Comparative Analysis on the Design Conditions for Offshore Wind Power Structures in the Coastal Sea of Korea

한국 연안 해상풍력 구조물의 설계조건 비교분석

Article information

J Korean Soc Coast Ocean Eng. 2014;26(1):25-32
** Department of Civil and Environmental Engineering, Wonkwang University, 460, Iksandae-ro, Iksan, Jeonbuk 570-749, Korea, Tel.: +82-63-850-6714, Fax: +82-63-857-7204, stjeong@wku.ac.kr
Received 2014 January 30; Revised 2014 February 13; Accepted 2014 February 26.

Abstract

Offshore wind power structures are subject to coastal hydrodynamic loading such as wind and wave loads. A considerable number of turbines have been installed in Europe, but so far none in Korea. Interest in offshore wind energy is growing in Korea, and it is expected that projects will reach the design stage in the near future. This paper discusses the level of structural reliability implied by the design rules of ABS(2010, 2013) and IEC(2009). Metocean conditions in 4 Korean seas(Gunsan, HeMOSU 1, Mokpo, Jeju) were used in the calibrations to calculate the aerodynamic and hydrodynamic loads as well as the structural responses of the typical designs of offshore wind turbines. Due to the higher variability of the wind and wave climate in hurricane-prone areas, applying IEC strength design criteria in combination with Korea west sea conditions could result in a design with much lower reliability index than what is anticipated from a design in European waters. To achieve the same level of safety as those in European waters, application of ABS 100 year design standards are recommended. Level-1 reliability-based design suitable for the Korean sea state conditions should be introduced because the IEC standards does not consider the typhoon effects in depth and the ABS standards is a WSD design method. In addition, the design equation should be established based on the statistical characteristics of the wind and wave loads of the Korean sea areas.

Trans Abstract

해상풍력 구조물은 풍속과 파고 등 유체동역학적 하중의 영향을 받는다. 유럽의 경우 다수의 해상풍력발전기가 설치되어 있고, 한국의 경우에는 설치사례가 없으나, 해상풍력발전에 대한 관심이 고조되어 조만간 설계단계가 도래할 것으로 예상된다. 본 연구에서는 ABS(2010, 2013)와 IEC(2009)에서 제공하는 설계 기준을 이용하여 구조물의 신뢰성 수준을 검토하였다. 한국 연안 4개 지점(군산, HeMOSU 1호, 목포, 제주)의 해상조건을 사용하여 바람과 파랑하중, 해상풍력발전 구조물의 응답에 대하여 적용하였다. 검토 결과, 태풍이 우세한 해역의 경우 큰 변동성 때문에 IEC 설계기준을 한국 연안에 적용하는 경우, 유럽 해상에 적용한 결과보다 신뢰도 지수가 낮게 산정되었다. 유럽의 경우와 유사한 수준의 신뢰도 확보를 위해서는 ABS(2010, 2013) 100년 빈도 설계기준을 적용하는 것이 바람직한 것으로 파악되었다. 그러나, IEC 기준은 태풍의 영향에 대한 고려가 미흡하고, ABS 기준은 WSD 설계법이므로 국내 실정에 맞는 Level 1 신뢰성 설계법 도입이 필요하며, 국내 바람과 파랑 하중에 대한 통계적 특성을 고려하여 설계방정식을 설정하는 것도 필요하다.

1. 서 론

작은 조도(roughness), 작은 난류 발생, 고도별 작은 풍속변화 요인 등으로 육지에 비하여 강하고 안정된 바람이 발생하는 해양을 중심으로 풍력발전단지를 건설하는 추세이다. 해상풍력은 육상에 비하여 넓은 공간 확보, 대형 풍차의 설치 및 운반 가능, 용지 취득 및 시설의 건설과 철거 용이, 소음, 전파장애 등 환경문제가 미약한 장점이 있다.

국내의 경우, 해상풍력기기의 수출산업화와 RPS 충족을 위한 신재생에너지 개발을 목적으로 산업통상자원부와 전력사가 “서해남부 2.5 GW급 해상풍력 발전단지 개발”을 추진중이다. 산업통상자원부에서는 해상풍력 실증단지 예정부지에 대한 풍황 및 해황 조사, 향후 지속적인 계측을 통한 자료 축적으로 대상 부지에 적합한 풍력기기 선정의 기초자료 제공을 목적으로 전라북도 부안군 위도면 해상(E 126o 07' 45", N 35o 27' 55")에 해상 기상탑(HeMOSU-1호)를 설치하여 2010년부터 운영하고 있다.

해상풍력발전의 추진을 위해 해결해야 할 과제로는 해상풍력발전기초의 건설비가 육상에 비해 고가일 뿐 아니라 해상변전소, 송전선 부설 등의 송전비용이 고가이고, 어업과의 조정이 필요하며, 경관에 미치는 영향 등 환경상의 문제 등이 있다. 또한 가장 기본적이면서 중요한 문제로서 해상풍력발전시설의 설치에 관한 설계법이 정비되어 있지 않는 점이 있다.

본 연구에서는 해상풍력 구조물에 관한 각국의 설계 기준서를 비교하여 우리 실정에 맞는 설계기준을 검토하였다. 이를 위하여 한국 연안 4개 지점(군산, HeMOSU 1호, 목포, 제주)의 풍속과 파고 자료를 사용하여, 바람과 파랑하중 한계상태 방정식으로부터 신뢰도 지수와 부분안전계수를 산정하여 비교·분석하였다.

2. 설계기준의 검토

해상풍력 발전 단지 개발을 위해서는 태풍, 해일, 파랑 등 실증단지의 해양특성과 서해안의 특수한 지반조건 등 국내의 입지 개발여건에 부합하는 지지구조물 설계기준 수립이 필요하다. 특히 해상풍력 지지구조물의 경우, 시공가능 여부에 따라 개발량이 결정되는 해상풍력의 주요인자 중의 하나이며, 사업비 비중 또한 25%를 상회하기 때문에 경제성 확보가 매우 중요하며 이를 위한 최적화된 설계기준 제시가 필요하다.

미국 석유연구소(American Petroleum Institute, API)에서는 해양구조물에 대한 추천할 만한 실무 내용을 시리즈로 발간하고 있다. 가장 중요한 문서가 API RP 2A-WSD(API, 2007)로 파랑, 바람, 유속, 지진 등의 하중을 받는 미국 연안역의 해양구조물의 기본적인 설계방식을 소개하고 있다(American Bureau of Shipping, 2011). 그러나, 이 보고서에는 해상풍력터빈의 응답특성을 파악할 수 있는 설계환경조건과 설계하중 조건에 대한 정의가 존재하지 않는다.

과거 10 여년 동안 해상풍력 터빈설계에 필요한 설계기준이 발달되어 왔으나, 대부분의 기준은 유럽의 연안역에 설치된 해상풍력 터빈으로부터 얻은 경험을 기초로 하고 있다. 이러한 설계기준에는 IEC(2009)에서 발간한 보고서가 있으나, 태풍의 영향을 받는 지역에 대하여 이 IEC 기준을 적용할 수 없다. 한편 DNV(2010), GL(2005)에서 발행한 기준도 태풍의 영향을 받는 지역에 해상풍력터빈 설치를 위해서는 보다 신중하게 접근할 것을 주문하고 있다.

최근 미국 ABS(2010, 2011, 2013)에서는 착저식 해상풍력발전용 터빈 설치 설계기준을 제시하였으며, 이 기준에서는 미국 인근의 해역에서 발생하는 태풍의 영향을 고려할 수 있는 내용이 포함되었다. 뿐만 아니라 미국 연안에 설치된 해상풍력 터빈지지 구조물은 유럽의 IEC 61400-3(IEC, 2009)의 기준에 적합하도록 안전하게 설계되어 있다는 점을 검증하였다.

한편, MMI Engineering(2009)에서 수행한 연구 결과에 의하면 터빈 지지구조물의 설계시 IEC 61400-3과 ISO 19902(ISO, 2007)을 활용하여 설계한 결과는 API RP 2AWSD과 잘 일치하고 있다. 그러나, IEC/ISO 기준은 50년 빈도 기준의 해양환경과 IEC 61400-3의 하중계수, ISO 19902의 저항계수 및 신뢰성 설계법을 채택하였고, API 기준은 100년 빈도 기준의 해양환경과 API RP 2A-WSD에서 정의한 안전계수 및 허용응력 설계법을 사용하였다.

3. 신뢰성 해석법을 사용한 ABS와 IEC 설계법의 비교

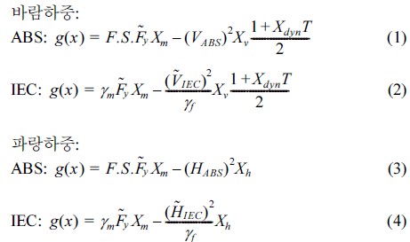
본 연구에서는 ABS(2010, 2013) 설계기준과 IEC(2009) 설계기준을 활용하여 설계한 자료를 대상으로 신뢰성 해석을 실시하였다. 극한 풍속 설계 하중 하에서 정상 및 비정상 상태의 터빈을 대상으로 설계를 수행하였으며, 바람과 파랑 하중에 대한 한계상태 방정식은 식 (1)~(4)와 같다(Yu et al., 2011). 이 식들은 해상풍력 지지구조물로 모노파일을 사용하는 경우에 대하여 바람과 파랑 하중에 의하여 발생하는 bending 응력을 대상으로 한 것이다.

한편, 상기 식에서 F.S.는 안전계수(Factor of Safety), γm은 부분재료계수(partial material factor), γf은 부분하중계수(partial load factor)이며, IEC 61400-3에서 추천한 ISO 19902(ISO, 2007)의 값들은 Table 1에, 확률변수들의 정의 및 분포형, 특성치들은 Table 2에 정리하였다.

Safety Factors for ABS and IEC/ISO Design Criteria

Definitions of Random Variables

4. 분석 자료

본 연구에서는 ABS와 IEC에서 제시한 설계기준을 활용하여 신뢰성 해석을 실시하였다. 분석에 사용한 해상기상자료는 유럽의 1개 지점(북해), 미국의 7개 지점(Gulf of Mexico, Atlantic 1, 2, 3, 4, Massachusetts offshore, Texas offshore) 지점(Yu et al., 2011), 한국 4개 지점(군산, HeMOSU 1호, 목포, 제주) 총 12지점이다. 이 중 국내 4개 지점의 위치는 Fig. 1에 도시하였다.

Fig. 1.

A map of four calculation stations in the Korean west and south coast(Gunsan, HeMOSU-1, Mokpo, and Jeju).

Table 3은 신뢰성 해석에 사용한 12개 지점의 바람 및 파고 자료의 변동계수를 정리한 결과이다. 이중 유럽과 미국의 8개 지점 자료는 Yu et al.,(2011)의 결과를 정리한 것이다. 한국 4개 지점의 풍속자료는 과거 20년 동안 한반도에 영향을 미친 태풍을 대상으로 Holland 모델을 사용하여 풍속을 산정한 후, 극치해석을 실시한 결과(Ko et al., 2014)이다. 반면 파랑자료는 KORDI(2005)의 자료를 정리한 결과이다. 한국 4개 지점의 풍속자료는 유럽에 비하여 변동계수가 3배에 이르고, 미국 해역의 변동계수 평균치에 해당한다. 이러한 현상은 유럽에 비하여 우리나라 및 미국은 열대성 저기압의 영향을 크게 받기 때문이다. 파랑 자료의 경우, 서해안은 차폐되어 비교적 파고가 작기 때문에 유럽과 유사한 경향을 보이나, 제주의 경우 개방된 해역이기 때문에 미국 남부 해역의 자료와 유사한 경향을 보이고 있다.

Coefficients of Variation(COVs) for wind and wave parameters

5. 분석 결과

Table 2에서 보인 바와 같이, 확률변수의 특성치는 백분위값(percentile value)으로 표현되어 있기 때문에, 신뢰성 해석을 위해서는 이 값들은 평균 및 표준편차로 변환하여야 한다. 백분위값과 대수정규 및 Gumbel 분포의 통계변수 특성은 각각 부록 A, B에 정리하였다. 이러한 과정을 통하여 산정한 평균 및 표준편차 등은 Table 4와 같다.

Table 4.

Characteristic values for random variables

신뢰도 지수 β는 FORM 분석법을 이용하여 Table 4와 한계상태 방정식 (1), (2), (3), (4)로부터 산정하였다. 신뢰도 지수를 산정하는 방법에는 연립방정식과 행렬을 사용하는 방법이 있으나 본 연구에서는 연립방정식을 이용하는 방법을 사용하였다( Jeong et al., 2010 ; Nowak and Collins, 2000).

Table 5, 6에 바람 및 파랑에 대하여 신뢰도 지수 산정결과를 각각 정리하였으며, Figs. 2, 3에 그 결과를 도시하였다. 그림에서 GM, A1, A2, A3, A4, MA, TX, GN, H1, MO, JU는 각각 Gulf of Mexico, Atlantic 1, 2, 3, 4, Massachusetts, Texas, Gunsan, HeMOSU 1, Mokpo, Jeju를 의미한다.

Reliability index, β for normal and abnormal conditions under wave loads

Fig. 2.

Reliability index, for wind loads.

Fig. 3.

Reliability index, for wave loads.

정상상태에서 바람하중에 대하여 북해 연안의 신뢰도 지수는 3.547로 산정되었다(Table 5). IEC/ISO 기준을 적용하는 경우, 북해 연안과 나머지 11개 지점들과 신뢰도 지수 차이는 미국 연안 7개 지점에서 −0.389 ~ −0.729, 한국 연안 4개 지점과 차이는 −0.538 ~ −0.602 작게 산정되어 신뢰도가 낮다는 것을 알 수 있다. 즉, 50년 빈도 바람자료를 활용하는 경우, 신뢰도가 낮아진다. 반면에 ABS(2010) 설계기준을 적용한 결과는 미국 연안 7개 지점에서 −0.034 ~ −0.369, 한국 연안 4개 지점과 차이는 −0.186 ~ −0.243 작게 산정되어 신뢰도가 조금 낮다는 것을 알 수 있다. 즉, 100년 빈도 바람자료를 활용하여 설계하는 경우, 신뢰도가 차이가 미미하다.

비정상상태에서 북해 연안의 신뢰도 지수는 3.063으로 산정되었다(Table 5). IEC/ISO 기준을 적용하는 경우 신뢰도 지수 차이는 미국 연안 7개 지점에서 −0.263 ~ −0.495, 한국 연안 4개 지점과 차이는 −0.365 ~ −0.409로 작게 산정되어 역시 신뢰도가 낮다는 것을 알 수 있다. 반면 ABS(2010) 설계기준을 적용하는 경우 미국 연안 7개 지점과 차이는 −0.117 ~ 0.131, 한국 연안 4개 지점과 차이는 −0.024 ~ −0.019로 산정되어 ABS(2010) 설계기준을 적용하는 것이 타당하다는 것을 알 수 있다.

파랑하중에 대하여 정상상태에서 북해 연안의 신뢰도 지수는 3.547로 산정되었다(Table 6). IEC/ISO 기준을 적용하는 경우, 북해 연안과 나머지 미국 연안 7개 지점 신뢰도 지수 차이는 −0.423 ~ −0.726, 한국 연안 4개 지점과 차이는 −0.664 ~ 0.002로 산정되어 신뢰도가 낮다는 것을 알 수 있다. 즉, 50년 빈도 바람자료를 활용하는 경우, 신뢰도가 낮아진다.

반면에 ABS(2010) 설계기준을 적용한 결과 미국 연안 7개 지점의 신뢰도 지수 차이는 −0.066 ~ −0.366, 한국 연안 4개 지점과 차이는 −0.309 ~ 0.3774로 산정되어 신뢰도가 조금 낮거나 크다는 것을 알 수 있다. 즉, 100년 빈도 바람자료를 활용하여 설계하는 경우, 신뢰도 차이가 미미하거나, 군산, HeMOSU 1, 목포 지점의 경우는 신뢰도가 커진다.

비정상상태에서 북해 연안의 신뢰도 지수는 3.071로 산정되었다(Table 6). IEC/ISO 기준을 적용하는 경우 미국 연안 7개 지점과 신뢰도 지수 차이는 −0.287 ~ −0.494, 한국 연안 4개 지점과 차이는 −0.452 ~ 0.0 작게 산정되어 신뢰도가 낮다는 것을 알 수 있다. 즉, 50년 빈도 바람자료를 활용하는 경우, 신뢰도가 낮아진다. ABS(2010) 설계기준을 적용하는 경우 미국 연안 7개 지점과 신뢰도 지수 차이는 −0.115 ~ 0.108, 한국 연안4개 지점과 차이는 −0.073 ~ 0.436으로 산정되어 ABS(2010) 설계기준을 적용하는 것이 타당하다는 것을 알 수 있다.

이상과 같은 결과로부터 태풍의 영향을 받는 국내 해역에 해상풍력발전 터빈을 설치하는 경우, IEC/ISO 기준을 적용하면 신뢰도가 낮아지므로, 사용이 불가능하다. 반면에 ABS(2010) 설계기준을 적용하는 경우 신뢰도를 확보할 수 있으나, 이 방법은 허용응력설계법에 근거하고 있으므로, 새로운 신뢰성 설계기준의 정립이 필요하다.

Joint Committee on Structural Safety(JCSS, 2001)와 Germanischer Llyod(GL, 2005)에서 제시하는 자료를 기준하여 본 연구에서는 신뢰도 지수 β = 3.72(목표 파괴확률, 10−4)을 기준으로 부분안전계수를 산정하였다. 50년 및 100년 빈도 하중에 대한 부분안전계수 산정치는 Table 7, 8에 각각 제시하였다.

Table 7.

Partial safety factors for 50-year return period hydrodynamic loading

Table 8.

Partial safety factors for 100-year return period hydrodynamic loading

산정된 부분안전계수는 Level 1 신뢰성 설계법으로 설계하는 경우, 식 (2), (4)에 대입하여 확률변수들의 특성치를 산정할 수 있다. 이 경우 설계방정식이 목표 파괴 확률 허용 한계를 유지하고 있다.

6. 결론 및 토의

50년 빈도 풍속 및 파고를 사용하는 IEC 기준을 태풍의 영향을 받는 미국의 7개 지점(Gulf of Mexico, Atlantic 1, 2, 3, 4, Massachusetts offshore, Texas offshore), 한국 연안 4개 지점(군산, HeMOSU 1호, 목포, 제주)에 대하여 적용한 결과, 신뢰도 지수가 낮게 산정된다. 반면 100년 빈도 극치값을 사용하는 ABS(2010, 2011, 2013) 기준을 적용하는 경우, 북해 연안과 유사한 신뢰도 지수가 산정된다. 즉, 태풍의 영향을 받는 국내의 경우 100년 빈도 극치 풍속 및 파고를 사용하는 것이 바람직하다. 한편 DNV(2010), GL(2005)에서 발행한 기준도 태풍의 영향을 받는 지역에 해상풍력터빈 설치를 위해서는 보다 신중하게 접근할 것을 주문하고 있다.

미국 ABS(2010, 2011, 2013)는 미국 인근 해역에서 발생하는 태풍의 영향을 고려할 수 있는 내용이 포함된, 착저식 해상풍력발전용 터빈 설치 설계기준을 제시하였다.

본 연구에서 미국 7개 및 한국 연안 4개 지점을 대상으로 신뢰도 지수를 산정한 결과 ABS 기준(2010, 2011, 2013)이 IEC 기준(2009)에서 제시한 파괴확률을 대체로 만족하는 것을 확인하였다. 따라서 바람 및 파랑하중에 대한 재현기간은 50년이 아닌 100년 빈도를 사용하는 것이 적절한 것으로 사료된다.

IEC 기준(2009)은 태풍의 영향을 고려하는 부분이 미흡하고, ABS 기준은 WSD 설계법이므로 국내 실정에 맞는 Level 1 신뢰성 설계법을 도입하는 필요하며, 국내 해양환경 하중(wind, wave 등)에 대한 통계적 특성을 고려하여 설계방정식(design equation)을 설정하는 것이 필요하다.

Acknowledgements

본 연구는 지식경제 기술혁신사업인 “서남해 2.5GW 해상풍력 개발을 위한 실증단계 연구(과제번호:20113040020010)”와 해양에너지 및 자원이용기술개발사업인 “해양에너지 전문 인력 양성사업(과제번호:20110020)”의 일환으로 수행되었습니다.

References

1. American Bureau of Shipping(ABS). Guide for Building and Classing Offshore Wind turbine Installations 2010.
2. American Bureau of Shipping(ABS). Design Standards for Offshore Wind Farms 2011.
3. American Bureau of Shipping(ABS). Guide for Building and Classing Bottom-Founded Offshore Wind turbine Installations 2013.
4. American Petroleum Institute(API). API RP 2A-WSD: Recommended Practice for Planning Designing and Constructing Fixed Offshore structures –Working Stress Design, 21st Edition (with Errata and Supplement in 2002, 2005 and 2007) 2007.
5. Det Norske Veritas (DNV). OS-J101 Design of offshore wind turbine structures 2010.
6. Germanischer Llyod (GL). Guideline for the certification of offshore wind turbines 2005.
7. International Electrotechnical Commission (IEC). IEC 61400-3: Wind turbines - Part 3: Design Requirements for Offshore Wind turbines 2009.
8. International Organization for Standardization (ISO). ISO 19902: Petroleum and Natural Gas Industries - Fixed Steel Offshore Structures 2007.
9. Jeong S.-T, Ko D.-H, Park T.-H, Kim J.-D, Cho H.-Y. Development of Reliability-Based Design Program based on the MATLAB GUI Environment. Journal of korean society of coastal and ocean engineers 2010;22(6):415–422.
10. Joint Committee on Structural Safety (JCSS). Probabilistic Model Code Part 1 - Basic of Design 2001.
11. Ko D.-H, Jeong S.-T, Cho H.-Y, Kang K.-S. Extreme Offshore Wind Estimation using Typhoon Simulation. Submitted to Journal of Korean Society of Coastal and Ocean Engineers. (in Korean) 2014;10.9765/KSCOE.2014.26.1.16.
12. Korea Ocean Research & Development Institute(KORDI). The report of estimation for deep-sea design wave in Korean coastal seas II. (in Korean) 2005.
13. MMI Engineering Inc. Comparative Study of OWTG Standards. Comparative Study of Offshore Wind Turbine Standards JIP Report 2009.
14. Nowak A.S, Collins K.R. Reliability of Structures. McGraw Hill 2000;
15. Yu Q, Samuelsson L, Tan P. Design Considerations for Offshore Wind Turbines in US Waters - the American Way. Offshore Technology Conference (OTC), Houston, Texas, Paper No. OTC 21870 2011;10.4043/21870-MS.

Appendices

Appendix A. 백분율(percentile)과 대수정규(lognormal) 분포 함수 평균 및 표준편차 관계

확률변수 X의 자연대수 ln(X)가 정규분포 확률변수인 경우, X의 확률분포를 대수정규(lognormal)분포라 하며, 확률밀도 함수(PDF) 및 특성치는 Table A1과 같다.

Table A1.

Properties of longnormal distribution

여기서, λζ는 대수정규분포의 모수이며, 이들은 각각 확률변수 lnX의 평균과 표준편차이다. 대수정규분포 확률밀도 함수 및 누적 분포함수는 표준정규분포 확률밀도 함수(φ) 및 누적 분포함수(Φ)를 사용하여 산정할 수 있다. 백분율(percentile)을 p, 백분율값(percentile value)을 pv라고 하면

가 된다. 식(A6)을 정리하면

가 된다. 이 식에 을 대입하여 정리하면,

이 된다. 따라서, 식 (A5)와 (A8)을 이용하여 ζ, λ를 산정한 후, 식 (A2)를 이용하여 μX를 산정하고, COV값을 이용하여 표준편차를 산정한다.

Appendices

Appendix B. 백분율(percentile)과 Gumbel 분포 함수 평균 및 표준편차 관계

Gumbel 분포 확률밀도 함수(PDF), 누적 분포함수(CDF) 및 특성치는 Table B1과 같다.

Table B1.

Properties of Gumbel distribution

식 (B2)를 u에 대하여 정리하면, 다음과 같다.

식 (B3)에 식 (B5)를 대입하여 정리하면

가 된다. 한편, 분산 관계식 (B4)를 이용하여 변동계수(COV)를 산정하면

가 된다. 이 식은 β에 대한 1차방정식이므로, β에 대하여 정리하면

가 된다. 식 (B8)을 식 (B5)에 대입하여 u를 산정한 후, 식 (B3), (B4)를 이용하여 평균 및 표준편차를 산정한다.

Article information Continued

Table 1.

Safety Factors for ABS and IEC/ISO Design Criteria

Load Type ABS IEC 61400-3 / ISO 19902
Normal* Abnormal** Normal Abnormal
F.S. F.S. γm γf γm γf
Bending 1.50 1.25 1.05 1.35 1.05 1.10

  *Normal design cases are expected to occur frequently within the lifetime of a turbine

**Abnormal cases usually correspond to design situations with severe faults that result in activation of system protection functions

Table 2.

Definitions of Random Variables

Variable Definition Distribution COV Characteristic Value
Normalized critical bending strength Lognormal 5 % 5-percentile value 1.13
Xm Model Uncertainty of material strength(resistance) Lognormal 8.5 % Mean value 1.11
Normalized annual maximum wind speed(100-year return) Gumbel Table 5 99-percentile value 1.0
Normalized annual maximum wind speed(50-year return) Gumbel Table 5 98-percentile value 1.0
Xv Model Uncertainty of aerodynamic load Lognormal 10 % Mean value 1.0
Xdyn Model Uncertainty for dynamic response to turbulent wind Lognormal 5 % Mean value 1.0
T Normalized response to turbulent wind Gumbel 10 % Mean value 1.0
Normalized annual maximum wave height(100-year return) Gumbel Table 5 99-percentile value 1.0
Normalized annual maximum wave height(50-year return) Gumbel Table 5 98-percentile value 1.0
Xh Model Uncertainty of hydrodynamic load Lognormal 10 % Mean value 1.0

Fig. 1.

A map of four calculation stations in the Korean west and south coast(Gunsan, HeMOSU-1, Mokpo, and Jeju).

Table 3.

Coefficients of Variation(COVs) for wind and wave parameters

Location COV of Normalized Annual Maximum Wind Speed COV of Normalized Annual Maximum Wave Height
North Sea 0.120 0.120
GoM 0.250 0.250
Atlantic 1 0.400 0.500
Atlantic 2 0.310 0.230
Atlantic 3 0.220 0.290
Atlantic 4 0.280 0.350
MA site-specific 0.400 0.450
TX site-specific 0.530 0.470
Gunsan 0.300 0.120
HeMOSU 1 0.340 0.150
Mokpo 0.350 0.130
Jeju 0.320 0.410

Table 4.

Characteristic values for random variables

Table 4.

Table 5.

Reliability index, β for normal and abnormal conditions under wind loads

Wind
Location State North Sea GoM Atlantic 1 Atlantic 2 Atlantic 3 Atlantic 4 MA TX Gunsan HeMOSU 1 Mokpo Jeju
ABS
(100yr)
Normal - 3.448 3.259 3.353 3.512 3.396 3.259 3.158 3.361 3.321 3.304 3.337
Abnormal - 3.147 3.008 3.077 3.1943 3.109 3.008 2.946 3.082 3.053 3.039 3.064
IEC
(50-yr)
Normal 3.547 3.093 2.902 2.997 3.157 3.042 2.902 2.818 3.009 2.965 2.945 2.982
Abnormal 3.064 2.774 2.634 2.699 2.781 2.720 2.626 2.576 2.698 2.669 2.654 2.679

Table 6.

Reliability index, β for normal and abnormal conditions under wave loads

Wave
Location State North Sea GoM Atlantic 1 Atlantic 2 Atlantic 3 Atlantic 4 MA TX Gunsan HeMOSU 1 Mokpo Jeju
ABS
(100yr)
Normal - 3.436 3.168 3.473 3.36 3.328 3.193 3.183 3.932 3.758 3.832 3.246
Abnormal - 3.157 2.956 3.161 3.095 3.041 2.978 2.969 3.504 3.375 3.429 2.995
IEC
(50-yr)
Normal 3.547 3.092 2.852 3.157 3.024 2.947 2.876 2.865 3.557 3.402 3.476 2.891
Abnormal 3.071 2.774 2.581 2.774 2.714 2.661 2.603 2.593 3.068 2.965 3.016 2.616

Fig. 2.

Reliability index, for wind loads.

Fig. 3.

Reliability index, for wave loads.

Table 7.

Partial safety factors for 50-year return period hydrodynamic loading

Table 7.

Table 8.

Partial safety factors for 100-year return period hydrodynamic loading

Table 8.

Table A1.

Properties of longnormal distribution

Table A1.

Table B1.

Properties of Gumbel distribution

Table B1.