해수면 상승과 빈도 합성태풍이 고려된 월파범람 위험성 분석

요약

태풍으로 인한 폭풍해일은 주로 여름철에 발생하는데, steric 효과 특성으로 하계에는 연평균 해수면보다 높은 해면이 나타나 이들의 복합적 효과를 고려한 해안 저지대의 월파범람 해석이 필요하다. 본 연구에서는 이와 같이 하계에 발생하는 태풍해일 및 월파범람 취약성 해석을 위해 서남해안에 위치한 인천, 군산, 목포, 서귀포에서 관측된 1시간 간격의 기압과 조석 자료를 분석하였다. 여름철 평균 해수면 상승은 연평균 해수면 상승보다 서해안에서 약 20 cm, 남해안에서 15~20 cm 높게 나타난다. 해수면 상승 변화는 계절적 해면기압 변화와 밀접하게 연관되어 있는데, 1.58~1.73 cm/hPa의 범위에 있다. 이들의 상호 기작에서 한 달 또는 그 이상의 위상차가 발생한다. 해수면 상승 이외에 18.6년 장주기 조석 성분의 변화에 의해 2090년에 M2 분조의 진폭이 서남해안에서 최대값을 갖는 것으로 나타난다. 따라서 지구 온난화 및 해수면 상승과 관련된 목표 연도를 2090년에 맞춰서 분석할 필요성이 있다. 해수면 변화에 영향을 주는 연평균 해수면 상승, 하계 해수면 상승, 그리고 nodal factor 변동에 의한 복합적 효과와 100년 빈도 해일고를 고려한 월파 침수 범람을 모의한 결과 부산 수영만 일대 대부분이 월파에 의한 침수 범람이 발생하는 것으로 나타난다. 아울러 마린시티에서 최근 발생한 태풍 차바에 의한 월파량 보다 2090년에 2배 이상 증가되는 것으로 나타나기 때문에 월파범람 위험성에 대한 대비책을 마련할 수 있는 적절한 연안 설계가 필요하다.

Abstract

Storm surges caused by a typhoon occur during the summer season, when the sea-level is higher than the annual average due to steric effect. In this study, we analyzed the sea-level pressure and tidal data collected in 1 h intervals at Incheon, Kunsan, Mokpo, Seogwipo stations on the Yellow Sea coast to analyze the summer season storm surge and wave overtopping. According to our analyses, the summer mean sea-level rise on the west and south coasts is approximately 20 cm and 15 to 20 cm higher than the annual mean sea-level rise. Changes in sea-level rise are closely related to changes in seasonal sea-level pressure, within the range of 1.58 to 1.73 cm/hPa. These correlated mechanisms generates a phase difference of one month or more. The 18.6 year long period tidal constituents indicate that in 2090, the amplitude of the M2 basin peaks on the southwest coast. Therefore, there is a need to analyze the target year for global warming and sea-level rise in 2090. Wave overtopping was simulated considering annual mean sea-level rise, summer sea level rise, the combined effect of nodal factor variation, and 100-year frequency storm surge. As a result, flooding by wave overtopping occurs in the area of Suyong Bay, Busan. In 2090, overtopping discharges are more than doubled than those in Marine City by the recent typhoon Chaba. Adequate coastal design is needed to prepare for flood vulnerability.

1. 서 론

해수면은 지속적으로 변화되며, 계절적 또는 매년 장기적으로 변화되는 것으로 나타난다. 계절적 해수면 변화는 Amiruddin et al.(2015), Cheng et al.(2015), Cui and Zorita(1998), Dangendorf et al.(2013), Kang et al.(2008), Marcos et al.(2012), Méndez et al.(2006), Menéndez and Woodworth(2010), Pugh and Woodworth(2014), Watson(2015), Wijeratne et al.(2008) 등의 연구에서 계절적 및 연간 변화를 지역적 또는 전 세계적 측면으로 다룬 바 있다. 장기간 변화되는 해수면은 발해만과 황해에 인위적인 연안 공사로부터 영향을 받으며, 조석 비대칭에 변화를 줄 수 있다(Pelling et al., 2013; Suh et al., 2014; Suh, 2016). 또한 18.6년 주기의 장주기 조석 변화에 따라 해수면에 장기간 영향을 미친다(Baart et al., 2012; Cheng et al., 2016; Pugh and Woodworth, 2014; Watson, 2015). Watson(2015)은 계절 영향, 국지 조석, 장주기 조석 변화, 기후 영향 등을 포함하여 해수면 상승에 미치는 영향을 분석한 바 있다. Cheng et al.(2015)에 의하면 발해만과 황해에서 해면기압이 해수면 변화에 영향을 미치는 것으로 제시하였으며, 동중국해 남부에서 국부적으로 발생하는 해수면 변화는 해류와 높은 상관관계가 있음을 발견하였다. 또한, 황해와 동중국해의 계절적 성층화에 의해 M2 분조의 진폭이 20 cm 변화되는 것으로 나타난다(Pelling et al., 2013). 하계 해수면은 천해에서 발생하는 조석과 해일, 강우에 의한 상호작용으로 황해와 발해만에서 높게 나타난다(Menéndez and Woodworth, 2010). Marcos et al.(2012)은 해수면 상승이 선형 추세 경향으로 나타나는 것으로 제시하였고, 해수면 상승이 황해에서 0.49 ± 0.19 cm/year로 증가하고, 남측으로 갈수록 증가하는 것으로 제시한 바 있다. 역기압 효과(inverse barometer effect)는 해수면에 직접 영향을 주기 때문에 계절에 따라 변화되는 기압에 의해 해수면 변화가 발생한다. Kang et al.(2008)은 한반도 주변의 해수면 변화를 분석한 결과, 지역에 따라 Sa 분조가 10~20 cm 범위로 변화되는 것으로 제시한 바 있다.
지난 수십 년 동안 해수면이 증가하는 경향으로 나타났으며, IPCC(2014) 해수면 상승 시나리오에 의하면 장래 평균 해수면은 과거보다 높아질 것으로 예상된다. 그러나 많은 연구가 연간 평균 해수면 변화에 중점을 두고 있다. 폭풍 해일로 인한 잠재적인 취약성에 대비하기 위해 연간 해수면 상승 및 극한 해수면 상승만 고려하는 것이 적절하지 않을 수 있다. 따라서 연안 취약성 분석 시 연간 평균해수면과 하계 때 높아지는 해수면을 고려하는 것이 타당한 것으로 판단된다. 해수면은 지속적으로 변화되며, 계절적 또는 매년 장기적으로 변화되는 것으로 나타난다. 해수면 상승과 지구온난화 가속화는 연안 취약성에 있어서 매우 중요한 문제로 판단된다. 우리나라 연안의 54%가 인공 연안으로 축조되어 있으며(Lee and Suh, 2016), 인공 연안은 항만 및 해안구조물 축조 시 안전성을 확보하기 위해 50년 빈도 설계 파랑을 고려하여 천단고가 정해진다. 그러나 미래에 계절적 해수면 변화와 지구 온난화로 인해 매년 상승하는 해수면에 의해 취약성이 악화될 수 있기 때문에 이에 대한 연구가 필요하다.
본 논문에서는 해수면 상승과 빈도 합성태풍이 고려된 월파범람 위험성을 분석하기 위해 장래 해수면 상승, 하계 해수면 상승, 18.6년 주기를 갖는 장주기 조석 등이 해수면 변화에 미치는 영향을 분석하였다. 아울러 태풍 차바(TY1618)에 의한 마린시티에서 발생한 월파 범람을 재현하였으며, 100년 빈도 해일고를 발생시키는 확률론적 합성태풍을 이용해 장래에 발생할 수 있는 월파범람 위험성을 분석하였다.

2. 해수면 상승 분석

2.1 평균 해수면 상승

본 절에서는 평균 해수면 상승에 대해 분석하였다. Jung(2014)은 해안개발로 인한 해수면 변화량을 보정한 평균 해수면 자료를 회귀분석 하였으며, 해안개발 요인을 제거한 자연적으로 발생하는 해수면 상승률을 추정한 바 있다. 본 연구에서는 평균 해수면 상승과 하계 해수면 상승의 추세를 함께 분석하였으며, 본 절에서는 평균 해수면 상승을 분석하였다. Suh et al.(2014)에 따르면 인천의 조위관측소는 1973년에 인천항 내에서 월미도로 이전되었다. 목포는 Jung(2014)에 의하면 1980년도 이전에 평균 해수면이 감소하는 추세로 나타나 관측 방법 또는 관측센서 등의 오류로 인해 발생할 가능성을 언급하였다. 따라서 인천은 1973년, 목포는 1980년 이후에 관측된 조위 자료를 이용하였으며, 국립해양조사원에서 매 1시간 간격으로 관측하여 제공하는 1956~2014년 기간의 조위 자료를 연평균으로 산정하여 분석하였다. 평균 해수면 상승 분석은 Fig. 1과 같이 서해안에 위치한 인천, 군산, 목포와 남해안에 위치한 제주도 조위관측소의 자료를 분석하였으며, 평균 해수면 변화 경향을 Fig. 2에 제시하였다. 연간 평균 해수면 상승은 인천, 군산, 목포, 제주에서 각각 0.34 cm/year, 0.38 cm/year, 0.58 cm/year, 0.61 cm/year로 나타나며 Table 1에 제시하였다. 본 연구결과에서 제시한 선형 회귀식은 장래에 평균 해수면이 선형적으로 증가한다고 가정한 제한사항이 있으며, 이를 이용한 2100년 연평균 해수면 상승은 인천, 군산, 목포, 제주에서 2014년 대비 각각 28.8 cm, 30.3 cm, 52.7 cm 55.6 cm 증가할 것으로 나타난다. IPCC(2014) RCP 8.5 시나리오에 의하면 서해안과 남해안의 해수면이 2001년 대비 2100년에 각각 82 cm, 83 cm 증가하는 것으로 제시하고 있다. 잠재적인 폭풍해일 위험성에 대해 분석하기 위해서는 조석과 함께 평균 해수면 상승, 하계 해수면 상승, 빈도 해일고 등과 같은 다양한 요소가 포함되어야 한다. 장래 해수면 상승은 비선형으로 나타날 가능성도 있기 때문에 본 절에서 분석한 평균 해수면 추세를 이용하지 않고 IPCC(2014) RCP 8.5 시나리오가 고려된다.

2.2 하계 해수면 상승

2.2.1 하계 해수면 상승 분석

우리나라에 상륙하는 태풍은 대부분 7~10월에 발생하기 때문에 하계(6~8월)에 발생하는 해수면 상승은 폭풍해일에 의한 위험성 측면에서 고려하는 것이 타당하다. 본 절에서는 우리나라 서남해안의 하계 해수면 상승(ΔZ0) 경향을 살펴보기 위해 서해안 인천, 군산, 목포, 남해안 완도, 통영, 부산 등에서 관측된 조위 자료를 분석하였다. 하계에 발생하는 해수면 상승을 분석하기 위해 국립해양조사원에서 제공하는 1959~2017년 기간의 1시간 간격 조위 자료를 매월 평균으로 산정하였다. 일본(NAZ: Naze, NAG: Nagasaki)과 중국(DAL: Dalian, LIA: Lianyungang)의 조위는 하와이에 위치한 마노아 대학교에서 운영 중인 University of Hawaii Sea Level Center(UHSLC)에서 제공하는 1시간 간격 자료를 분석하였으며, 조위관측소는 Fig. 1에 제시하였다.
하계 기간 중 해수면 상승이 가장 높게 나타나는 기간은 8월이며, 매년 하계 해수면 상승은 인천, 군산, 목포에서 각각 0.31 cm/year, 0.36 cm/year, 0.68 cm/year로 나타난다. 하계 해수면 상승은 연평균 해수면과의 차이이며, Fig. 3과 같이 인천, 군산, 목포 3개 정점에서 각각 21.8, 21.4, 20.7 cm 높게 나타난다. 하계 해수면 상승은 서해연안 공간에서 큰 변화 없이 20 cm로 나타나는 반면, 남해안에 위치한 완도, 통영, 부산에서 각각 19.7 cm, 16.8 cm, 15.4 cm로 나타나 서해연안에 비해 감소하는 경향으로 나타난다. 일본(NAZ, NAG)과 중국(DAL, LIA) 해역에서는 20.7~27.1 cm로 하계 해수면 상승이 서남해안보다 더 높게 나타난다.

2.2.2 해면기압변화가 해수면 변화에 미치는 영향

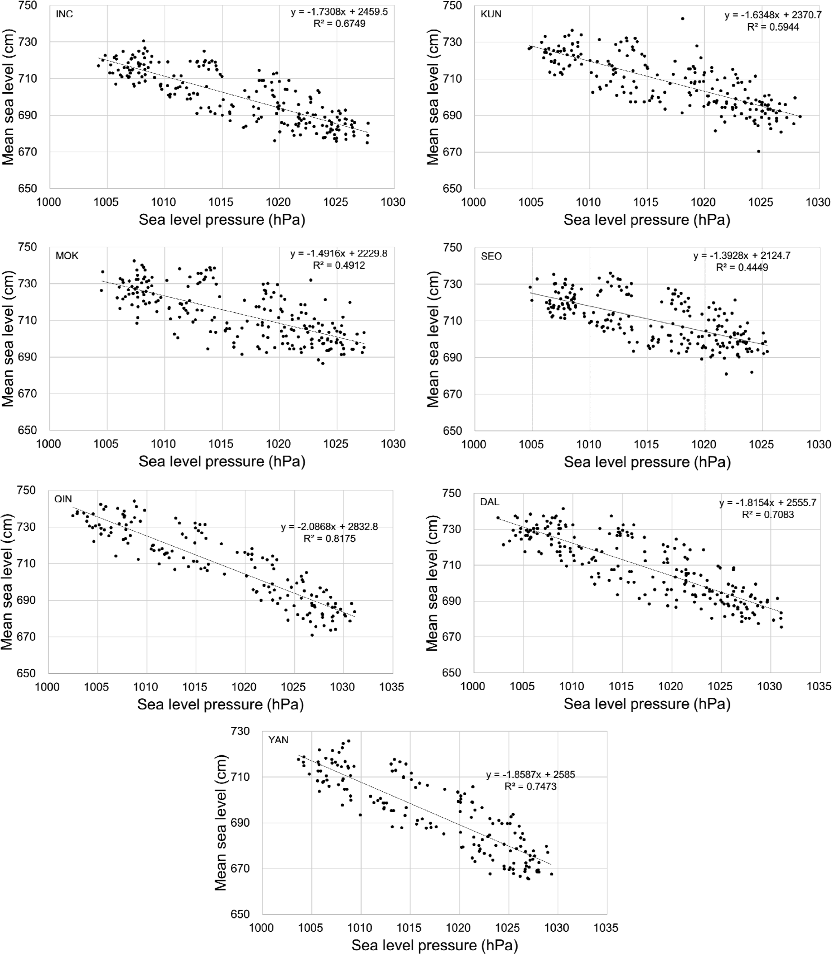
월평균 해수면 변동과 계절별 해면기압 간의 상관관계를 분석하기 위해 우리나라 서남해안에 대해서는 기상청의 일별 해면기압 자료와 국립해양조사원의 조위 자료를 이용하였다. 이외 해역은 Permanent Service for Mean Sea Level(PSML)의 월평균 조석자료와 National Centers for Environmental Information(NOAA)에서 제공하는 해면기압 자료를 이용하였으며, 조위관측소 위치를 Fig. 1에 제시하였다. 해면기압과 조위 분석은 1982~2017년 기간의 자료를 이용하였으며, 각 기관별로 취득한 자료를 매월 평균으로 산정하여 분석하였다. 자료 분석 시 제한사항으로는 매년 증가하는 하계 해수면 상승 경향을 제거하지 못했으며, 결측 구간의 자료가 분석에서 제외되었다. 또한 계절별로 나타나는 수온 변화와 강우 유출 등에 의한 영향을 함께 분석하지 못한 제한사항이 있다. 서남해안의 7월 평균 해면기압이 1006 hPa, 1월은 1025 hPa로 나타나며, 중국 동부 해안과 발해만은 7월에 1005 hPa, 1월에 1028 hPa로 나타나 해면기압 폭이 중국 북서측 해역으로 이동할수록 증가하는 것으로 나타나며, 분석 결과를 Table 2에 제시하였다. 하계 및 동계에 발생하는 기압은 전 세계적으로 다르게 나타날 수 있다. 해면기압에 대한 평균 해수면 변화는 일반적으로 해면기압이 1 hPa 변할 때 1 cm 변화되는 것(Dangendorf et al., 2013)과 비교할 때 서해안에서 1.39~1.73 cm/hPa로 나타나 높은 상관관계를 보인다(Fig. 4). 그러나 중국 발해만에 있는 Yantai(YAN), Dalian(DAL), Qinhuangdao(QIN)에서는 1.86~2.09 cm/hPa로 나타나 다소 차이를 보인다.
1월과 7월 평균 해면기압의 차이는 서귀포에서 16 hPa로 나타나고, QIN에서는 24 hPa로 나타나 북측으로 이동할수록 차이가 증가하는 경향으로 나타난다. 월평균 해수면은 서귀포에서 23 cm 차이로 나타나고, QIN에서 54 cm 차이가 나타나 해면기압이 변화되는 경향과 유사하게 나타난다. 이러한 경향을 살펴보기 위해 Fig. 5에 제시한 것과 같이 1월과 7월의 해면기압 변화에 따른 월평균 해수면 변화는 위도에 따라 증가하는 경향을 보이며, 직선 회귀선의 R2이 0.96으로 높은 상관관계로 나타난다. 우리나라 북서쪽에 위치한 몽골에서 1월에 약 1030 hPa로 고기압이 형성되고, 7월에는 약 1005 hPa 저기압이 형성되면서 우리나라와 중국 발해만 인근 해역에 영향을 주기 때문에 나타나는 현상으로 사료된다.

2.3 Nodal factor 영향

2.3.1 관측 조위자료 분석

지구, 달, 태양과 관련된 천문조에 의한 조석 변화는 18.6년 주기의 nodal factor에 의해 영향을 받으며, 조석 분조마다 nodal factor의 영향이 Fig. 6과 같이 다르게 나타난다. Peng et al.(2019)은 전 세계 574곳의 조석 관측자료 중 19년 이상 기록된 자료를 이용하여 18.6년 주기의 nodal factor 영향을 분석하였고, 2025년과 2034년에 톤킨만(Gulf of Tonkin), 브리스톨 해협(Bristol Channel), 영국 해협(English Channel)에서 조위가 최대 30 cm 증가하는 것으로 제시하였으며, 각 해역에서 해수면 상승에 의한 연안재해가 발생할 가능성을 제시하였다. 따라서 본 연구에서는 우리나라 서남해안에 발생하는 18.6년 주기의 nodal factor가 8개 분조(M2, S2, K1, O1, N2, K2, P1, Q1)의 진폭에 미치는 영향을 분석하였다.
조화분석 프로그램인 Task-2000(Bell et al., 1998)에 포함된 TIRA는 조화분석 시 기본적으로 시계열 자료의 첫 번째 날짜에 해당되는 nodal factor 영향이 제거되는 반면, T_TIDE(Pawlowicz et al., 2002)는 시계열 자료의 날짜를 선정하여 적용하면 nodal factor 영향이 제거된다. 따라서 장기간 관측된 조위 자료를 하나의 시계열 자료로 분석하는 것은 부적절하며, 조화분석 프로그램에서도 18.6년 이상의 시계열 자료를 분석하는 것이 불가능하기 때문에 1년 단위로 조화 분해하는 것을 권장하고 있다. 장주기 조석 성분이 8개 분조의 진폭에 미치는 영향을 분석하기 위해 1960~2017년 기간의 조위 자료를 매 1년 기간마다 나누어 조화 분해하였으며, nodal factor 영향을 고려한 것과 제거한 조석 분조의 진폭을 비교하였다. 분석 위치는 Fig. 1과 같이 서해안의 인천, 군산, 목포와 남해안의 완도, 여수, 부산으로 선정하였다. 인천의 조위자료를 TIRA와 T_TIDE를 이용해 각각 조화 분해하여 비교한 결과 M2 분조 진폭의 R2이 0.99 이상으로 나타나며, 본 논문에는 TIRA로 조화 분해된 결과가 제시된다.
분석한 결과 M2와 N2 분조는 1969년, 1987년, 2006년에 진폭이 감소하고 1978년, 1997년에 증가하는 것으로 나타나며, K1, O1, K2, Q1 분조는 M2, N2 분조와 반대되는 경향으로 나타난다. 각 조위관측소별로 조석 분조의 진폭이 클수록 nodal factor의 영향이 크게 나타나는 특징을 보인다. 대표적으로 조석 진폭이 크게 나타나는 인천과 낮게 나타나는 부산의 M2 분조를 살펴보면, 인천에서 1978년, 1997년, 2015년에 각각 2.87 m, 3.02 m, 2.96 m로 가장 높게 나타나고, 1969년, 1987년, 2006년에 각각 2.79 m, 2.76 m, 2.76 m로 가장 낮게 나타나 nodal factor에 의해 약 0.21 m의 진폭 차이가 나타난다. 부산은 각각 0.42 m, 0.41 m, 0.38 m로 높게 나타나고, 각각 0.39 m, 0.38 m, 0.35 m로 낮게 나타나 0.03 m 차이를 보인다. 이외 조위관측소의 연도별 진폭 변화는 Table 3에 정리하여 제시하였다. 조화 분해된 분조별 조석 진폭 변화가 18.6년 주기의 nodal factor와 유사한 경향으로 나타나는지 살펴보기 위해 조석 진폭이 가장 높고 낮을 때의 변화율을 분석하였으며, 변화율은 식(1)과 같다.
(1)
Rateofchange(%)=(hhhl1)2×100
여기서, hh는 조석 진폭(m)이 가장 높을 때이며, hl은 낮을 때를 의미한다. 서남해안의 M2 진폭 변화율은 3.9~5.4%로 나타나며, K1 분조는 11.8~15.2%로 나타난다. O1 분조는 진폭이 작은 부산을 제외하면 25.0~27.8%로 나타난다. 각 분조별 진폭 변화율과 nodal factor를 비교하면 대부분 유사한 경향으로 나타난다(Table 4). 연중 변화될 수 있는 해면기압, 강우, 바람, 담수 유출, 연안공사 등에 의한 영향을 조화분석 프로그램에서 완벽하게 분해하지 못하는 점을 감안하면 유의미한 결과로 판단된다. 인천 조위관측소의 M2 분조 진폭 변화 경향이 장래에 지속된다면 2034, 2052, 2071, 2090년에 가장 높은 조위가 발생될 가능성이 있는 것으로 사료된다.

2.3.2 수치모델을 이용한 영향 분석

장래 해수면 상승에 영향을 미칠 수 있는 nodal factor를 수치모형에 고려해야 한다. 앞 절에서 관측된 조위 자료를 이용하여 조석 분조에 미치는 nodal factor 영향을 분석하였으며, M2 진폭 변화 경향이 장래에 지속된다면 2034, 2052, 2071, 2090년에 가장 높은 조위가 발생될 가능성을 제시한 바 있다. 따라서 M2 분조의 nodal factor는 2090년에 가장 높고 2099년에 가장 낮게 나타나기 때문에 2100년을 기준으로 위험성을 분석하는 것은 적절하지 않다. 본 절에서는 2090년, 2099년에 해당되는 nodal factor가 조석 분조 진폭에 미치는 영향을 수치모형을 이용해 분석하였다.
수치모형을 이용해 nodal factor가 미치는 영향을 분석하기 위해 Suh et al.(2015)이 제시한 NWP-G116k 격자체계를 이용하였다. 조화 분석 시 S2 분조와 K2 분조를 분리하기 위해 최소 약 183일 이상의 조위 자료가 필요하기 때문에 ADCIRC 모형을 이용해 조석 안정화 기간 5일을 포함하여 총 188일 기간 동안 수치모의 하였다.
관측치와 계산치의 분조 진폭을 서남해안 주요 조위관측소별로 분석하였다. 대표적으로 인천의 M2 분조 진폭을 살펴보면, 관측된 진폭이 가장 낮을 때 2.77 m, 높을 때 2.98 m로 나타나며, 모의 결과는 2099년에 2.78 m, 2090년에 2.96 m로 유사하게 나타나며, 이외 분조에서도 유사한 경향으로 나타난다. 수치 모의된 조위를 서남해안의 주요 조위관측소별로 살펴보면, 약최고고조위가 2099년보다 2090년에 인천 0.11 m, 군산 0.07 m, 목포 0.04 m, 완도 0.03 m, 여수 0.07 m, 부산 0.04 m 높게 나타난다. M2 분조 진폭이 가장 낮은 1969년, 1987년, 2006년의 평균과 가장 높은 1978년, 1997년, 2015년의 평균을 모의 결과와 비교하기 위해 Table 4에 제시하였다.

3. 해수면 상승과 100년 빈도 해일고에 의한 월파범람

3.1 장래 해수면 상승에 따른 범람 가능성

선행연구(Lee and Suh, 2016; Suh and Kim, 2018)에서는 EurOtop 모듈을 ADCIRC + SWAN 모형에 결합하고 NWPG116k 격자를 이용하여 2003년에 발생한 태풍 매미와 2016년 발생한 태풍 차바에 의한 월파 범람을 재현한 바 있다. 최근에 발생한 2016년 태풍 차바와 2018년 태풍 콩레이에 의해 부산 마린시티에서 월파 범람이 발생하였으며, 실시간 예측 체계(Suh et al., 2015)와 NWP-G116k 격자를 이용해 JTWC 태풍 예경보 자료에 근거하여 태풍 공레이에 의한 월파 범람을 사전에 예측한 바 있다. 본 연구에서는 선행연구에서 구축한 월파 범람 모의체계를 이용하였다. 장래 평균 해수면 상승과 하계 해수면 상승(S3LR: Summer Seasonal Sea-Level Rise)에 따른 범람 가능성을 분석하기 위해 조석 및 파랑이 결합된 ADCIRC + SWAN 모형을 이용해 수치 모의하였다. 하계 해수면 상승은 본 연구에서 분석한 결과를 적용하였으며, 서해연안에서 0.20 m 내외, 남해안은 0.15~0.20 m가 공간적으로 다르게 적용된다. Kim and Suh(2019)는 Tropical Cyclone Risk Model을 이용해 태풍 이동경로와 중심기압을 Monte-Carlo 방법으로 생성하였으며, 역사태풍의 중심기압과 최대풍속, 최대풍속 반경 등의 상관관계를 분석하고 관계식을 이용해 합성태풍 생성에 활용한 바 있다. 아울러 조석과 합성태풍이 고려된 빈도 해일고를 산정하였으며, 100년 빈도 해일고를 발생시키는 합성태풍을 본 연구에서 이용하였다. 서해연안에 인천, 군산, 목포와 남해안에 부산에서 100년 빈도 해일고를 발생시키는 합성태풍을 Fig. 7~8에 제시하였다. 최근 남해안에 상륙하여 마린시티와 수영구 일대에 월파 침수범람을 발생시킨 태풍 매미(TY0314), 차바(TY1618), 콩레이(TY1825)의 이동경로와 서해연안에 영향을 미친 프라피룬(TY0012), 곤파스(TY1007), 볼라벤(TY1215)의 이동경로가 100년 빈도 해일을 발생시키는 태풍 이동경로와 유사하게 나타난다. 서남해안에 위치한 인천과 부산에서 100년 빈도 해일고를 발생시키는 합성태풍을 이용하였으며, 현재 상태 및 IPCC RCP 8.5 시나리오에서 제시한 서해안 0.82 m, 남해안 0.83 m와 하계 해수면 상승을 고려하였다. 아울러 2090년과 2100년 기간의 nodal factor에 따른 조위를 평가하였다. 수치모의 결과를 분석하면, 인천에서 나타나는 최대 수위는 현재 상태일 때 2090년에 5.48 m, 2100년에 5.25 m로 나타나며, 해수면 상승을 고려하면 각각 6.45 m, 6.22 m로 나타난다. 부산에서는 현재 상태일 때 각각 1.71 m, 1.69 m로 나타나며, 해수면 상승을 고려하면 각각 2.67 m, 2.65 m로 나타난다. 해일고는 현재 상태일 때 1.08 m로 나타나며, 해수면 상승 시 1.09 m로 나타나 큰 변화가 없는 것으로 판단된다. 인천과 부산에서 수치 모의된 조위는 Fig. 9~10에 제시하였다. 장래 해수면 상승이 고려된 합성태풍을 이용한 수치 모의된 조위를 살펴보면, 인천에서는 조위가 천단고보다 높게 나타나 월류에 의한 범람이 발생할 가능성이 있으며, 부산 수영만 일대의 천단고는 조위 보다 높게 축조되어있어 월파에 의한 범람이 발생할 가능성이 있는 것으로 판단된다.

3.2 월파범람 수치모의 격자체계

부산 마린시티가 5 m 내외로 상세화되어 있는 NWP-G116k 격자체계와 Lee and Suh(2016)가 제시한 부산 수영구 일대 격자체계를 NWP-G116k에 접합하였다. 최종 접합된 NWP-G116k 격자체계의 절점은 144,079개 이고, 유한요소는 257,805개로 구성된다. 수영만 일대 격자 해상도를 Fig. 11에 제시하였으며, 육상의 표고는 LiDAR 자료와 국토지리정보원의 수치지형도 표고가 반영된다. 해저 바닥마찰 계수를 Manning’s n 형태로 수영만 일대 해역은 0.023, 육상은 0.016으로 설정하였고, 계산 시간 간격을 0.1초로 설정하였다. 수영만 일대 격자망과 월파에 의한 침수범람 분석 구역을 Zone1~3으로 설정하여 Fig. 12에 제시하였다. Zone1~3의 구조물은 직립식, 경사식, 혼성 방파제 등이 적용된다.

3.3 장래 해수면 상승에 따른 월파범람 모의

본 절에서는 부산 수영만 일대에서 장래 해수면 상승과 폭풍해일에 의해 잠재적으로 나타날 수 있는 월파 범람을 모의하였다. 부산에서 발생하는 하계 해수면 상승과 IPCC RCP 8.5 시나리오에서 제시한 남해안 연평균 해수면 상승, 2090년 nodal factor 영향이 고려된 조석, 빈도 해일고를 발생시키는 합성태풍 등을 모두 고려하였다. 해일 및 월파에 의한 침수 범람을 모의하기 위해 176,689개의 합성태풍 중 부산에서 100년 빈도 해일고를 발생시키는 Fig. 7에 제시한 #5844, #8767, #9975, #10225, #14448, #22590 등 6개 태풍을 대상으로 하였으며, 남해안으로 상륙하여 수영구 일대에 월파침수 범람을 발생시킨 태풍 매미, 차바와 합성태풍의 속성을 비교하였다. 역사태풍의 이동속도는 43.9~58.7 km/hour로 나타나며, 합성태풍은 29.2~57.1 km/hour로 나타난다. 중심기압은 태풍 매미가 949 hPa로 나타나며, 합성태풍은 928~945 hPa로 나타난다. 이와 같이 부산에 100년 빈도 해일고를 발생시키는 합성태풍의 속성과 이동경로가 다양하게 나타나며, 이동경로는 해당지역을 상륙하거나 매우 근접하게 통과하는 것으로 나타난다.
수치모의 결과 마린시티(Zone1) 전면 해상에서 나타나는 최대 조위는 해수면 상승이 고려되어 2.78~2.93 m로 나타난다. 유의파고는 4.8 m 내외로 나타나고 best track을 이용해 재현한 태풍 매미는 4.97 m로 나타나 유사한 경향을 보인다. Zone1 지역의 최대 침수심은 1.52~1.64 m로 나타나고, 도로 대부분이 침수되는 것으로 나타난다. 특히 월파량은 Zone1에서 110 × 103 m3 내외로 나타나 태풍 차바 보다 2배 이상 많은 것으로 나타난다. 100년 빈도 해일과 해수면 상승으로 천단고가 낮아져 월파 지속시간이 태풍 차바와 비교하여 약 2배 이상 증가되는 것으로 나타난다. Zone2, Zone3 지역은 모두 침수되는 것으로 나타나며, 수영만 일대의 천단고는 조위보다 높게 축조되어 있어서 월파에 의한 범람이 발생하는 것으로 나타난다. 100년 빈도 해일고를 발생시키는 합성태풍 및 역사태풍의 속성을 Table 5에 제시하였으며, 월파 침수 범람 결과를 Table 6에 제시하였다.

4. 토 의

본 절에서는 장래에 나타날 수 있는 해수면 변화에 대한 위험성을 평가하기 위해 우리나라 서남해안과 중국 동부 연안에서 장기간 관측된 국·내외 기관들의 조위와 기압 자료들을 취득하여 분석하였다. 평균 해수면 상승 분석에서는 조위 관측 자료를 분석해 선형 회귀식을 이용하여 2100년에 발생할 수 있는 해수면 상승 량을 제시하였다. 그러나 기후 변화로 장래 해수면 상승이 비선형적으로 발생할 수 있기 때문에 IPCC(2014) RCP 8.5 시나리오를 기반으로 하여 월파 범람에 대한 위험성을 평가하였다. Nodal factor 영향을 분석한 결과는 조화분석을 통해 제시된 주요 조위관측소별 분조의 진폭이 18.6년 주기로 나타나는 것을 확인하였고, nodal factor에 의한 진폭 변화율이 관측 자료로부터 도출되어 유의미한 결과가 제시되었다. 아울러 M2 진폭 변화 경향이 장래에 지속된다면 2034, 2052, 2071, 2090년에 가장 높은 조위가 발생될 것으로 제시하였다. 기압변화가 해수면 변화에 미치는 영향을 분석한 결과 월평균 해면기압과 해수면이 약 한달 정도 위상차를 보인다. 그러나 조위관측소 위치가 고위도로 갈수록 월평균 해면기압 변화에 따른 월평균 해수면 변화가 증가하는 경향으로 나타났으며, 높은 상관성을 보이는 것으로 나타난다. 이러한 현상에 대한 연구는 후속 논문에서 논의될 예정이다.
2016년 태풍 차바에 의한 월파 범람을 재현한 결과 태풍에 의한 해일과 파고가 마린시티의 천단고를 상회하지 않더라도 월파에 의한 침수 범람이 발생할 수 있으며, 현장 답사를 통해 조사된 침수심을 이용한 월파량과 수치 모의를 통해 폭풍해일에 의해 월파 범람된 월파량이 유사하게 나타나 잘 재현한 것으로 판단된다. 그러나 본 연구에 적용한 테드라포드에 의한 월파량 감소계수가 0.64로 Bruce et al.(2009)이 0.35~0.42로 제시한 것과 비교하면 다소 크게 적용되었다. 보통 월파량 감소 계수는 수리 모형실험을 통해 산정되기 때문에 실제 자연현상에서 발생하는 월파량 감소는 다르게 나타날 수 있으며, 구조물 전면에 테드라포드 또는 사석과 같은 피복의 공극에 해수가 침투하는 효과(Christensen et al., 2014)로 인해 본 연구에서 적용한 감소계수가 다소 크게 적용된 것으로 판단된다. Van Doorslaer et al.(2016)에 따르면 동일한 감소계수에 의한 월파량이 2007 EurOtop(Pullen et al., 2007) 보다 EurOtop 최신 버전(Van der Meer et al., 2016)에서 약 20% 크게 나타나는 것으로 제시한 바 있으며, EurOtop 최신 버전이 적용될 경우 민감도 분석을 통해 적절한 월파량 감소 계수가 산정되어야 할 것으로 판단된다.

5. 결 론

서남해안의 취약성을 분석하기 위해서는 전 지구적으로 발생하는 해수면 상승, 하계 해수면 상승, nodal factor에 의해 장기간 변화되어 나타날 수 있는 조석 등이 검토되어야 한다. 우리나라 서남해안을 포함한 황해에서 계절별로 나타나는 평균 해수면과 nodal factor가 조석 분조 진폭에 미치는 영향을 분석하였다. 하계에 발생하는 해수면은 지역적 편차를 보이며 서해안은 20 cm 내외로 나타난다. 남해안은 완도와 부산에서 각각 19.7 cm, 15.4 cm로 나타나 동측으로 이동할수록 감소하는 것으로 나타난다. 이와 같이 지역별로 달라지는 해수면은 역기압 효과에 의해 변화될 수 있으며, 우리나라 서남해안에서 발해만으로 이동할수록 커지는 특성을 보인다. 해면기압 변화에 따른 해수면 변화는 서귀포를 기준으로 발해만에 위치한 QIN에서 50% 증가되는 것으로 나타난다. 장주기 조석 영향으로 M2 진폭은 ± 3.7% 변화될 수 있으며, 서남해안의 조위는 2034, 2052, 2071, 2090년에 가장 높게 나타날 수 있다. 따라서 장래 발생할 수 있는 잠재적인 취약성에 대비하기 위해서는 지구 온난화에 따른 평균 해수면 상승 시나리오와 계절적으로 변화되는 해수면 상승, nodal factor 영향 등이 통합적으로 고려되어야 한다.
부산 수영만 일대에서 해수면 상승과 100년 빈도 해일고를 고려한 월파 침수 범람을 모의한 결과 해수면 상승으로 인해 월파량과 월파 지속 시간이 태풍 매미와 비교하여 증가하는 것으로 나타나며, 수영만 일대 대부분이 월파에 의한 침수 범람되는 것으로 나타난다. 특히 최근 마린시티(Zone1)에서 발생한 태풍 차바에 의한 월파량 보다 2090년에는 그 양이 2배 이상 증가될 것으로 판단된다. 따라서 장래 연안도시 호안을 월파하는 범람 취약성에 대한 재해저감 대책 마련의 적절한 설계가 필요할 것으로 판단된다.

감사의 글

이 논문은 2017년도 정부(미래창조과학부)의 재원으로 한국연구재단의 지원을 받아 수행된 연구임(No. NRF-2017R1A2B4008613).

Fig. 1.
Location map of the tidal gauging stations around Korea.
jkscoe-31-5-253f1.tif
Fig. 2.
Annual mean sea-level trends fitted to linear trend.
jkscoe-31-5-253f2.tif
Fig. 3.
Annual mean sea-level rise (yellow) and summer seasonal sea-level rise (blue).
jkscoe-31-5-253f3.tif
Fig. 4.
Correlations between monthly mean sea level and inverse sea level pressure.
jkscoe-31-5-253f4.tif
Fig. 5.
Mean sea level change according to sea level pressure in January and July.
jkscoe-31-5-253f5.tif
Fig. 6.
18.6 year return period nodal factor.
jkscoe-31-5-253f6.tif
Fig. 7.
Generated synthetic typhoon tracks affecting the South coast with a return period of 100 years.
jkscoe-31-5-253f7.tif
Fig. 8.
Generated synthetic typhoon tracks affecting the west coast with a return period of 100 years.
jkscoe-31-5-253f8.tif
Fig. 9.
Simulated water surface elevations at Incheon in 2090 and 2100 with respect to sea-level rise conditions for a hypothetical typhoon track (#23737).
jkscoe-31-5-253f9.tif
Fig. 10.
Simulated water surface elevations at Suyeong bay in 2090 and 2100 with respect to sea-level rise conditions for a hypothetical typhoon track (#9975).
jkscoe-31-5-253f10.tif
Fig. 11.
Suyeong bay area grid resolution.
jkscoe-31-5-253f11.tif
Fig. 12.
Refined grid structure and wave overtopping analysis area (Zone1∼3).
jkscoe-31-5-253f12.tif
Table 1.
SLR rate and predicted rise of mean sea level in the southwest coast of Korean peninsula for the target years
Station Mean SLR (cm) Predicted mean SLR (cm) Difference (cm) SLR rate (cm/year)

2014 2100 2014–2100
Incheon 465.3 494.1 28.8 0.34
Kunsan outer port 376.4 406.7 30.3 0.38
Mokpo 246.2 298.9 52.7 0.58
Jeju 163.4 219.0 55.6 0.61
Table 2.
Inverse barometric effect with respect to sea level pressure for stations shown in Fig. 1
Station Latitude (°) Inverse barometer effect (cm/hPa) Sea level pressure (hPa) Mean sea level (cm)


Jan. Jul. Diff. Jan. Jul. Diff.
Qinhuangdao 39.90 2.09 1028 1005 24 682 736 54
Dalian 38.92 1.82 1028 1005 23 686 730 44
Yantai 37.53 1.86 1027 1006 21 672 715 43
Incheon 38.87 1.73 1025 1006 19 683 718 35
Kunsan 35.98 1.63 1025 1007 19 691 724 33
Mokpo 34.78 1.49 1025 1007 18 699 728 29
Seogwipo 33.24 1.39 1023 1007 16 697 720 23
Table 3.
Variation of tidal amplitudes due to nodal factor effects on the southwest coast (unit: m)
Tidal constituents Station Year

1969 1978 1987 1997 2006 2015
M2 Incheon 2.79 2.97 2.76 3.02 2.76 2.96
Kunsan 2.11 2.33 2.13
Mokpo 1.48 1.38 1.51
Wando 1.02 1.09 0.99
Yeosu 1.04 0.94 1.01 0.91
Busan 0.39 0.42 0.38 0.41 0.35 0.38

K1 Incheon 0.43 0.33 0.42 0.35 0.43 0.34
Kunsan 0.38 0.31 0.39
Mokpo 0.27 0.34 0.26
Wando 0.3 0.23 0.3
Yeosu 0.17 0.21 0.17 0.21
Busan 0.05 0.04 0.05 0.04 0.05 0.04

O1 Incheon 0.33 0.22 0.33 0.22 0.34 0.22
Kunsan 0.29 0.20 0.31
Mokpo 0.18 0.28 0.18
Wando 0.23 0.15 0.23
Yeosu 0.1 0.15 0.1 0.15
Busan 0.02 0.01 0.02 0.01 0.02 0.01
Table 4.
Comparison of amplitude change rate and nodal factor on the southwest coast for the corresponding years
Tidal constituents Station Observation Nodal factor (%) Simulated result


1969, 1987, 2006 average (m) (a) 1978, 1997, 2015 average (m) (b) Diff. (m) (a)–(b) Amplitude change rate (%) 2090 (m) 2099 (m)
M2 Incheon 2.77 2.98 0.21 3.9 3.8 2.96 2.78
Kunsan 2.12 2.33 0.21 5.0 2.22 2.07
Mokpo 1.38 1.50 0.12 4.2 1.60 1.50
Wando 1.01 1.09 0.09 4.2 1.06 0.98
Yeosu 0.93 1.03 0.10 5.4 1.02 0.94
Busan 0.37 0.40 0.03 4.0 0.40 0.37

K1 Incheon 0.43 0.34 0.09 12.8 11.2 0.37 0.48
Kunsan 0.39 0.31 0.08 12.1 0.33 0.42
Mokpo 0.34 0.27 0.08 14.2 0.29 0.38
Wando 0.30 0.23 0.07 15.2 0.26 0.33
Yeosu 0.21 0.17 0.04 11.8 0.19 0.24
Busan 0.05 0.04 0.01 12.5 0.04 0.06

O1 Incheon 0.33 0.22 0.11 25.8 18.2 0.22 0.34
Kunsan 0.30 0.20 0.10 25.0 0.20 0.30
Mokpo 0.28 0.18 0.10 27.8 0.17 0.27
Wando 0.23 0.15 0.08 26.7 0.16 0.24
Yeosu 0.15 0.10 0.05 25.0 0.11 0.17
Busan 0.02 0.01 0.01 50.0 0.01 0.02
Table 5.
Comparison of characteristics of historical and synthesized typhoons
Synthesized typhoon and historical typhoon Moving speed (km/hour) Central pressure (Pc, hPa) Max. wind speed (Vmax, m/s) Max. wind speed radius (Rmax, km)
#5844 29.2 932 58.8 27.6
#8767 40.2 940 54.7 30.6
#9975 57.1 928 60.7 26.3
#10225 50.1 940 54.7 30.6
#14448 35.5 929 60.2 26.6
#22590 44.2 945 52.0 32.6
Maemi 43.9 949 48.9 18.5
Chaba 58.7 975 36.0 37.0
Table 6.
Wave overtopping results using synthesized and historical typhoons
Zone# Synthesized typhoon and historical typhoon

#5844 #8767 #9975 #10225 #14448 #22590 Maemi Chaba
Water surface elevation (m) Zone1 2.9 2.83 2.78 2.93 2.87 2.8 1.57 1.13
Significant wave height (m) 4.81 4.81 4.6 4.92 4.86 4.48 4.97 3.09
Maximum inundation height (m) 1.58 1.56 1.52 1.64 1.6 1.55 0.89

Wave overtopping duration time (hour) Zone1 8.3 8.1 4.5 6.3 8.6 5.8 3.2
Zone2 7.8 7.3 4.9 6.6 7.7 6.8 5.8
Zone3 5.3 4.6 2.8 4.3 4.3 5.1 4.1

Total overtopping volume (103 m3) Zone1 119.1 117.6 109.6 129.9 120.4 115.8 45.1
Zone2 293.1 269.5 201.5 288.5 279.9 206.9 65.7
Zone3 68.4 59.4 49.1 58.1 67.7 56.9 37.7

Inundation area (103 m2) Zone1 170 169.7 166.7 174.2 170.4 168.5 134.5
Zone2 271.8 262.4 238.9 265.6 267.5 241.6 160.2
Zone3 195.9 182.8 168.9 182.2 195.4 179.5 176.9

References

Amiruddin, AM, Haigh, ID, Tsimplis, MN, Calafat, F.M, Dangendorf, S (2015). The seasonal cycle and variability of sea level in the South China Sea, J. Geophys. Res, 120, 5490-5513.
crossref
Baart, F., van Gelder, P.H.A.J.M., de Ronde, J., van Koningsveld, M, Wouters, B (2012). The effect of the 18.6-year lunar nodal cycle on regional sea-level rise estimates, J. Coast. Res, 28(2):511-516.
crossref
Bell, C, Vassie, JM, Woodworth, PL. (1998). POL/PSMSL Tidal Analysis Software Kit 2000 (TASK-2000). Permanent Service for Mean Sea Level, CCMS Proudman Oceanographic Laboratory, Bidston Observatory, Birkenhead, Merseyside.

Bruce, T., van der Meer, J.W., Franco, L, Pearson, JM (2009). Overtopping performance of different armour units for rubble mound breakwaters, Coast. Engineering, 56, 166-179.
crossref
Cheng, Y., Plag, HP, Hamlington, BD, Xu, Q, He, Y (2015). Regional sea level variability in the Bohai Sea, Yellow Sea, and East China Sea, Cont. Shelf. Res, 111, 95-107.
crossref
Cheng, Y, Ezer, T, Hamlington, BD (2016). Sea level acceleration in the China Seas, Water, 8(7.
crossref
Christensen, NF, Roge, MS, Thomsen, JB, Andersen, TL, Burcharth, HF, Norgaard, JQH. (2014). Overtopping on rubble mound breakwaters for low steepness waves in deep and depth limited conditions, Proc. of 34th Conference on Coast. Engineering (Seoul, Korea, ASCE)..
crossref
Cui, M, Zorita, E (1998). Analysis of the sea-level variability along the Chinese coast and estimation of the impact of a CO2-perturbed atmospheric circulation, Tellus, 50A, 333-347.
crossref
Dangendorf, S., Mudersbach, C., Wahl, T, Jensen, J (2013). Characteristics of intra-, inter-annual and decadal sea-level variability and the role of meteorological forcing: the long record of Cuxhaven, Ocean Dyn, 63, 209-224.
crossref
IPCC. (2014). Climate Change 2014: Synthesis Report. Contribution of Working Groups I, II and III to the Fifth Assessment Report of the Intergovernmental Panel on Climate Change. IPCC, Geneva, Switzerland: p 151.

Jung, TS (2014). Change of mean sea level due to coastal development and climate change in the Western coast of Korean pen insula, Journal of Korean Society of Coastal and Ocean Engineers, 26(3):120-130 (in Korean)..

Kang, SK, Cherniawsky, JY, Foreman, M.G.G., So, J.K., Lee, S.R. (2008). Spatial variability in annual sea level variations around the Korean peninsula, Geophys Res Lett, 35(3.
crossref
Kim, HJ, Suh, SW (2019). Estimation of frequency of storm surge heights on the west and south coasts of Korea using synthesized typhoons, Journal of Korean Society of Coastal and Ocean Engineers, 31(5):(in Korean)..
crossref
Lee, H.Y, Suh, SW (2016). Application of EurOtop to improve simulations of coastal inundations due to wave overtopping, J. Coast. Res, 75(sp1):1377-1381.
crossref
Marcos, M., Tsimplis, M.N, Calafat, FM (2012). Inter-annual and decadal sea level variations in the north-western Pacific marginal seas, Prog. Oceanogr, 105, 4-21.
crossref
Méndez, FJ, Menéndez, M., Luceño, A, Losada, IJ (2006). Analyzing monthly extreme sea levels with a time-dependent GEV model, J. Atmos. Ocean. Technol, 24, 894-911.
crossref
Menéndez, M, Woodworth, PL (2010). Changes in extreme high water levels based on a quasi-global tide-gauge data set, J Geophys Res, 115(C10):1-15.
crossref
Pawlowicz, R., Beardsley, B, Lentz, S (2002). Classical tidal harmonic analysis including error estimates in MATLAB using T_TIDE, Comput. Geosci, 28, 929-937.
crossref
Pelling, HE, Uehara, K, Green, JAM (2013). The impact of rapid coastline changes and sea level rise on the tides in the Bohai Sea, China, J. Geophys. Res. Oceans, 118(7):3462-3472.
crossref
Peng, D., Hill, EM, Meltzner, A.J, Switzer, AD (2019). Tide gauge records show that the 18.61-year nodal tidal cycle can change high water levels by up to 30 cm, J. Geophys. Res. Oceans, 124, 736-749.
crossref
Pugh, DT, Woodworth, PL. (2014). Sea-level science: understanding tides, surges tsunamis and mean sea-level changes. Cambridge University Press, Cambridge United Kingdom: p 407.

Pullen, T, Allsop, NWH, Bruce, T, Kortenhaus, A, Schüttrumpf, H, van der Meer, JW. (2007). EurOtop, Wave Overtopping of Sea Defences and Related Structures, Assessment Manual, 1-178.

Suh, SW, Lee, H.Y, Kim, HJ (2014). Spatio-temporal variability of tidal asymmetry due to multiple coastal constructions along the west coast of Korea, Estuar. Coast. Shelf. Sci, 151, 336-346.
crossref
Suh, SW, Lee, HY, Kim, H.J, Fleming, JG (2015). An efficient early warning system for typhoon storm surge based on time-varying advisories by coupled ADCIRC and SWAN, Ocean Dyn, 65(5):617-646.
crossref
Suh, SW (2016). Tidal asymmetry and energy variations due to sea-level rise in a macro tidal bay, J. Coast. Res., Special Issue. 75, 765-769.
crossref
Suh, S.W, Kim, HJ (2018). Simulation of wave overtopping and inundation over a dike caused by typhoon Chaba at Marine city, Busan, Korea, J. Coast. Res., Special Issue. 85, 711-715.

Van der Meer, JW, Allsop, NWH, Bruce, T, De Rouck, J, Kortenhaus, A, Pullen, T, Schüttrumpf, H, Troch, P, Zanuttigh, B. (2016). EurOtop, Manual on Wave Overtopping of Sea Defences and Related Structures, An Overtopping Manual Largely Based on European Research, but for Worldwide Application.. 252.

Van Doorslaer, K, De Rouck, J, Van der Meer, J. (2016). The reduction of wave overtopping by means of a storm wall, Pro. of 35th Conference on Coast. Engineering (Antalya, Turkey, ASCE).
crossref
Watson, PJ (2015). Development of a Unique Synthetic Data Set to Improve Sea-Level Research and Understanding, J. Coast. Res, 31(3):758-770.
crossref
Wijeratne, EMS., Woodworth, P.L, Stepanov, VN (2008). The Seasonal Cycle of Sea Level in Sri Lanka and Southern India, West. Indian Ocean J. of Marine Sci, 7(1):29-43.
crossref