam을 사용하여 수행되며, ihFoam에서 파랑모형은 RANS(Reynolds Averaged Navier-Stokes equation)와 질량 보존식으로 구성되며, 자유수면은 VOF(Volume Of Fraction) 법을 활용하여 추적하였다(Cho, 2019; Cho and Kang, 2017).
Fig. 10에는 수치모의에 사용된 수치수조를 도시하였으며, Fig. 11에는 수치모의된 불규칙 파랑의 천수과정, 쇄파와 쇄파에 후행하는 splash, 처오름 snapshot을 순차적으로 도시하였다. 자연계에서 우리가 접할 수 있는 현상에 상당히 근접하며, 상당한 정확도를 확보한 것으로 보인다. Fig. 12에는 Gauge NO. 5, 8, 11[Fig. 10 참조]에서 관측된 자유수면 시계열 자료를 도시하였으며, 천수가 진행될수록 증가하는 스펙트럼 대역폭으로 인해[비선형성 증가], 자유수면 시계열 자료는 점점 불규칙해 보인다. Fig. 13에는 zero-up crossing method로 분석한 파마루와 주기 결합분포를 도시하였으며, 파고가 작은 경우 주기는 파고가 증가하면 같이 증가하나 파랑이 커지는 경우 이러한 양의 상관성은 점차 소멸되는 것을 알 수 있다[Gauge NO. 5, 6, 7]. 또한 천수가 상당히 진행되어 스펙트럼 폭이 증가하는 경우[비선형성 증가], 파고와 주기사이에 존재하는 양의 상관성이 보다 큰 파랑에서도 유지되나 상관계수는 그리 큰 것으로 보이지 않는다[Gauge NO. 9, 10, 11]. 또한 천수의 최종단계에서 진행되는 쇄파로 파고는 감소하며, difference wave-wave interaction으로 상대적으로 큰 주기의 파랑[infra-gravity wave]이 관측되는 것이 이채롭다.

5.3 Bi-spectrum

식(5)에서 알 수 있듯 비선형 보정을 의미하는 두 조화성분은 첫 번째 선형성분에 phase locked되어 있어 흔히 회자되는 bound mode의 조화성분에 의한 비선형 효과를 설명한다. 전술한 phase locked, 혹은 phase coherence는 고전적인 스펙트럼으로는 기술이 불가하나, bi spectrum으로 기술이 가능하다. 다음과 같은 resonance triad 혹은 quartet 조건이 충족되는 경우[Fig. 14 참조]
(59)
k1+k2=k3
(60)
k1+k2=k3+k4
출현하는 고차 조화성분은 독자적인 파속으로 이행하는 것이 아니라 숙주 조화성분과 연계되어 움직이며 이런 phase coherence는 고전적인 스펙트럼으로는 해석이 불가능하나, Bispectrum을 활용하는 경우 가능한 것으로 알려진 바 있다.
조화성분 fkfm이 공진 조건[Resonance Triad]을 충족하여, 조화성분 fl = fk + fm이 출현하는 경우, 조화성분 fl의 Fourier 계수 C(fl)과 조화성분 fkfm의 Fourier 계수 C(fk), C(fm) 사이에는 다음과 같은 상관관계를 추정해 볼 수 있으며,
(61)
C(f1)=Ak,mC(fk)C(fm)
여기서 Ak,m는 상관계수를 나타낸다. 식(61)의 양변에 C*(fk)C*(fm)을 곱하고 기대 값을 취하는 경우 다음과 같은 관계식을 얻을 수 있으며
(62)
E[C(f1)C*(fk)C*(fm)=Ak,mE[C(fk)C*(fk)]E[C(fm)C*(fm)]
여기서 좌변은 Bi-spectrum의 정의로부터 B*(fk, fm)와 동일한 것을 알 수 있다. 상기 식으로부터 상관계수 Ak, m는 다음과 같이 정의되며,
(63)
Ak,mB(fk,fm)P(fk)P(fm)
따라서 Bi-spectrum은 조화성분 fl에서의 파랑스펙트럼 중 공진 조건[Resonance Triad]을 통하여 생성된 성분이 차지하는 부분을 가리키는 것을 알 수 있다[Fig. 15 참조].
Power 스펙트럼이 이차 자기상관함수의 Fourier 변환으로 정의되는 반면, Bi-spectrum은 삼차 공분산함수의 Fourier 변환으로 정의되며 비선형 파동계를 구성하는 조화성분간에 진행되는 상호작용을 해석하기 위해 제안된 통계량으로 해수면 변위 시계열 자료 ζ(t)의 Fourier 계수 C(fk)로 산출 가능하며 이를 기술하면 다음과 같다.
(64)
B(f1,fm)=C(f1)C(fm)C*(f1+fm)
여기서 윗첨자 *는 공액 복소수를 나타낸다. 이상의 논의에서 알 수 있듯, Bi-spectrum은 그 동안 해안 공학계에서 회자되어온 Wallops 스펙트럼 같은 고전적인 스펙트럼보다 bound mode의 조화성분에 의한 비선형 효과를 설명할 수 있어 고전적 스펙트럼보다 수월성을 지니나 아직까지 파황별 정량적 모형이 보고된 바 없어 본고에서는 더 이상 다루지 않는다.

6. 기존 설계파고와 설계주기 분석

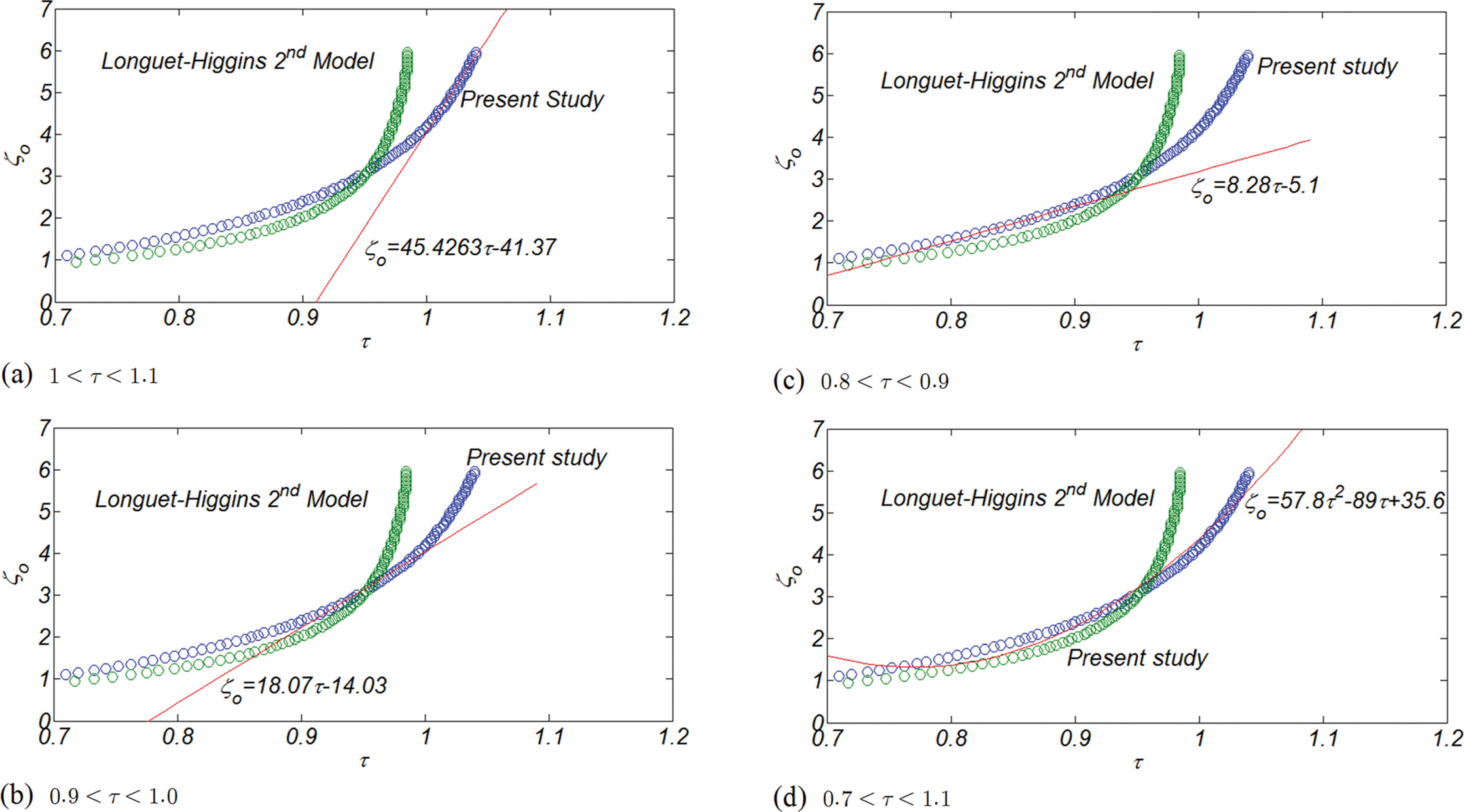
최근 신축 혹은 기후변화에 대처하기 위한 보강공사가 진행된 14개 항을 대상으로 설계에 사용된 설계파고와 주기를 검토하였다. Fig. 16에는 사용된 설계파고와 주기를 수록하였으며 Fig. 17에는 회귀분석결과를 수록하였다. 타 project에 비해 시공이 상대적으로 일찍 진행된 제주 신항을 제외하면, 선형 비례에 가깝게 설계주기가 선정된 것으로 분석되나, 이러한 설계관행의 논리적 근거는 매우 취약해 보인다. Fig. 18에는 본 논문의 결과가 보다 용이하게 사용될 수 있도록 역동적인 파랑을 대상으로 비선형 파동계에서도 적용이 가능한 것으로 판단되는, Cavanie’s model과 광대역 분포에 기초한 파마루의 결합분포에서 파고와 주기의 회귀식을 도시하였다.

7. 결 론

해양구조물이 거친 해양환경에서도 충분한 내구성을 확보할 수 있도록 설계되기 위해서는, 주 외력으로 작용하는 파랑의 불규칙성은 반드시 고려되어야 하며, 파고분포의 경우 지난 이십년간의 노력으로 성과가 상당하다. 이에 비해 파랑주기는 flow induced vibration이 해안구조물의 피로거동에 상당한 영향을 미친다는 사실을 고려하면 중요한 설계인자로 보이나 파랑주기는 파고에 비해 소홀히 다루어져 왔다. 그 결과 파랑이 지니는 비선형성이 주기에 미치는 영향에 대해서도 의견이 엇갈려, 큰 파랑의 경우 파마루와 주기는 상호 독립적인 추계학적 과정으로 이해하는 시각과 관측 결과를 토대로 상관관계가 존재한다는 의견이 공존한다(Longuet-Higgins, 1983; Tayfun, 1993; Cavanie et al., 1976). 이러한 현상은 주기에 대한 해석모형의 부재로 인해 기존 연구의 대분이 경험적 접근에 기대고 있다는 사실에 기인하나, 주기가 지니는 공학적 가치를 고려하는 경우 그 해결이 시급하다. 또한 지난 이십년간 제시된 empirical, analytical, semi empirical 파고모형은 예외 없이 지난한 형태의 Longuet-Higgins(1963)의 해석해에 대한 수학적 처리가 용이하도록 협대역 분포라는 가정 하에 제시되어 해양구조물의 주 설계외력으로 작용하는 거친 파랑계에 적용하기에는 무리가 따른다.
이러한 시각에서 본 논문에서는 먼저 narrow banded 불규칙 파동계에서의 파고 분포와 임의의 대역폭을 지니는 비선형 불규칙 파랑계에 적용이 가능한 파고분포를 유도하였다. 이어 주기에 대한 해석모형의 부재로 유도과정에 어려움을 겪어왔던 파고와 주기의 결합분포를 조건부 주기 분포와 파고분포의 곱으로 정의하고, 조건부 주기 분포에 대한 기존의 성과, 즉, Longuet-Higgins(1975, 1983)의 두 모형과 Cavanie et al.(1976)의 모형의 적용가능성을 검토하였다. 검토결과 Longuet-Higgins(1975, 1983)의 두 모형은 유도과정에 수행된 Gaussian process라는 가정으로 인해 선형 파동계를 대상으로 하며, Cavanie et al.(1976)의 모형은 기하학적 주기 모형에 기초하여 적용범위가 상대적으로 넓어 보인다. 따라서 파마루와 주기는 상호 독립적인 추계학적 과정으로 이해하는 기존의 시각은 Longuet-Higgins(1975, 1983)의 두 모형에 근거하는 것으로 보이나 이제는 시정되어야 할 것이다.
검토결과를 토대로 narrow banded 불규칙 파동계에서의 파고 분포, 임의의 대역폭을 지니는 비선형 불규칙 파랑계에서의 파고분포, Longuet-Higgins(1975), Cavanie et al.(1976)의 조건부 주기 확률분포를 활용하여 파고와 주기 결합분포가 제시되었다. 검증과정은 Wallops 스펙트럼에 기초하여 수치 모의된 파랑시계열자료를 활용하여 수행되었으며, 모의 결과 finite banded waves를 대상으로 한 파고 분포와 Cavanie et al.(1976)의 조건부 주기 확률분포를 활용하는 경우 가장 만족스러운 결과를 얻을 수 있었다. 이러한 결과는 Longuet-Higgins(1975, 1983)의 두 모형이 선형 파동계를 대상으로 하다는 점과 narrow banded 파동계가 극히 예외적인 것이라는 점을 상기하면 수용 가능하다고 판단된다. 또한 최근 신축 혹은 기후변화에 대처하기 위한 보강공사가 진행된 14개 항을 대상으로 설계에 사용된 설계파고와 주기를 검토하였다. 회귀분석결과 타 project에 비해 시공이 상대적으로 일찍 진행된 제주 신항을 제외하면, 선형 비례에 가깝게 설계주기가 선정된 것으로 분석되어, 주기가 지나치게 보수적으로 선정된 것으로 판단된다.

Fig. 1.
Schematic sketch of water wave problem.
jkscoe-31-5-278f1.tif
Fig. 2.
Schematic sketch of the effect of bandwidth on the statistical distribution of nonlinear random waves.
jkscoe-31-5-278f2.tif
Fig. 3.
Geometrical definition of a wave period.
jkscoe-31-5-278f3.tif
Fig. 4.
Time series of numerically simulated water surface displacement based on the Wallops spectrum.
jkscoe-31-5-278f4.tif
Fig. 5.
Histogram of measured wave height and associated period.
jkscoe-31-5-278f5.tif
Fig. 6.
Comparison of theoretical joint distribution of wave crest and period for varying non-linearity.
jkscoe-31-5-278f6.tif
Fig. 7.
Relationship of modal period μτ with wave crest.
jkscoe-31-5-278f7.tif
Fig. 8.
Comparison of theoretical joint distribution of wave crest and period with measured data for ε = 0.04.
jkscoe-31-5-278f8.tif
Fig. 9.
Comparison of theoretical joint distribution of wave crest and period with measured data for ε = 0.09.
jkscoe-31-5-278f9.tif
Fig. 10.
Layout of numerical wave flume.
jkscoe-31-5-278f10.tif
Fig. 11.
Sequential snapshots of numerically simulated nonlinear random wave field shoaling over uniform beach [slope 1:15].
jkscoe-31-5-278f11.tif
Fig. 12.
Time series of numerically simulated water surface profile across the shore.
jkscoe-31-5-278f12.tif
Fig. 13.
Joint distribution of measured wave crest and its associated period at varying stage of wave shoaling.
jkscoe-31-5-278f13.tif
Fig. 14.
Various diagram in wave number, frequency space illustrating the four components that satisfy the resonance condition, where the dispersion relation, ω=gh, is represented by at rumpet shaped surface in three-dimensional spaces.
jkscoe-31-5-278f14.tif
Fig. 15.
Schematic sketch of wave spectrum portion attributed to the wave-wave interaction.
jkscoe-31-5-278f15.tif
Fig. 16.
List of design wave heights and associated periods in South Korea.
jkscoe-31-5-278f16.tif
Fig. 17.
Regression between deployed design wave heights and periods for the construction of harbors in South Korea.
jkscoe-31-5-278f17.tif
Fig. 18.
Regression between wave heights and periods over large waves.
jkscoe-31-5-278f18.tif

References

Abramowitz, M, Stegun, IA. (1968). Handbook of mathematical functions. Dover, Mineola, NY.

Cavanie, A., Arhan, M, Ezraty, R (1976). A statistical relationship between individual heights and periods of storm waves, Proc. Conf. on Behaviour of Offshore Structures, 2, 354-360.

Cho, YJ (2019). Numerical analysis of the beach stabilization effect of an asymmetric ripple mat, Journal of Korean Society of Coastal and Ocean Engineers, 31(4):209-220.
crossref
Cho, Y.J, Bae, JH (2019). On the feasibility of freak waves formation within the harbor due to the presence of infra-gravity waves of bound mode underlying the ever-present swells, Journal of Korean Society of Coastal and Ocean Engineers, 31(1):17-27.
crossref
Cho, Y.J, Kang, YK (2017). The effect of skewness of nonlinear waves on the transmission rate through a porous wave breaker, Journal of Korean Society of Coastal and Ocean Engineers, 29(6):369-381.
crossref
Cho, Y.J, Kim, MS (2005). Statistical properties of wave groups in nonlinear random waves of finite bandwidth, International Journal of Offshore and Polar Engineering, 15(1):14-20.

Cho, Y.J, Na, DG (2015). Numerical analysis of the depression effect of hybrid breaker on the run up height due to tsunami based on the modified leading depression N (LDN) wave generation technique, Journal of Korean Society of Coastal and Ocean Engineers, 27(1):38-49.
crossref
Dawson, TH (2004). Stokes correction for nonlinearity of wave crests in heavy seas, J. of Waterw., Port, Coastal and Ocean Eng, ASCE, 130(1):39-44.
crossref
Fedele, F, Arena, F. (2003). On the Statistics of High Nonlinear Random Waves, Proc., 13th Inter. Offshore and Polar Eng. Conf., ISOPE. Honolulu, Hawaii, USA: May 25–30, 17–22..
crossref
Fedele, F, Arena, F (2005). Weakly nonlinear statistics of high random waves, Phys. of Fluids, APS, 17(1):paper no. 026601.
crossref
Fedele, F (2006). Extreme events in nonlinear random seas, J. of Offshore Mechanics and Arctic Eng, ASME, 128, 11-16.
crossref
Forristall, GZ (2000). Wave crest distribution: Observations and second-order theory, J. Phys. Oceanogr, 30, 1931-1943.
crossref
Frigaard, P, Anderson, TL. (2010). Technical Background Material for the Wave Generation Software AwaSys 5. DCE Technical Reports No. 64. Aalborg University.

Haver, S, Andersen, OA. (2000). Freak Waves: Rare Realizations of a Typical Population or Typical Realizations of a Rare Population? Proc., 10th Inter. Offshore and Polar Eng. Conf, ISOPE. Seattle, USA: May 28–June. 2: 123-130.

Huang, NE, Long, SR, Tung, CC, Yuan, Y, Bliven, LF (1981). A unified two-parameter wave spectral model for a general sea state, J. Fluid Mech, 112, 203-224.
crossref
Huang, NE, Long, SR, Tung, CC, Yuan, Y, Bliven, LF (1983). A non-Gaussian statistical model for surface elevation of nonlinear random wave fields, J. Geophys. Res, 88, 7597-7606.
crossref
Izadparast, A, Niedzwecki, J. (2012). Application of semiempirical probability distributions in wave-structure interaction problems, ASME 2012 Fluid Engineering Division Summer Meeting collocated with the ASME 2012 Heat transfer Summer conference and the ASME 2012 10th International Conference, Vol. 1: Symposia, Part A and B..

Jensen, JJ (1996). Second-order wave kinematics conditional on a given wave crest, Appl. Ocean Res., Elsevier Science, 18(2):119-128.
crossref
Jensen, JJ (2005). Conditional second-order short-crested water waves applied to extreme wave episodes, J. Fluid Mech, 545, 29-40.
crossref
Janssen, PAE.M (2003). Nonlinear four-wave interactions and freak waves, J. Phys. Oceanogr, AMS, 33(4):863-884.
crossref
Longuet-Higgins, MS (1963). The effect of nonlinearities on statistical distributions in the theory of sea waves, J. Fluid Mech, 17, 459-480.
crossref
Longuet-Higgins, MS (1975). On the joint distribution of wave periods and amplitudes of sea waves, J. Geophys. Res, 80, 2688-2694.
crossref
Longuet-Higgins, MS (1983). On the joint distribution of wave periods and amplitudes in a random wave field, Proc. Roy. Soc. of London, 389(A):241-258.
crossref
Onorato, M., Osborne, AR, Serio, M., Cavaleri, L., Brandini, C, Stansberg, CT (2006). Extreme waves, modulational instability and second-order theory: Wave flume experiments on irregular waves, European Journal of Mechanics-B/Fluids, 25(5):586-601.
crossref
Papoulis, A. (1965). Probability, random variables and stochastic processes. McGraw-Hill book Co., New York, NY..

Soares, G.C, Carvalho, A.N. (2001). Probability distribution of wave heights and periods in measured two-peaked spectra from the Portuguese coast, Proceedings of OMAE 01, 20th International Conference on Offshore Mechanics and Artic Engineering..

Soares, C.G, Pascoal, R (2005). On the profile of large ocean waves, J. of Offshore Mechanics and Arctic Eng, ASME, 127(4):306-314.
crossref
Socquet-Juglard, H. (2005). Spectral Evolution and Probability Distributions of Surface Ocean Gravity Waves and Extreme Events. DSc. Thesis, Dept. of Math.. Univ. of Bergen, Norway.

Stansell, P (2004). Distributions of freak wave heights measured in the North Sea, Appl. Ocean Res, Elsevier Science, 26, 35-48.
crossref
Tayfun, MA (1980). Narrow-band nonlinear sea waves, J. Geophys. Res, 85, 1548-1552.
crossref
Tayfun, MA (1986). On narrow-band representation of ocean waves 1, theory, J. Geophys. Res, 91, 7743-7752.
crossref
Tayfun, MA (1993). Joint distribution of large wave heights and associated periods, Journal of Waterway, Port, Coastal, and Ocean Engineering, 119(3):261-273.
crossref
Tayfun, MA (1994). Distributions of envelope and phase in weakly nonlinear random waves, Journal of Engineering Mechanics, 120(5):1009-1025.
crossref
Tayfun, MA (2006). Statistics of nonlinear wave crests and groups, Ocean Engineering, 33(11):1589-1622.
crossref
Tayfun, MA, Fedele, F. (2006). Wave height distributions and nonlinear effects, Proceedings of OMAE2006, 25th International Conference on Offshore Mechanics and Arctic Engineering. Hamburg, Germany.
crossref
Tung, CC, Huang, NE, Yuan, Y, Long, SR (1989). Probability function of breaking limited surface elevation, J. Geophys. Res, 94(C1):967-972.
crossref
Walker, DAG., Taylor, P.H, Taylor, RE (2004). The shape of large surface waves on the open sea and the draupner new year wave, Appl. Ocean Res, Elsevier Science, 26, 73-83.
crossref