해상작업 가능기간 산정을 위한 확률모형 개발 - 울산항 전면 해역을 중심으로

요약

본 논문에서는 공정별 해상작업 가능 기간의 합리적 산출이 가능한 확률모형이 제시된다. 확률모형을 유도하기 위해, 먼저 JMA(Japan Meterological Agency)와 NOAA(National Oceanic and Atmospheric Administration)의 해상풍 자료와 SWAN에 기초하여 2003년 1월 1일부터 2017년 12월 31일까지 한 시간 간격으로 울산 전면 해역에서의 유의 파고와 첨두 주기를 역추산 하였다. 이어 모의된 유의파고 시계열 자료로부터 최소 자승법을 활용하여 장기 유의파고 확률분포를 도출하였으며, 해석결과 그 동안 선호되던 삼 변량 Weibull 분포보다는 수정 Glukhovskiy 분포 계열에서 일치도가 가장 우월하였다. 보다 정확한 확률모형의 개발 가능성을 검토하기 위해 Borgman 선회적분을 활용하여 역 추산 단위 간격인 한 시간 내에서 출현하는 개별 파랑이 고려된 파고분포도 함께 유도하였다. 수정 Glukhovskiy 분포의 모수는 Ap = 15.92, Hp = 4.374 m, κp = 1.824로 드러났으며 해상작업 한계 파고가 HS = 1.5m인 경우 작업가능일 수는 319일로 모의되었다. 이와 더불어 확률모형의 검증자료를 얻기 위해 파고가 해상 준설작업 한계 파고로 기 보고된 바 있는 HS = 1.5 m(Lee, 1991)를 상회하여 지속되는 시간을 유의파고 시계열 자료를 파별분석(wave by wave analysis)하여 산출하였다. 산출결과 2003년부터 2017년까지의 평균 지속기간은 45.5일로 확률모형으로부터 산출된 기간에 상당히 근접하였다.

Abstract

In this study, a probabilistic model for the estimation of yearly workable wave condition period for offshore operations is developed. In doing so, we first hindcast the significant wave heights and peak periods off the Ulsan every hour from 2003.1.1 to 2017.12.31 based on the meteorological data by JMA (Japan Meterological Agency) and NOAA (National Oceanic and Atmospheric Administration), and SWAN. Then, we proceed to derive the long term significant wave height distribution from the simulated time series using a least square method. It was shown that the agreements are more remarkable in the distribution in line with the Modified Glukhovskiy Distribution than in the three parameters Weibull distribution which has been preferred in the literature. In an effort to develop a more comprehensive probabilistic model for the estimation of yearly workable wave condition period for offshore operations, wave height distribution over the 15 years with individual waves occurring within the unit simulation period (1 hour) being fully taken into account is also derived based on the Borgman Convolution Integral. It is shown that the coefficients of the Modified Glukhovskiy distribution are Ap = 15.92, Hp = 4.374m, κp = 1.824, and the yearly workable wave condition period for offshore work is estimated to be 319 days when a threshold wave height for offshore work is HS = 1.5 m. In search of a way to validate the probabilistic model derived in this study, we also carry out the wave by wave analysis of the entire time series of numerically simulated significant wave heights over the 15 years to collect every duration periods of waves the height of which are surpassing the threshold height which has been reported to be HS = 1.5 m in the field practice in South Korea. It turns out that the average duration period is 45.5 days from 2003 to 2017, which is very close to 46 days from the probabilistic model derived in this study.

1. 서 론

먼 바다에서 여러 가지 기작에 의해 생성된 파랑은 인근 연안으로 전파되며, 이 과정에서 해양환경에 내재한 변동성으로 파랑은 불규칙한 모습을 지닌다. 이렇게 생성된 불규칙한 파랑이 천해역으로 진입하는 경우 천수, 굴절 회절 등으로 인해 변형을 겪으며 파고는 성장하다, 종국에는 쇄파되며 그 긴 여정을 마친다. 항 외곽시설 건설과정은 이처럼 거친 해양환경에서 진행되기 마련으로, 이 과정에서 충분한 안전성을 담보하기 위해서는 공정별 해상작업 가능 기간이 공정관리계획에 적절히 반영되어야만 하나, 현재 우리나라에서는 전술한 기간이 주관적 판단에 따라 산정되고 있어, 해상작업 가능 기간 산정에 대한 합리적 기준 마련이 시급해 보인다.
파랑에 내재한 불규칙성을 고려하는 경우 해상작업 가능기간 산정은 장기간 관측된 파랑자료에 기초하여 진행되어야 하나, 우리나라의 경우 현재 장기간에 걸쳐 연속해서 관측된 파랑자료가 가용하지 않는 경우가 대부분으로 이 경우 확률모형과 기상자료로부터 HYPA, WAM, WAVEWATCH III, SWAN에 기초하여 역추산된 파랑자료가 활용될 수 있다(Jeong et al., 2018). 현재 가용한 추계학적 확률모형으로는 단기 파랑자료의 경우 심해역을 대상으로 한 Rayleigh 분포, 천해역를 대상으로 한 복합 Weibull 분포(Battjes and Groenendijk, 2000), 수정 Glukhovskiy 분포(Klopman and Stive, 1989) 등이, 장기 파랑자료의 경우 삼 변량 Weibull 분포 등이 현재 문헌에서 가장 빈번하게 언급되고 있다(Forristall, 2008).
역추산된 장기 파랑자료는 한 시간, 세 시간 혹은 여섯 시간 간격으로 유의파고와 첨두주기 등이 시계열 자료의 형태로 제공되는 것이 대부분으로, 이처럼 장기간에 걸친 유의파고와 같은 극치분포는 삼 변량 Weibull 분포 등으로 기술될 수 있으며(Long Term Distribution), 이 경우 한 시간 혹은 여섯 시간씩 이격된 각 구간 내에서 발생할 수 있는 개별 파랑의 파고는 Rayleigh 분포와 같은 단기 확률모형(Short Term Distribution)으로 기술되어야 한다(Forristall, 2008).
개별 파랑이 고려된 1년 최대파고(HMAX)분포, 50년 최대파고(HMAX)분포와 같이 공학적으로 유의미한 확률정보를 얻기 위해서는 단기 확률모형을 유의파고 시계열 자료에 대해 선회 적분하는 과정이 요구되며 이러한 적분 과정은 Battjes(1972)Borgman(1973)에 의해 처음 정식화 되었으며, 이후 Borgman 적분으로 불린다. 현재 문헌상에는 다양한 형태의 Borgman 적분 수행과정을 찾아볼 수 있으며(Forristall, 2008), 이러한 수행방법은 크게 직접법과 간접법으로 분류할 수 있다. 직접법은 단기 확률모형을 전 유의파고 시계열 자료에 순차적으로 적용하는 것으로 산출과정에 상당한 시간이 소요된다. 이에 비해 간접법은 출현 가능한 유의파고의 표본공간을 등 간격으로 나누고 단기 확률모형과 각 유의파고 발생확률로 Borgman 적분을 간접적으로 수행하는 것으로 효율적 수행이 가능하다(3장에서 후술).
이상의 논의를 토대로 본 논문에서는 먼저, JMA(Japan Meterological Agency), NOAA(National Oceanic and Atmospheric Administration)의 해상풍와 SWAN에 기초하여 2003년 1월 1일부터 2017년 12월 31일까지 한 시간 간격으로 수심이 20m 내외인 울산 전면 해역에서의 유의파고, 첨두주기 시계열 자료가 역 추산된다. 이어 모의된 유의파고 시계열 자료로부터 장기 유의파고 확률분포로 그 동안 선호되어온 three parameter Weibull 분포, 수정 Glukhovskiy 분포의 계수를 최소자승법으로 도출하고, 한 시간씩 이격된 각 구간에서 출현할 수 있는 개별 파랑의 파고는 Rayleigh 분포를 추종하다는 가정아래 개별파랑이 고려된 최대파고(HMAX)의 확률분포함수가 전술한 간접법으로 산출된다.
최종적으로 해상작업 가능기간은 전술한 장기 유의파고 확률분포에 기초하여 산정된다. 이와 더불어 확률모형의 검증과정은 파고가 해상 준설작업 한계파고로 보고된 바 있는 HS = 1.5 m(Lee, 1991)를 상회하여 지속되는 시간에 준거하여 수행되며, 임계파고 상향 지속시간은 수치 모의된 유의파고 전 시계열 자료를 파별분석(wave by wave analysis)하여 산출된다(Goda, 1985).
2장에서는 장기 파랑자료 수치모의를 정리하였다. 3장에서는 현재 가용한 확률모형을 단기와 장기로 분류하여 정리하였으며, 4장에서는 논의를 전개하기 위해 필요한 Borgman 선회적분(Borgman, 1973)의 유도과정을 정리하였다. 5장에서는 해상풍 자료와 SWAN에 기초하여 2003년 1월 1일부터 2017년 12월 31일까지 한 시간 간격으로 역 추산된 수심이 20 m 내외인 울산 전면 해역에서의 유의파고와 첨두주기 시계열 자료를 토대로 파랑특성과 기후변화로 인한 파황 변화 여부에 관한 검토결과를 수록하였다. 6장에서는 해상작업 가능 기간 산정을 위해 먼저 수치모의된 유의파고 시계열 자료 빈도해석 결과와 이를 토대로 최소자승법으로 도출한 유의파고 분포함수를 정리하였다. 또한 개별 파고를 고려한 파고 분포함수는 6장에서 다루었다.

2. 장기 파랑자료 수치모의

공정별 해상작업 가능 기간 산출을 위한 확률모형 개발에 필요한 파고자료를 얻기 위해 먼저, JMA(Japan Meterological Agency)와 NOAA(National Oceanic and Atmospheric Administration)의 해상풍 자료와 SWAN에 기초한 수치모의를 수행하였다. 모의 기간은 2003년 1월 1일부터 2017년 12월 31일까지이며 수치모의된 파동계로부터 한 시간 간격으로 유의 파고와 첨두 주기를 역추산 하였다. Fig. 1에는 수치모의에 사용된 계산영역을 도시하였으며, 계산영역은 2.5 km 간격으로 이산화하였다. 수치모의의 검증은 우리나라 기상청(Korea Meteorological Agency, 이하 KMA)이 울산 전면해역에서 운영하고 있는 파고부이에서 관측된 파랑 자료에 기초하여 수행하였다. 현재 WINK(Wave Information Network of Korea)(Jeong et al., 2018)에서 제공하는 파랑자료는 2015.12.22~2016.12.31에 관측된 것으로 관측위치는 Fig. 1(KMA Wave Buoy)에 제시하였으며, 확률모형 개발에 사용된 파랑자료의 관측위치(Application Site)도 함께 수록하였다.
Fig. 2에는 너울성 고파랑이 자주 출현한 2016.1.1.부터 2016.7.31.까지의 수치모의된 유의파고 시계열 자료를 도시하였으며, 비교를 위해 KMA 파고부이에서 관측된 유의파고 시계열 자료도 함께 수록하였다. 그림에서 알 수 있듯 파고의 변화 추이와 크기가 상당한 정도로 재현되고 있음을 알 수 있다.

3. 확률 모형

3.1 단기 확률모형(Short term probability distribution)

3.1.1 Rayleigh 파고 분포

Rayleigh 파고 분포함수 FH(h)는 현재 해안공학계에 가장 널리 알려진 확률모형으로, 선형모형임에도 불구하고 심해 불규칙 파랑의 경우 일치도가 상당한 것으로 알려진 바 있으며, 이를 유의파고 HS를 중심으로 기술하면 다음과 같다(Longuet-Higgins, 1952).
(1)
FH(h)=P[H<h]=1exp[2(hHS)2]
여기서 P[H < h]는 불규칙 파고 Hh보다 작은 확률을 나타낸다.

3.1.2 수정 Glukhovskiy 분포

유한 수심의 경우 천수, 굴절 등과 같은 변형으로 인해 파랑의 비선형성은 무시할 수 없을 정도로 증가하며, 파고 성장이 수심에 의해 제한하는 쇄파로 인해 파고분포는 상당한 변화를 겪게 된다. 전술한 유한 수심에서의 파동계를 대상으로 한 파고 분포함수는 Glukhovskiy(1966)에 의해 처음 제시된 바 있다. Glukhovskiy(1966)의 초기 모형은 이 변량 Weibull 분포에 기초하며 분포함수의 모수는 수심 d에 대한 평균파고 HMEAN의 상대적 크기(d~ =HMEAN/d)에 의해 결정된다. 이 후 Battjes(1986) 등에 의해 Glukhovskiy(1966)의 초기 모형이 지니는 모수 산정 과정의 불확정성이 지적되어 왔으나, 이를 개선한 수정 모형이 Klopman과 Stive(1989), Klopman (1996) 등에 의해 제시된 이래, 수정 Glukhovskiy 분포는 대표적인 천해역 파고분포로 간주 되어왔으며(van Vledder et al., 2013), 수정 Glukhovskiy 파고분포 함수 FH(h)를 기술하면 다음과 같다.
(2)
FH(h)=P[H<h]=1exp[A(hHMEAN)κ]
여기서 Aκ는 수정 Glukhovskiy 파고분포 함수의 모수로 d~에 종속하며 다음과 같이 산출될 수 있다.
(3)
κ=21d˜
(4)
A=[Γ(1κ+1)κ]
식(2)에 정의된 수정 Glukhovskiy 파고분포 함수는 심해역[d→∞]에서는 Rayleigh 분포로 수렴되는 것을 알 수 있다.

3.1.3 복합 Weibull 파고분포

전절에서 다룬 수정 Glukhovskiy 분포는 유한수심을 지니는 해역에서의 대표적인 파고분포로 간주 되어왔으나(van Vledder et al., 2013), 천수의 마지막 단계에서 진행되는 쇄파가 지배적인 쇄파역에서는 상당히 보수적인 값을 주는 것으로 보고된 바 있다(van Vledder et al., 2013). Battjes와 Groenendijk(2000)는 전술한 단점을 개선하기 위해 파고 표본 공간을 두 개로 분리하여 쇄파로 인한 파고감쇄를 설명한 복합 Weibull 파고분포를 제시한 바 있다.
정규화된 파고 h~ =h/Hrms를 대상으로 한 복합 Weibull 누적 파고분포함수(cumulative distribution function) FH~(h~)을 기술하면 다음과 같다(Battjes and Groenendijk, 2000).
(5)
FH˜(h˜)=P[H˜h˜]={1exp[(h˜H˜1)κ1],h˜<H˜tr1exp[(h˜H˜2)κ2],h˜H˜tr
파고분포함수의 미분으로 정의되는 확률밀도함수 fH~(h~)를 기술하면 다음과 같다(Ochi, 1990).
(6)
fH˜(h˜)=dFH˜(h˜)dH˜={κ1H˜1κ1H˜κ11exp[(h˜H˜1)κ1],h˜<H˜trκ2H˜1κ2H˜κ21exp[(h˜H˜2)κ2],h˜H˜tr
여기서 H~1=H1/Hrms, H~2=H2/Hrms, Hrms는 제곱평균제곱근 파고를 나타내며, 천이파고 H~tr=Htr/Hrms는 다음과 같이 기술될 수 있다(Battjes and Groenendijk, 2000).
(7)
Htr=(0.35+5.8dtanα)Hrms
식(7)에서 d는 수심, α는 해저면 경사를 각각 나타낸다.
식(5)에서 알 수 있듯 복합 Weibull 분포함수의 구체적 형태를 결정하는 것은 k1, k2, H~1, H2~, H~tr로 그 산출과정을 정리하면 다음과 같다.
- 천이파고(h~=H~tr) 에서 분포함수는 연속해야 하며 이로부터 다음과 같은 관계식을 얻을 수 있다.
(8)
(H˜trH˜1)κ1=(H˜trH˜2)κ2
- 정규화된 복합 Weibull 확률밀도함수의 이차 모멘트(variance)는 일이므로 이와 관계된 적분을 수행하여 얻은 관계식을 기술하면 다음과 같다.
(9)
H˜12γ[2k1+1,(H˜trH˜1)κ1]+H22Γ[2k2+1,(H˜trH˜2)κ2]=1
여기서 γ [•], Γ[•]는 incomplete gamma function으로 다음과 같이 기술될 수 있다.
(10)
γ[a,x]=oxetta1dt
(11)
Γ[a,x]=xetta1dt
- Battjes and Groenendijk(2000)에 준거하여 정규화된 복합 Weibull 확률밀도함수가 먼 바다에서 Rayleigh 분포를 수렴되어야 한다는 조건을 충족하기 위해 계수 κ1, κ2를 다음과 같이 특정할 수 있다.
(12)
κ1=2κ2=3.6
전술한 Weibull 분포함수 매개변수 k1, k2, H~1, H2~, H~tr의 산출과정을 살펴보면 파고 분산 mo이 특정되는 경우 특정된 해역에서의 임의의 파고에 대한 초과확률과 해상작업이 불가능한 기간의 정량적 평가가 가능하다는 것을 알 수 있으며, 여기서 mo는 다음과 같이 기술될 수 있다.
(13)
mo=Sζζ(ω)dω
상기 식에서 Sζζ(ω)는 파랑 스펙트럼, ω는 각 주파수를 각각 나타내며, 파고가 Rayleigh 분포를 추종하는 경우 Hrms는 파고 분산 mo으로 기술이 가능하며 이를 옮겨 적으면 다음과 같다.
(14)
Hrms=8mo
Battjes와 Groenendijk (2000)에 준거하면 쇄파가 진행되는 천해역의 경우 Hrms는 파고 분산 mo뿐만 아니라 수심 d에도 종속하며 이를 정리하면 다음과 같다.
(15)
Hrms=mo(2.69+3.24mod)

3.2 장기 파랑 자료를 위한 장기분포(Long term distribution)

장기 유의파고 확률분포함수로 문헌에서 가장 선호되던 모형은 삼 변량 Weibull 분포함수 FH(h)로 이를 기술하면 다음과 같다(Forristall, 2008),
(16)
FH(h)=P[H<h]=1exp[(hμHHL)κL]
여기서 μh, HL, κL는 삼 변량 Weibull 분포함수의 모수로 자료 회귀분석에 의해 결정된다.

4. 개별 파랑이 고려된 파고분포 산출 - Borgman 선회적분

논의를 전개하기 위해서는 Borgman 선회적분(Borgman, 1973)의 유도과정을 살펴볼 필요가 있으며, 이를 정리하면 다음과 같다.
역 추산 단위 간격인 한 시간 내에서 출현 할 수 있는 파랑 시계열 자료를 Fig. 3에 예시하였다. 각 구간에서 파랑의 주기를 10초로 가정하는 경우 각 구간에서는 총 N = 360개의 파랑이 발생할 수 있으며, 개별 파랑의 파고가 Rayleigh 분포를 추종하다는 가정을 수행하는 경우 첫 번째 파랑의 파고 Hh보다 작은 확률 P[H < h|HS]은 다음과 같이 기술될 수 있으며,
(17)
P[H<h|HS]=1exp[2(hHS)2]
여기서 괄호안의 HS는 역 추산 단위 간격인 한 시간 내에서 유의파고 HS가 특정된다는 것을 의미하며 대문자 P, H식(1)에 기 정의한 것처럼 각각 확률과 무작위 파고를 나타낸다.
역 추산 단위 간격인 한 시간 내에서 Hh보다 작은 확률 P[H < h]은 한 시간 내에서 출현하는 총 N개 파랑에서 전술한 조건이 모두 충족되어야만 하므로 다음과 같이 기술될 수 있으며
(18)
P[H<h]=P[H<h|HS]×P[H<h|HS]×=(P[H<h|HS])N
수치모의된 유의파고 시계열 자료가 K개라면 총 모의 기간 안에 Hh보다 작은 확률 FH(h)는 최종적으로 다음과 같이 기술될 수 있다.
(19)
FH(h)=i=1K(Pi[H<h|HS)Ni
보다 효율적인 계산을 위해 대수를 취하는 경우 상기 식은 다음과 같이 전환되거나,
(20)
log[FH(h)]=i=1KNilog(Pi[H<h|HS])
혹은 다음과 같이 기술될 수 있다.
(21)
FH(h)=P[H<h]=exp{i=1KNilog(Pi[H<h|HS])}
식(21)Battjes(1972)Borgman(1973)에 의해 처음 유도되어 Borgman 선회적분이라 불리며, 이 후 다양한 형태로 진화된다(Forristall, 2008). 본 논문에서는 다양한 형태의 Borgman 선회적분을 구분하기 위해 식(21)에 정의된 초기 형태의 Borgman 선회적분을 직접법으로 분류한다. 유의파고의 모의기간이 15년인 경우 식(21)에서 K = 15 × 365 × 24 = 131,400이며, 유의파고 확률밀도함수 fHS(h)가 주어진 경우 식(21)에 정의된 Borgman 선회적분은 다음과 같이 기술될 수 있다.
(22)
FH(h)=P[H<h]={j=1MPj[H<h|HS]fHS(h)Δh}K
여기서 M은 수치해석의 편의를 위해 잘게 분류한 유의파고 표본공간의 총 구간 수, Δh는 유의파고 구간 간격, fHS(h)Δh는 유의파고가 hh + Δh 사이의 값을 지닐 수 있는 확률을 각각 나타낸다(Fig. 4 참조). 식(22)는 Borgman 선회적분을 유의파고 분포(수정 Glukhovskiy 분포)를 활용한 기댓값으로 치환하는 방법으로 보다 효율적인 파고분포 산출이 가능하며 이후 본 논문에서는 간접법으로 분류한다.

5. 파랑 특성

5.1 기후변화로 인한 파황 변화 여부에 관한 검토

최근 우리나라 해안 공학계 일각에서 제기되고 있는 기후 변화로 인해 파황에 상당한 변화가 진행되고 있다는 우려(Korean Ministry of Oceans and Fisheries, 2014)를 정량적으로 평가하기 위해 JMA(Japan Meterological Agency)와 NOAA(National Oceanic and Atmospheric Administration)의 해상풍 자료와 SWAN에 기초하여 2003년 1월 1일부터 2017년 12월 31일까지 한 시간 간격으로 역 추산된 수심이 20 m 내외인 울산 전면 해역에서의 유의 파고와 첨두 주기 시계열 자료를 살펴보았다. Fig. 5에는 수치 모의된 유의파고와 첨두주기 시계열 자료를, Fig. 6에는 계절별 파랑 특성을 살펴보기 위해 2003년부터 2017년 까지 년 유의파고 시계열 자료를 각각 도시 하였다. 년 최대파고는 주로 7월 중순에서 9월 말 사이에 태풍과 연계되어 발생하는 것으로 보인다. Fig. 7에는 2003년부터 2017년까지의 년 최대파고 HMAX, 파고 표준 편차 σH, 평균 파고 HMEAN 변화추이를 도시하였다. 우리나라 해안공학계 일각의 우려(Korean Ministry of Oceans and Fisheries, 2014)와는 달리 기후변화가 파고에 미치는 영향은 아직까지는 유의미한 인과관계를 찾아 볼 수 없었다.
Fig. 8에는 기후변화가 파황에 미치는 영향이 보다 확연할 것으로 예상되는 최근 파랑자료를 후반기(2013.1.1.~2017.12.31.)로 분류하고 나머지를 전반기(2003.1.1.~2012.12.31.)로 분류하고 각각의 기간을 대상으로 산출한 파랑 장미도를 도시하였으며, 여기서 방사방향에서의 수치는 발생확률을 나타낸다.
최근 들어 파향에는 유의미한 변화가 진행 중인 것으로 보이며, 이러한 변화는 전 파향이 시계방향으로 5º 내외로 이동하는 형태로 나타났다. 이러한 파향 변화는 준 평형상태에 있는 해빈 표사계의 균형을 훼손할 만한 기작으로 충분해 보이나, 본 논문에서 다루는 해상작업 가능기간에 미치는 영항은 미미한 것으로 판단하여 이후 다루지 않는다.
Fig. 9에는 입사각도별 파고 확률분포를 도시하였다. 2.3 m 이상의 고파랑은 β = 43º(Fig. 1 참조)인근에서 출현하며 동계 파랑이 하계 파랑보다 상대적으로 크다는 것을 알 수 있다.

5.2 파고와 주기의 상관성

파랑주기는 해양작업선의 거동에 영향을 미칠 수 있는 물리량으로 보이나 파고에 비해 소홀히 다루어져 왔다. 그 결과 파랑이 지니는 비선형성이 주기에 미치는 영향에 대해서도 의견이 엇갈려, 큰 파랑의 경우 파마루와 주기는 상호 독립적인 추계학적 과정으로 이해하는 시각과 상관관계가 존재한다는 의견이 공존해왔다(Cavanie et al., 1976; Goda, 1979; Longuet-Higgins, 1983; Tayfun, 1993). 최근 Park과 Cho(2019) 등의 연구에 의하면 비선형 파동계의 경우 파고와 주기의 상관성이 유지되는 영역은 큰 파고와 긴 주기 방향으로 확대되나, 파고가 임계파고를 상회하는 경우 상관성은 소멸되어 주기는 성장을 멈추는 것으로 밝혀진 바 있다.
그러나, 해상작업이 황천 시 출현하는 큰 파랑이 지배적인 수환경에서 진행되는 것은 아니므로 해상작업 가능기간 산정을 위한 확률모형에 주기 포함 여부를 결정하기 전에 해상 준설 작업 한계 파고로 알려진 HS = 1.5 m(Lee, 1991) 언저리에서의 파고와 주기의 상관성을 살펴보는 것은 상당한 공학적 의미를 지닌다.
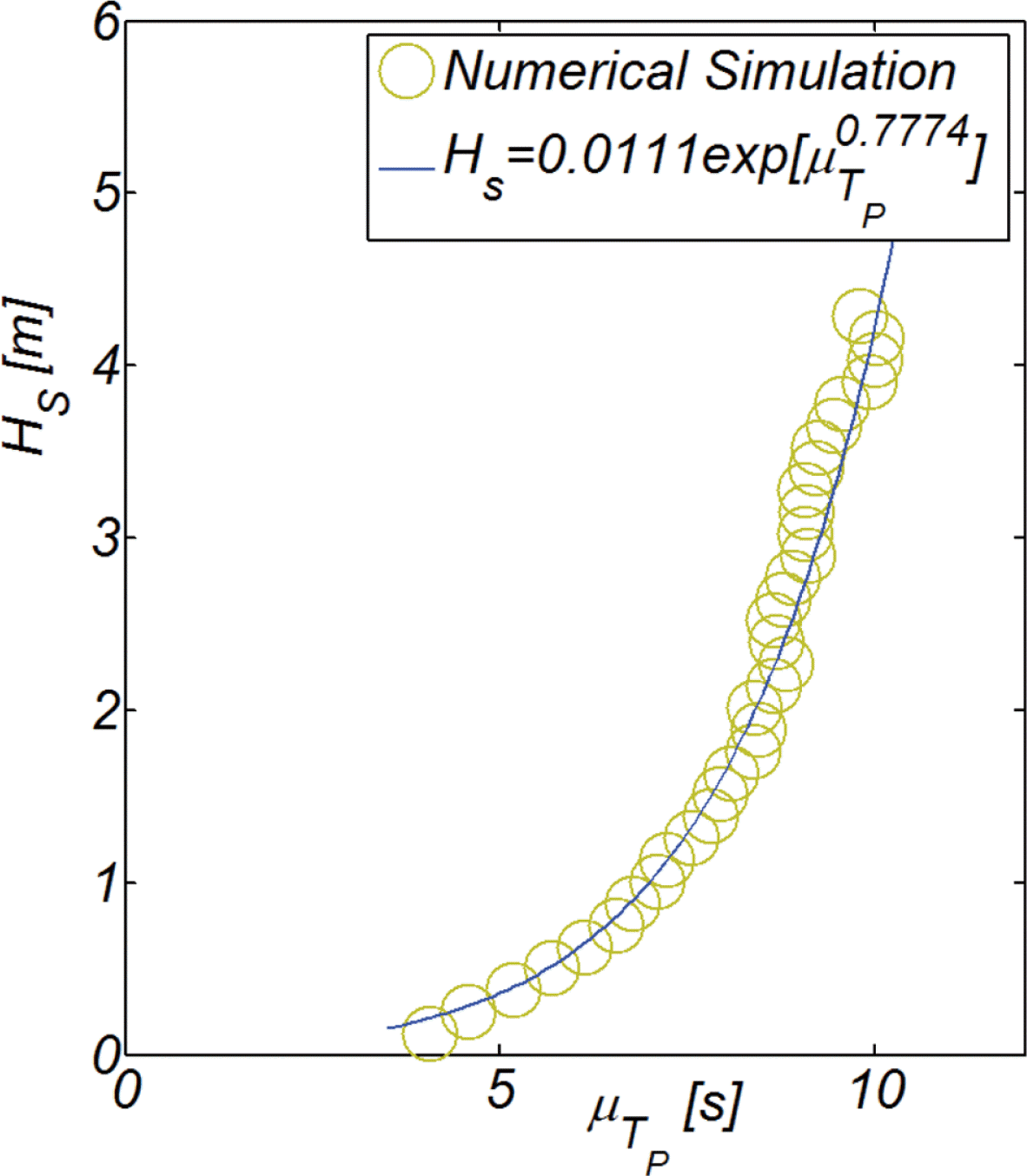
Fig. 10에는 수치 모의된 유의파고와 첨두 주기 시계열 자료부터 유추한 유의파고와 첨두 주기 결합 확률밀도함수를 도시하였으며, Fig. 11에는 첨두 주기 확률밀도함수를 도시하였다. [HS ≤ 1.5 m, Tp ≤ 7 s], [HS ≤ 2 m, Tp ≤ 8 s]인 파랑의 점유율은 각각 50.7%, 72.2%로 상당하다는 것을 알 수 있다. Fig. 12에는 파고별 최빈주기 μTp를 도시하였다. 파고가 상대적으로 작은 경우 파고와 주기는 상당한 상관관계를 지니는 것을 알 수 있으며 회귀분석 결과를 정리하면 다음과 같다.
(23)
HS=0.0111eμTp0.7774
이상의 해석결과로부터 얻은 결론을 정리하면 다음과 같다.
- 해상작업 한계파고는 공정에 따라 상이하며 HS = 0.9~2.0 m 사이에 분포한다(Lee, 1991).
전술한 대역에서 파고와 주기는 상당한 상관성을 지닌다.
- 따라서 주기가 해양작업선의 거동에 미치는 영향은 파고에 기 반영된 것으로 판단되며, 이 후 해상작업 가능기간 산정 확률모형은 파고를 중심으로 구성한다.

6. 해상작업 가능 기간 산정

6.1 장기 유의파고 확률분포함수를 중심으로

Fig. 13에는 15년간에 걸쳐 수치 모의된 유의파고 시계열 자료 빈도 해석결과를 도시하였으며 비교를 위해 Rayleigh 확률밀도함수, 수정 Glukhovskiy 확률밀도함수, 본 논문에서 수정 Glukhovskiy 분포를 근간으로 하여 최소자승법으로 유도한 확률밀도함수를 함께 도시하였다. Rayleigh 확률밀도함수의 경우 오차가 상당하였다. 이러한 결과는 Rayleigh 확률밀도함수가 지속시간이 여섯 시간 내외의 단일한 폭풍사상에서 발생한 풍성파(CIRIA and CUR, 1995)를 대상으로 하는 단기 확률모형으로 장기간에 걸친 불규칙 파랑에 적용하는 경우 오류를 야기할 수 있다는 사실을 상기하면 수용 가능해 보인다. 빈도해석 결과와의 일치도는 그 동안 선호되던 삼 변량 Weibull 분포보다는 수정 Glukhovskiy 분포를 근간으로 본 논문에서 최소 자승법으로 유도한 파고 확률밀도함수 fH(h)에서 가장 우월하였으며 이를 기술하면 다음과 같으며,
(24)
fH(h)=dFH(h)dh=ApHp(hHp)κp1exp[A(hH)κp]
이를 분포함수로 기술하는 경우 다음과 같으며,
(25)
FH(h)=P[H<h]=1exp[A(hHp)κp]
여기서 수정 Glukhovskiy 분포의 모수 Ap, Hp, κp는 신뢰수준 95%에서 각각 Ap= 15.92, Hp= 4.374 m, κp= 1.824로 산출되었다.
이러한 결과는 장기 유의파고 확률분포함수로 가장 선호되던 삼 변량 Weibull 분포함수에서 일치도가 가장 우월하리라는 우리의 예상을 벗어난 것으로 이러한 차이는 본 논문에서 다루는 해역의 수심이 20 m 내외의 유한 수심이라는 점과 이로 인해 비선형성과 공진성 상호작용 등이 상당할 수 있다는 점을 고려하는 경우 설명될 수 있다. 이 경우 풍성파는 이미 포화상태로 이는 백파현상으로 이어질 수 있다. 이러한 추정의 논거는 수정 Glukhovskiy 분포가 유한 수심을 대상으로 개발되었으며, 유도과정에 파고 성장이 수심에 의해 제한된다는 점이 고려되었다는 사실에서 찾을 수 있다.
Fig. 14(a), (b)에는 수치 모의된 유의파고 시계열 자료 빈도해석 결과로부터 산출한 파고 분포함수 FH(h)를 도시하였으며 비교를 위해 수정 Glukhovskiy 분포함수, 본 논문에서 수정 Glukhovskiy 분포를 근간으로 하여 제시된 분포함수를 함께 도시하였다. Fig. 14(c)에는 전술한 세 가지 파고 분포함수의 차이를 보다 확연하게 드러내기 위해 로그-로그 스케일에서 도시한 결과를 수록하였다. 유의 파고가 상대적으로 작은 경우 본 논문의 파고 분포함수가 수치 모의된 유의파고 시계열 자료 빈도해석 결과를 초과하나, 공학적으로 유의미한 대역에서는 일치도가 상당하다는 것을 알 수 있다. 비교를 위해 본 논문에서 유도한 분포함수를 토대로 산출된 재현주기가 1년, 15년인 유의파고를 정리하면 각각 다음과 같다.
(26.1)
HS1year=3.21m
(26.2)
HS15year=3.70m

6.2 개별 파랑이 고려된 파고 누적 확률분포함수를 중심으로

역 추산 단위 간격인 한 시간 내에서 출현 할 수 있는 개별 파랑을 고려하는 경우 파고 누적확률 분포 함수 FH(h)는 다음과 같이 기술될 수 있다.
(27)
FH(h)=P[H<h]=exp{i=1KNilog(Pi[H<h|HSi])}=exp{i=1KNilog(1exp[2(hHSi)2])}
식(27)의 유도과정에서는 개별 파랑의 파고가 Rayleigh 분포를 추종하다는 가정을 수행하였으며, Ni는 역 추산 단위 간격인 한 시간 내에서 출현 할 수 있는 파랑 수를 나타내며 다음과 같이 산출될 수 있다.
(28)
Ni=3600Tm
여기서 Tm은 평균 주기를 나타내며 첨두 주기 Tp로부터 다음과 같이 산출될 수 있다(Ahn et al., 2013).
(29)
Tm=1.931×106TP6.089+6.092[s]
유한 수심을 고려하는 경우 식(27)의 Rayleigh 분포는 수정 Glukhovskiy 분포로 치환될 수 있다. 수정 Glukhovskiy 파고분포 함수 FH(h)를 유의파고 HS를 중심으로 기술하고 식(27)에 대입하면 식(27)은 다음과 같이 전환되며
(30)
FH(h)=P[H<h]=exp{i=1KNilog(1exp[A(hHMEANi)κ])}=exp{i=1KNilog(1exp[A(hπ8HSi)κ])}
여기서 Aκ는 Glukhovskiy 파고분포 함수의 모수로 식(3), (4)에 정의된 바 있다.
Fig. 15(a), (b)에는 출현빈도가 상대적으로 우월한 HS = 0.8m 내외의 파랑이 출현한 2004년 4월 16일 2시부터 2004년 4월 16일 18시까지 16시간의 유의파고 시계열 자료와 2004년 4월 16일 2시부터 2004년 4월 21일 10시까지 128시간의 유의파고 시계열 자료를 대상으로 식(22)에 정의된 Borgman 선회적분을 수행하여 얻은 파고분포 함수를 각각 도시하였으며, 비교를 위해 수치 모의된 유의파고 시계열 자료 빈도해석 결과로부터 산출한 파고 분포함수도 함께 도시하였다. 개별 파랑이 고려된 파고분포함수는 수치 모의 결과와는 상당한 차이를 보이며 이러한 차이는 파랑 지속시간이 길어질수록 더욱 증가하는 것을 알 수 있다.
상기한 차이의 생성요인을 정리하면 다음과 같다.
- 실제 자연계에서 큰 파랑은 상대적으로 큰 상관성으로 지니며, 따라서 발생횟수는 상대적으로 작으나 한 번 발생하면 수십 회에 걸쳐 연속해서 발생한다.
- 개별 파랑이 고려된 파고 확률분포의 경우, 수십 회에 걸쳐 연속해서 발생한 큰 파랑이 모두 반영되나, 수치 모의된 유의파고 시계열 자료 빈도해석에서는 일 회 발생한 것으로 간주되는 서로 상이한 해석 방법으로 인해 전술한 차이가 발생한 것으로 보인다.
- 이러한 개별 파랑이 고려된 파고분포 함수가 overshooting하는 경향은 Tucker와 Pitt(2001)에 의해서도 기 보고된 바 있다.
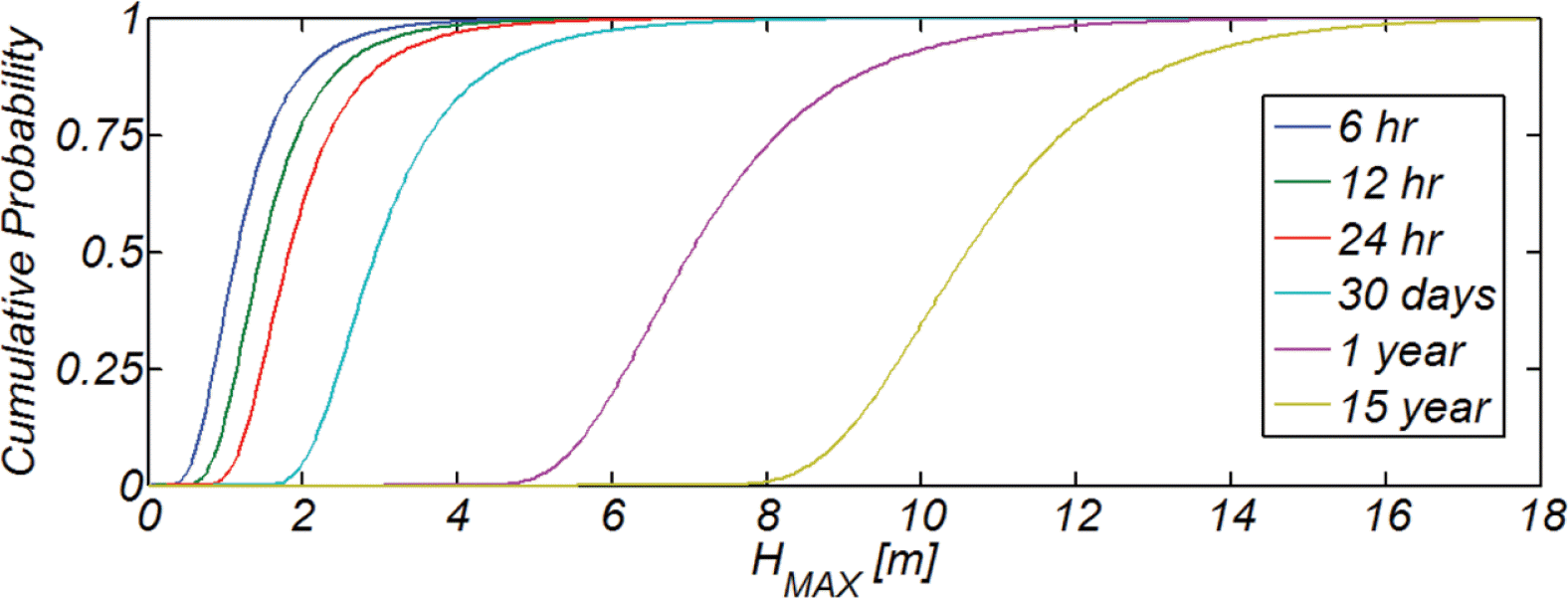
Fig. 16에는 지속시간 TD이 2004년 4월 16일 2시부터 각각 6시간, 12시간, 24시간, 30일, 1년, 2003년 1월 1일부터 15년인 풍성파를 대상으로 식(22)에 정의된 Borgman 선회적분을 수행하여 얻은 파고분포 함수를 도시하였다. 이 과정에서 유의파고의 확률밀도함수는 본 논문에서 수정 Glukhovskiy 분포를 근간으로 하여 최소 자승법으로 유도한 확률밀도함수가 사용되었다(식(22) 참조).
이해를 돕기 위해 Fig. 17(a), (b), (c)에는 Monte Carlo Simulation 기법(Ochi, 1990)을 활용하여 Fig. 13에 제시된 파고분포함수로부터 모의된 파고 시계열 자료를 예시하였으며, 지속시간이 길어질수록 상대적으로 큰 파랑의 출현빈도가 증가하는 것을 알 수 있다.
이상의 모의결과 분석으로부터 얻은 결론을 정리하면 다음과 같다.
- 개별 파랑이 고려된 파고 확률분포함수가 완성도 면에서 가장 우월한 확률모형으로 보인다.
- 그러나 해상작업 가능기간 산정을 위한 확률모형으로 활용되는 경우,
- 해상작업 가능 여부를 초 단위로 판단하고 총 누적시간으로 해상작업 가능 일수를 산출하게 된다.
- 그러나 이 경우 일 회에 걸쳐 임계파고를 초과한 단발성 파랑도 수일에 걸쳐 임계 파고를 초과하는 풍성파와 동일하게 취급되며 전술한 단발성 파랑이 15년에 걸쳐 누적되는 경우 상당한 오류를 야기할 수 있다.
- 따라서 개별 파랑이 고려된 파고 확률분포함수는 발생 가능성은 낮으나 발생하면 항 외곽시설의 내구성 여부를 결정짓는 설계파랑의 선정과정에 중요한 역할을 수행할 수 있을 것으로 판단된다. 단, 여기서 다루게 되는 파고는 그 동안 선호되던 유의파고 HS가 아니라 최대 파고 HMax임을 상기할 필요가 있다.

6.3 한계 파고를 상회하는 파랑의 지속시간을 중심으로

전절에서 다룬 확률모형의 검증자료를 얻기 위해 파고가 준설 한계 파고로 알려진 HS = 1.5 m(Lee, 1991)를 상회하여 지속되는 시간을 수치모의된 유의파고 시계열 자료를 파별해석(wave by wave analysis)하여 산출하였다. 지속시간은 한계 파고 상향통과 시점으로부터 연이어서 발생하는 하향통과 시점까지로 정의하였으며 Fig. 18(a), (b)에는 이해를 돕기 위해 관측된 상향통과 시점과 하향통과 시점을 예시하였다. Fig. 19에는 지속시간 빈도해석 결과를 선별하여 도시하였다. 2003년의 경우 HS > 1.5m인 파랑이 TD = 134.5 hr[5.6 days] 동안 지속되는 고파가 일 회 발생하였으며 가장 긴 지속시간은 TD = 151.9 hr[6.3 days)으로 2016년에 발생하였다. 년도 별 한계 파고[HS = 1.5m]를 상회하는 총 누적 지속시간은 Table 2에 수록하고, Fig. 20(a)에 도시하였다.
기후변화가 파황에 미치는 영향은 아직까지는 미미하다는 것을 다시 한 번 확인 할 수 있으며 2003년부터 2017년까지의 평균 지속기간은 45.5일로 확률모형으로부터 산출된 기간에 상당히 근접하는 것을 알 수 있다(Table 1 참조). 이러한 결과는 한계 파고를 상회하는 총 누적 지속시간과 파고는 서로 밀접하게 연계되어 있는 무작위 사상이라 사실에 기인하는 것으로 보인다. 이러한 추정을 뒷받침하기 위해 Fig. 20(b)에는 년도 별 최대파고와 총 누적 지속시간을 함께 도시하였으며, 전술한 두 가지 무작위 사상의 상관계수는 ρHMax,TD = 0.775로 산출되었다.

7. 결 론

거친 해양환경에서 진행되기 마련인 항 외곽시설 건설과정에서 충분한 안전성을 확보하기 위해서는 공정관리계획에 공정별 해상작업 가능 기간이 상당한 정도로 반영되어야 한다. 그러나 현재 우리나라에서는 전술한 기간 산정이 상당히 주관적인 판단아래 진행되고 있어 합리적 기준 마련이 시급해 보인다. 이러한 인식에 기초하여 본 논문에서는 먼저, JMA(Japan Meterological Agency), NOAA(National Oceanic and Atmospheric Administration)의 해상풍 자료와 SWAN에 기초하여 2003년 1월 1일부터 2017년 12월 31일까지 한 시간 간격으로 수심이 20 m 내외인 울산 전면 해역에서의 유의 파고와 첨두 주기 시계열 자료를 역 추산하였다. 이어 모의된 유의파고 시계열 자료로부터 최소 자승법을 활용하여 장기 유의파고 확률분포를 도출하였다. 해석결과 그 동안 선호되던 three parameter Weibull 분포보다는 수정 Glukhovskiy 분포 계열에서 일치도가 가장 우월하였다.
이러한 결과는 우리의 예상을 벗어난 것으로 본 논문에서 다루는 해역의 수심이 20 m 내외의 유한 수심이라는 점과 이로 인해 비선형성과 공진성 상호작용 등이 상당할 수 있으며 이 경우 풍성파는 이미 포화상태로 이는 백파현상으로 이어질 수 있다는 사실에 기인하는 것으로 추정된다. 이러한 추정의 논거는 수정 Glukhovskiy 분포가 유한 수심을 대상으로 개발되었으며, 유도과정에 파고 성장이 수심에 의해 제한하는 쇄파가 고려되었다는 사실에서 찾을 수 있다.
이어 보다 정확한 해상작업 가능기간 산정이 가능한 확률모형의 개별 가능성을 검토하기 위해 역 추산 단위 간격인 한 시간 내에서 출현하는 개별 파랑이 고려된 파고분포를 유도하였다. 이를 위해 먼저 개별 파랑의 파고는 Rayleigh 분포를 추종한다는 가정을 수행하였으며, 이어 개별 파랑의 파고분포함수를 유의파고를 중심으로 기술하고, 이를 15년에 걸쳐 모의된 유의파고 시계열 자료에 대해 Borgman Integral이라 불리는 선회적분을 수행하여 개별 파랑이 고려된 파고분포를 유도하였다. 이 과정에서 보다 효율적인 파고분포 산출을 위해 전술한 Borgman Integral은 상기한 직접법외에도 선회 적분과정을 유의파고 확률밀도함수 (수정 Glukhovskiy 분포)를 활용한 기댓값으로 치환하는 방법도 병행하여 수행하였다.
모의결과 개별 파랑이 고려된 파고분포함수는 수치 모의된 유의파고 시계열자료 빈도해석 결과와는 상당한 차이를 보였으며, Tucker와 Pitt(2001)의 연구에서와 같이 개별 파랑이 고려된 파고분포 함수가 overshooting 하는 경향을 보였다. 이러한 차이는 실제 자연계에서 상대적으로 큰 파랑은 상대적으로 높은 상관성으로 지니므로, 발생횟수는 작으나 한 번 발생하면 수십 회에 걸쳐 연속해서 발생한다. 개별 파랑이 고려된 파고 확률분포의 경우, 수십 회에 걸쳐 연속해서 발생한 큰 파랑이 모두 반영되나, 수치 모의된 유의파고 시계열 자료 빈도해석에서는 일 회 발생한 것으로 간주되는 등 서로 상이한 해석 방법으로 전술한 차이가 발생한 것으로 보인다.
따라서 개별 파랑이 고려된 파고 확률분포함수가 완성도 면에서 가장 우월한 확률모형이라는 사실에는 이론의 여지가 없으나, 해상작업 가능기간 산정을 위한 확률모형으로 활용되는 경우, 해상작업 가능 여부를 초 단위로 판단하게 되며, 총누적시간으로 해상작업 가능 일수를 산출하게 된다. 이 경우 일 회에 걸쳐 임계파고를 초과한 단발성 파랑도 수일에 걸쳐 임계 파고를 초과하는 풍성파와 동일하게 취급되며 전술한 단발성 파랑이 15년에 걸쳐 누적되는 경우 상당한 오류를 야기할 수 있다. 따라서 개별 파랑이 고려된 파고 확률분포함수는 발생 가능성은 낮으나 출현하면 항 외곽시설의 내구성 여부를 결정짓는 설계파랑의 선정과정에 중요한 역할을 수행할 수 있을 것으로 판단된다. 단, 설계파랑 선정과정에서 다루는 파랑은 그 동안 선호되던 유의파고 HS가 아니라 최대파고 HMax임을 상기하고자 한다.
전술한 검토결과를 토대로 해상작업 가능기간을 산정하였으며 이 과정에서 유의파고의 확률밀도함수로는 본 논문에서 수정 Glukhovskiy 분포를 근간으로 하여 최소 자승법으로 유도한 확률밀도함수가 사용되었다. 수정 Glukhovskiy 분포의 모수는 Ap= 15.92, Hp= 4.374m, κp= 1.824이며 해상작업 한계 파고가 HS = 1.5m인 경우 작업가능일 수는 319일로 모의되었다.
이와 더불어 확률모형의 검증자료를 얻기 위해 파고가 해상 준설작업 한계 파고로 보고된 바 있는 HS = 1.5m를 상회하여 지속되는 시간을 유의파고 시계열 자료를 파별해석(wave by wave analysis)하여 산출하였다. 지속시간은 한계파고 상향통과 시점으로부터 바로 후행하는 하향통과 시점까지로 정의하였으며, 산출결과 2003년부터 2017년까지의 평균 지속기간은 45.5일로 확률모형으로부터 산출된 기간에 상당히 근접하였다. 이러한 결과는 한계 파고를 상회하는 총 누적 지속시간과 파고는 서로 밀접하게 연계되어 있는 무작위 사상이라 사실에 기인하는 것으로 보이며, 전술한 두 가지 무작위 사상의 상관계수는 0.775로 산출되었다.

Fig. 1.
Computational domain for the numerical simulation based on SWAN and global coordinate system.
jkscoe-31-3-115f1.tif
Fig. 2.
Comparison of numerically simulated significant wave height with the measurement by KMA Ulsan buoy.
jkscoe-31-3-115f2.tif
Fig. 3.
Schematic sketch of individual waves occurring during unit segment (1 hr) of numerically simulated significant wave height over long term.
jkscoe-31-3-115f3.tif
Fig. 4.
Schematic sketch of the probability density function of Hs and its partition for the numerical simulation.
jkscoe-31-3-115f4.tif
Fig. 5.
Time series of numerically simulated significant wave height and its associated period off Ulsan from 2003.1.1 to 2017.12.31 using the meteorological data and SWAN.
jkscoe-31-3-115f5.tif
Fig. 6.
Time series of numerically simulated significant wave height from 2003 to 2017.
jkscoe-31-3-115f6.tif
Fig. 7.
Variation of HMAX, σH, HMEAN from 2003 to 2017.
jkscoe-31-3-115f7.tif
Fig. 8.
Wave rose at the sea off UlSan.
jkscoe-31-3-115f8.tif
Fig. 9.
Joint probability density function of significant wave height and its associated incident angle.
jkscoe-31-3-115f9.tif
Fig. 10.
Joint distribution of significant wave height and its associated peak period.
jkscoe-31-3-115f10.tif
Fig. 11.
Probability density function of Tp.
jkscoe-31-3-115f11.tif
Fig. 12.
Co-relationship between the significant wave height and its associated mode of peak period detected by regression analysis.
jkscoe-31-3-115f12.tif
Fig. 13.
Comparison of probability density functions.
jkscoe-31-3-115f13.tif
Fig. 14.
Comparison of significant wave height probability distribution functions with the modified Glukhovskiy and the one derived in this study using least square method.
jkscoe-31-3-115f14.tif
Fig. 15.
Wave height cumulative probability distribution with individual waves being fully accounted for based on the direct implementation of Borgman integral.
jkscoe-31-3-115f15.tif
Fig. 16.
Wave height cumulative probability distribution with individual waves being fully accounted for based on the indirect implementation of Borgman integral.
jkscoe-31-3-115f16.tif
Fig. 17.
Sampled time series of wave height using the wave height probability distribution functions depicted in Fig. 13 based on the Monte Carlo simulation technique.
jkscoe-31-3-115f17.tif
Fig. 18.
Locations of up-crossing and down-crossing of threshold HS = 1.5 m in 2003 detected using wave by wave analysis.
jkscoe-31-3-115f18.tif
Fig. 19.
Frequency analysis of duration time of wave height exceeding the critical wave height.
jkscoe-31-3-115f19.tif
Fig. 20.
Variation of total duration period and correlation of total duration period of waves exceeding the critical wave height with HMAX.
jkscoe-31-3-115f20.tif
Table 1.
List of yearly workable period corresponding to the varying threshold wave height
Wave height [m] 0.9 1.0 1.1 1.2 1.3 1.4 1.5
Workable period [days] 185 214 241 265 286 304 319
Table 2.
List of total duration period of wave the height of which exceeds the critical wave height [HS= 1.5 m] from 2003 to 2017
Year 2003 2004 2005 2006 2007 2008 2009 2010 2011 2012 2013 2014 2015 2016 2017
Non-workable period [days] 63.6 53.5 51.3 60.0 38.9 26.5 39.2 46.8 41.7 33.9 39.3 46.0 50.3 50.1 42.1

References

Ahn, KM, Chun, HS, Jeong, WM, Park, DD, Kang, TS, Hong, SJ (2013). Analysis of the wave spectral shape parameters for the definition of swell waves, Journal of Korean Society of Coastal and Ocean Engineers, 25(6):394-404.
crossref
Battjes, JA (1972). Long term wave height distribution at seven stations around the British Isles. Deutschen Hyd, Zeitschrift, 25, 179-189.

Battjes, JA. (1986). Energy dissipation in breaking solitary and periodic waves. Delft Univ. of Technology, Communic. on Hydr. and Geotechn. Engng, Rep. No. 12 and 86-5..

Battjes, JA, Groenendijk, HW (2000). Wave height distributions on shallow foreshores, Coastal Engineering, 40, 161-182.
crossref
Borgman, LE (1973). Probabilities for highest wave in hurricane, J. Waterways, Harbors and Coastal Engineering, ASCE; 99(WW2):185-207.

Cavanie, A, Arhan, M, Ezraty, R (1976). A Statistical Relationship between Individual Heights and Periods of Storm Waves, Proc. Conf. on Behaviour of Offshore Structures, 2, 354-360.

CIRIA and CUR. (1995). The Rock Manual, The use of rock in hydraulic engineering. C683, CIRIA, London.

Forristall, GZ. (2008). How should we combine long and short term wave height distributions?. Proceedings of OMAE08 27th International Conference on Offshore Mechanics and Arctic Engineering. Estoril, Portugal.

Glukhovskiy, BKh. (1966). Investigation of sea wind waves (in Russian), Leningrad: Proc. of Sea Climatology Conference. 51-71.

Goda, Y. (1979). A review on statistical interpretation of wave data. Report of the Port and Harbour Research Institute, Japan: 18: p 5-32.

Goda, Y. (1985). Random seas and design of maritime structures. University of Tokyo Press.

Jeong, WM, Oh, SH, Ryu, KH, Back, JD, Choi, IH (2018). Establishment of wave information network of Korea (WINK), J. Korean Soc. Coast. Ocean Eng, 30(6):26-336.
crossref
Klopman, G. (1996). Extreme wave heights in shallow water, H2486. Delft Hydraulics, The Netherlands.

Klopman, G, Stive, MJF. (1989). Extreme waves and wave loading in shallow water. paper presented at the E&P Forum Workshop in Paris. Delft Hydraulics; The Netherlands.

Korean Ministry of Oceans and Fisheries. (2014). Ocean climate variability, global warming, climate modeling, climate processes, Adaptation, Press release, Date:2014.10.31.

Lee, MH. (1991). A fundamental study on the determination of critical limits and workable days for the construction of breakwaters. Master thesis. National Fisheries University of Pusan.

Longuet-Higgins, MS (1952). On the statistical distributions of heights of sea waves, J. of Mar. Res, XI, 245-266.

Longuet-Higgins, MS (1983). On the Joint Distribution of Wave Periods and Amplitudes in a Random Wave Field, Proc. Roy. Soc. of London, 389(A):241-258.
crossref
Ochi, MK. (1990). Applied probability and stochastic progresses. University of Florida, Wiley Interscience, USA.

Park, SH, Cho, YJ (2019). The joint distribution of wave height and its associated period in nonlinear random waves, Journal of Korean Society of Coastal and Ocean Engineers (submitted)..

Tayfun, MA (1993). Joint distribution of large wave heights and associated periods, Journal of Waterway, Port, Coastal, and Ocean Engineering, 119(3.
crossref
Tucker, MJ, Pitt, EG. (2001). Waves in ocean engineering. Elsevier, Amsterdam.

van Vledder, GP, Ruessink, G, Rijnsdorp, DP. (2013). Individual wave height distributions in the coastal zone: Measurements and simulations and the effect of directional spreading, In Coastal Dynamics 2013: 7th International Conference on Coastal Dynamics. Arcachon, France.