Extreme Offshore Wind Estimation using Typhoon Simulation
태풍 모의를 통한 해상 설계풍속 추정
Article information
Abstract
Long-term measured wind data are absolutely necessary to estimate extreme offshore wind speed. However, it is almost impossible to collect offshore wind measured data. Therefore, typhoon simulation is widely used to analyze offshore wind conditions. In this paper, 74 typhoons which affected the western sea of Korea during 1978-2012(35 years) were simulated using Holland(1980) model. The results showed that 49.02 m/s maximum wind speed affected by BOLAVEN(1215) at 100 m heights of HeMOSU-1 (Herald of Meteorological and Oceanographic Special Unit - 1) was the biggest wind speed for 35 years. Meanwhile, estimated wind speeds were compared with observed data for MUIFA, BOLAVEN, SANBA at HeMOSU-1. And to estimate extreme wind speed having return periods, extreme analysis was conducted by assuming 35 annual maximum wind speed at four site(HeMOSU-1, Gunsan, Mokpo and Jeju) in western sea of the Korean Peninsular to be Gumbel distribution. As a results, extreme wind speed having 50-year return period was 50 m/s, that of 100-year was 54.92 m/s at 100 m heights, respectively. The maximum wind speed by BOLAVEN could be considered as a extreme winds having 50-year return period.
Trans Abstract
극치해상 풍속 산정을 위해서는 장기 관측자료가 반드시 필요하다. 그러나, 해상에서의 장기 관측 자료를 확보하기란 거의 불가능하다. 따라서 해상 바람 조건을 분석하기 위해 태풍 모의 기법이 널리 이용되어 진다. 본 연구에서는 Holland(1980) model을 이용하여 1978년부터 2012년까지(35년간) 한반도 서해안 지역에 영향을 미친 총 74개 태풍에 대해서 태풍 모의를 하였다. 그 결과, BOLAVEN(1215)에 의한 HeMOSU-1의 100 m 고도 최대풍속은 49.02 m/s로서 35년간 가장 영향을 크게 미친 태풍으로 나타났다. 한편, 모의 결과는 서해안 지역에 설치 된 HeMOSU-1의 관측치(MUIFA, BOLAVEN, SANBA)와 비교하였다. 그리고 재현주기별 극치 풍속을 예측하기 위해 한반도 서해안 4개 지점(HeMOSU-1, 군산, 목포, 제주)의 35개 연 최대 풍속 자료에 Gumbel 분포형을 적용하였다. HeMOSU-1 지점의 해상 100 m 높이에서의 50년 빈도 설계풍속 값은 50 m/s, 100년 빈도 설계풍속 값은 54.92 m/s로 나타났으며, BOLAVEN 풍속이 50년 빈도 풍속에 해당되었다.
1. 서 론
국내 서남해 2.5 GW 해상풍력 단지, 새만금 풍력발전 시범단지 등 국가에너지 기본계획 및 국가에너지 기술개발 계획 등이 시행되어지며 3E(에너지 안보, 환경보전, 경제성장)를 달성하고자 해상풍력에 대한 관심이 높아지고 있다. 그러나 해상풍력단지 개발을 위한 국내 기술력은 아직 발전 단계에 있으며 태풍, 해일, 파랑 등 실증단지의 해양 특성과 서해안의 특수한 지반조건 등 국내의 입지 개발여건에 부합하는 지지구조물 설계기준도 미흡한 실정이다.
해상풍력단지 건설을 위한 세계 각국의 설계기준은 세계적으로 다양하며, 국내 설계에 준용하고 있는 기준서로는 IEC 61400-3, DNV, ISO, GL, ABS, API RP 2A등이 있다. 이러한 설계 기준에서는 터빈 클래스와 구조물 설계 등을 결정하기 위해 설계 외부조건에 대하여 검토할 것을 요구한다. 이러한 설계 외부조건은 크게 바람 조건과 해상 조건으로 나눌 수 있으며 그 외에 온도, 습도 등을 고려할 수 있다. 이 중 바람 조건은 터빈의 정상 운영동안에 자주 발생하는 정상상태 풍속조건과 태풍 시와 같이 풍속과 풍향이 급변하여 1년, 50년 및 100년 재현주기를 갖는 극치 풍속을 나타내는 극치상태 풍속조건으로 나눌 수 있다(IEC, 2009). IEC 61400-1에서는 태풍의 영향을 받는 지역의 터빈 등급을 S 등급으로 규정하고 설계자에 의해 10분 평균 풍속을 제시하도록 하며 태풍의 영향을 합리적으로 결정할 수 있도록 제안하고 있다. 한편, CEM(Coastal Engineering Manual)에서는 풍속 모델링이 필요할 때에 태풍 풍속과 기압 프로파일 모델인 Holland(1980) model을 제안하고 있다(US Army Corps of Engineers, 2006). 이 외에도 DNV(2010), GL(2005)에서 발행한 설계 기준 서에는 태풍의 영향을 받는 지역에 해상풍력터빈 설치를 위해서는 태풍의 영향을 고려하여 보다 신중하게 접근할 것을 주문하고 있다.
한편, 국내 항만 및 어항 설계기준에서는 대상지역별로 풍속 값을 Table 1과 같이 제시하였다. 여기서, 풍속 값은 지면상 20 m에서의 최대순간풍속(2~3초 Gust)을 의미한다(MMAF, 2005).
그러나, 도로교설계기준에서는 재현기간 100년에 해당하는 지역별 지상 10 m의 10분 평균풍속을 Table 2와 같이 제시하고 있다(KRTA, 2010).
Table 1과 2에서 보는 바와 같이, 각 기관에서 권장하는 풍속 자체에도 차이가 나기 때문에 설계풍속을 추정하는 가장 확실한 방법은 해상풍력 발전단지가 건설될 예정 지점에 기상 관측타워를 설치하고 장기간 풍속을 측정하는 방법이다. 장기 관측을 위해 현재 국내 기상청과 국립해양조사원에서는 기상 부이를 이용하여 해양 물리 환경을 관측하고 있지만, 국립해양조사원의 경우 불과 1~2년 전에 관측이 시작되어 장기 누적 자료의 확보가 어렵고 기상청 국내 부이는 장기간 관측을 수행하였지만 태풍이 근접했을 때 결측이 상당하여 극치 풍속 값에 대한 영향이 저하된다. 따라서 장기 관측 자료가 가용치 않을 때의 극치 설계 풍속은 태풍 시뮬레이션기법 등의 합리적인 방법을 이용하여 산출 된 장기 풍속 자료로부터 극치분포 모델을 사용하여 추정할 수 있다.
일반적으로 태풍 시뮬레이션 기법으로는 MCP(Measure-Correlate-Predict)방법, Holland 모델을 이용한 해석적 방법 그리고 Monte Carlo method를 이용한 태풍 시뮬레이션 방법을 주로 사용하고 있다(Matsui. et al., 1998). Kim et al.(2005)은 Monte Carlo 태풍 시뮬레이션을 이용하여 울산지역 강풍 발생빈도를 추정하였으며, Kwon et al.(2008)은 서남해안의 풍속을 추정하기 위하여 개선된 태풍 몬테카를로 시뮬레이션 기법을 제시하였다. Rogers et al.(2005)와 권 등(2009)은 MCP방법을 이용하여 풍속자원을 예측하였으며(Velazquez et al., 2011), Ott(2006)는 Holland(1980) model을 이용하여 북서 태평양 지역의 극치 풍속을 산정한 바 있다(Willoughby and Rahn, 2004). 또한 KHOA(2011)에서는 해안 침수 예상지역의 예방을 위한 해안침수예상도 제작 및 보급을 위해 태풍 시뮬레이션을 수행하였다.
MCP 방법은 단기 해상 자료와 인근 장기 육상 자료와의 관계식을 통하여 장기 해상자료를 도출하는 방법이다. 그러나 두 지점간의 떨어진 거리가 상당하거나, 태풍으로 인하여 육상 자료의 결측 시 태풍특성을 반영하기 어렵다. 또한 해상과 육상의 표면조도는 상이하기 때문에 변환 시에 많은 불확실성이 내포되게 된다. 따라서 신뢰도 있는 태풍 특성 자료를 바탕으로 태풍 모델링을 수행하는 것이 불확실성을 최소화하고 현장 상황에 맞는 합리적인 결과를 도출할 수 있다.
본 연구에서는 태풍 최적경로 자료를 사용하여 국내 서해안의 4개 지점(HeMOSU-1, 군산, 목포, 제주)에 대해서 태풍 모델링을 수행하였다. 분석 태풍은 1978년~2012년 총 35년간 서해안에 영향을 미친 74개의 태풍에 대해서 시뮬레이션을 수행하였으며 이 결과에 대하여 극치 분석을 수행하였다. 태풍 모델로는 Schloemer(1954), Holland(1980)등에 의해 제시된 Holland model을 사용하였으며 연구 결과를 HeMOSU-1(Herald of Meteorological and Oceanographic Special Unit - 1) 해상 기상타워의 관측 자료와 비교하였다.
2. 자료와 방법
2.1 분석 지점
산업통상자원부는 국내 서남해안 해역에 위치한 위도와 안마도 사이, 126o 07' 45.30 E, 35o 27' 55.17 N 지점에 해상풍력 실증단지 구축 연구의 일환으로 HeMOSU-1를 설치하여 바람 및 해양 자료를 관측 중에 있다. 관측 높이는 평균해수면 기준으로 하여 97.35, 96.31, 86.31, 76.31, 66.31, 56.31, 46.31, 26.31 m이며, Sampling Rate는 3.33 Hz이다. 본 연구에서는 이외에도 3개 지점(군산, 목포, 제주)을 추가적으로 선정하여 태풍 시 해상풍을 산출하였다. Fig. 1에 HeMOSU-1, 군산, 목포, 제주 총 4개 지점의 위치를 나타냈으며, Table 3에 4개 지점의 좌표를 정리하였다.

A map of four site(Gunsan, HeMOSU-1, Mokpo and Jeju) for analysis of extreme wind speed in western sea of Korea.
2.2 RSMC-Tokyo 최적경로자료
많은 변수를 가지고 있는 태풍을 정확하게 모사하기란 현실적으로 거의 불가능하다. 그러나 태풍의 특성을 잘 반영한 태풍 정보는 어느 정도 현실성을 내포하고 있으며 합리적인 결과를 도출할 수 있기 때문에 태풍 특성 파라미터들을 정의하는 것은 매우 중요하다. 일본 기상청(JMA)에서 운영하는 RSMC(Regional Specialized Meteorological Center)-Tokyo에서는 1951년부터 북서태평양에서 중국해역까지(100o E~ 180oE)의 모든 태풍 정보를 3~6시간 간격으로 수집 및 분석하고 있으며 태풍 정보를 최적경로자료의 형태로 제공하고 있다. 최적경로자료는 태풍 강도, 태풍 중심기압 및 경위도좌표, 최대지속풍속, 25m/s와 15m/s 풍속의 장단반경을 제공하고 있으며, 이러한 정보는 태풍 모델링에 사용되어질 수 있다. 한편, 미국 해군에서 운영하는 하와이 소재 JTWC(Joint Typhoon Warning Cener)에서도 유사 자료를 제공하고 있다.
Ott(2006)는 RSMC-Tokyo와 JTWC 자료를 비교하여 특성 분석을 하였으며 이를 이용하여 필리핀을 포함한 북서태평양에서 50년 빈도 설계풍속을 산정하였다. 또한, Ko et al.(2013)는 RSMC-Tokyo와 JTWC의 최적경로자료를 비교하여 두 기관의 자료 특성을 검토한 바 있다.
2.3 이론적 배경
태풍 시의 기압장 모델로는 Holland model(Holland, 1980), Original Rankin vortex model(Schloemer, 1954), BRETgeneral model(Bjerkness, 1921)과 Fujita model(Fujita, 1952; Mitsuta, 1979)이 있으며 이 식들은 을 이용하여 경도풍 모델로 유도할 수 있다. 한편, 이러한 모델 중에서 Holland model은 관측 풍속장과 가장 유사한 값을 보여주고 있으며, 간단한 best track data의 적용이 용이한 식으로서 공학자들에게 매우 유용하다(Holland, 1980; Ott, 2006; US Army Corps of Engineers, 2006; Willoughby and Rahn, 2004).
Schloemer(1954)는 중심기압과 주변기압의 차이로 인해 발생하는 변동성을 정규화 시키기 위해 다음과 같은 식 (1)을 제시하였다.
여기서 p는 거리, r(km)에서의 기압(hPa), Pc는 태풍 중심기압(hPa), pn은 주변기압(hPa)이다.
Holland(1980)는 압력장 모델로서 식 (2)와 같이 제안하였다.
여기서, A와 B는 매개변수이다.
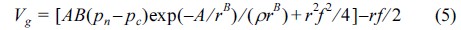
경도풍, Vg에 대한 관계식(the gradient wind equations)을 태풍 중심에서 임의의 거리 r의 함수로 다음 식 (3)과 같이 표시할 수 있다.
여기서 Vg는 거리 r에서의 경도풍이고, f는 코리올리 매개변수, ρ는 공기밀도(kg/m3)이다.
를 식 (2)으로부터 구하면 다음 식 (4)와 같다.
식 (4)를 식 (3)에 대입하면 다음 식 (5)와 같이 Holland model이 된다.
한편, 전향력 계수(코리올리 계수, Coriolis parameter), f는 식(6)을 이용하여 계산하였다.
여기서, ω는 지구 자전 각속도(7.29 × 10-5rad/s), φ는 위도이다.
2.4 최대풍속반경(Radius of maximum wind)
태풍 시뮬레이션을 위한 특성 인자로는 태풍 진행경로(위/경도), 중심기압, 최대풍속, 최대풍속반경, 25 m/s와 15 m/s의 풍속에 대한 장·단반경 등이 있다. 이 중 최대풍속반경(Radius of Maximum Winds), Rmax은 태풍 중심에서 최대풍속이 발생하는 지점까지의 거리로서 태풍 산정에 있어서 풍속 프로파일을 결정짓는 매우 중요한 역할을 한다.
Holland model의 매개변수 A와 B를 이용하면 다음 식 (7)과 같이 최대풍속 반경을 산출 할 수 있다(Holland, 1980).
B의 값은 풍속 프로파일의 형상을 결정짓는 역할을 하며, Holland는 이 값을 관측치로부터 회귀하여 추정하도록 제안하였다. 본 연구에서는 A, B 그리고 태풍 별 최대풍속 반경을 산출하기 위해 RSMC-Tokyo best track data와 Holland model을 이용하였다. 25 m/s와 15 m/s 풍속에 대한 장·단반경 정보를 Holland model에 적용하면 A와 B, 두 개의 미지수를 가지는 두 개의 비선형 방정식이 수립된다. 이 두 식에 초깃값을 가정하고(A = 150, B = 1) Newton-Raphson 법을 이용하여 반복계산을 수행하면 매개변수 A, B를 산출할 수 있다(Chapra, 2012).
2.5 Wind profile model
태풍 모델링의 결과는 해수면 10 m 높이에서의 풍속 값을 제시한다. 그러나 설계풍속은 터빈의 설치 위치 높이인 100 m에서의 풍속 값을 필요로 하기 때문에 10 m의 높이를 100 m로 변환이 필요하다. 풍속 고도분포(Wind profiles)를 추정하는 방법으로는 멱법칙(Power law)과 대수법칙(Logarithmic method), 돌풍 인자법(Gust method), 표준 편차법(Standard deviation measurements) 등이 있지만 비교적 사용이 간편한 멱법칙이 주로 사용된다(Ko. et al., 2012).
멱법칙의 형태는 다음 식 (8)과 같다(Mwanyika and Kainkwa, 2006).
여기서 U(zref)는 기준 높이 zref에서의 평균 풍속(m/s)이며, U(z)는 고도 에서의 평균 풍속(m/s), α는 고도분포지수이다. 한편, IEC 61400-3에서는 해수면 고도분포지수 값으로 0.14를 사용하도록 권고하고 있지만 이 값은 정상 상태일 때에만 적용이 가능하며 태풍과 같은 극치 상태에서는 적용할 수 없으므로 태풍시의 고도분포지수를 추정할 필요가 있다. 본 연구에서는 태풍 MUIFA(1109), DAMREY(1210), BOLAVEN(1215), SANBA(1216) 4개 태풍이 서해안 인근에 인접하였을 때의 관측 자료를 회귀 분석(regression analysis)하여 고도분포지수를 0.1로 산정하였으며 이때, 결정계수 R2는 0.9073으로 나타났다. Fig. 2는 회귀분석 결과 중 특정 시간 때를 도시화하였다.
3. 태풍 시뮬레이션
3.1 연 최대 풍속 산정
본 연구에서는 서해안 해상풍력단지 후보지점에 영향을 미친 1978년에서 2012년(35년간), 총 74개 태풍에 대해서 태풍 모델링을 수행하였다. 해석에 이용된 태풍 정보는 Table. 4와 같다.
식 (5)를 이용하여 태풍 시뮬레이션을 수행하였고, 식 (8)에 의해 10 m 높이의 풍속 값을 100 m로 보정하였다. Fig. 3에 연 최대풍속을 비교하기위해 그래프로 나타내었다. 이 중, 2012년 태풍 BOLAVEN(1215)에 의한 풍속이 49.02 m/s로 35년간 자료 중 가장 크게 나타났다.
3.2 모델 검증
본 연구에서는 모델링 오차를 추정하기 위해 MUIFA(1109), BOLAVEN(1215), SANBA(1216) 3개 태풍을 대상으로 26.31 m 고도에서 해모수 1호 관측치와 모델링 추정치를 비교하였다. Fig. 4는 본 해석에 사용 된 태풍의 최적 경로를 시간별로 도시한 것이다. 모델 검증을 위해 MUIFA(1109)의 발생기간인 2011.07.29.18~2011.08.08.00까지 총 38개 자료를 활용하였으며, BOLAVEN(1215)은 2012.08.21.12~2012.08.28.12 기간 동안 총 29개 자료, SANBA(1216)는 2012.09.12.06~2012.09.17.06까지 총 21개 자료를 사용하였다.
그 결과, Fig. 5~7과 같이 풍속 변화의 경향이 유사하게 나타났으며, 관측치와 모델 추정치의 RMSE는 MUIFA(1109)는 6.85 m/s, BOLAVEN(1215)은 8.99 m/s, SANBA(1216)는 3.98 m/s 로 각각 산정되었다. 또한 동기간동안 HeMOSU-1의 26.31m 에서의 관측 최대풍속과 추정 최대풍속을 비교하였다. BOLAVEN(1215)의 경우, 관측 최대풍속은 44.75 m/s, 추정 최대 풍속은 42.89 m/s로 나타났으며, 두 최대풍속 간의 상대오차는 4.16%로 산정되었다. SANBA(1216)의 경우에는 관측 최대풍속은 23.27 m/s, 추정 최대풍속은 25.62 m/s로 10.1%의 상대오차를 보였다. 그리고 MUIFA(1109)의 경우, 관측 최대풍속은 31.63 m/s, 추정 최대풍속은 26.25 m/s로 17.01% 상대오차를 보였다. 이러한 풍속의 크기와 발생 시간의 차이는 best track data에서 제공하는 태풍 파라미터 값의 부정확성 문제와 기압장 모델이 가지고 있는 불확실성으로 인해 나타나는 것으로 판단된다. 한편, 태풍 모델링에서 오는 오차는 현실적으로 불가피하다. 따라서 RMS 오차 및 상대오차의 발생을 최소화하기 위해서는 태풍특성인자의 특성 분석 및 모델에 대한 성능평가가 요구된다.

Time series graph on maximum wind speed(m/s) of MUIFA(1109) from 2011.07.29.18 to 2011.08.08.00 at M.S.L(+) 26.31 m heights.

Time series graph on maximum wind speed(m/s) of SNABA(1216) from 2012.09.12.06 to 2012.09.17.06 at M.S.L(+) 26.31 m heights.

Time series graph on maximum wind speed(m/s) of BOLAVEN(12115) from 2012.08.21.12 to 2012.08.28.12 at M.S.L(+) 26.31 m heights.
3.3 극치분석
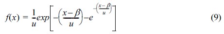
총 74개 태풍 중 연 최대 풍속을 이용하여 서해안 4개 지점의 풍속 극치 분석을 수행하였다. 프로그램은 MATLAB 언어로 작성된 Rao(2000)의 자료를 이용하였다. 매개변수 추정법으로는 확률 가중 모멘트법(Probability Weighted Moments)을 이용하였으며, 극치모델로는 Gumbel 분포형을 사용하였다. Gumbel 분포형의 확률밀도함수(Probability Density Function)는 다음 식 (9)와 같다.
여기서, u는 scale parameter, β는 location parameter이다.
이에 대한 매개변수와 재현주기별 극치풍속 결과를 Fig. 8과 Table 5에 정리하였다.

Results of extreme analysis for 35 estimated wind speeds of typhoons having 50-year or 100-year return period at HeMOSU-1, Gunsan, Mokpo and Jeju
4. 결론 및 제언
본 연구에서는 해상 설계풍속 추정을 위해 서해안 지역에 영향을 미친 1978년에서 2012년, 총 35년간, 74개 태풍에 대해서 태풍 모의를 수행하였으며, 이를 통해 다음과 같은 결론을 도출하였다.
(1) 태풍 모델링을 위한 기압장 모델로는 Holland model, Original Rankin vortex model, BRET-general model과 Fujita model이 있으며 이 모델 중에서 Holland model은 관측 풍속장과 가장 유사한 값을 보여주고 있다(Holland, 1980; US Army Corps of Engineers, 2006). 또한, RSMC-Tokyo best track data는 북서태평양 지역의 태풍 특성 인자로서 태풍 모의에 이용할 수 있다.
(2) 본 연구에서 추정된 풍속은 해상 10 m의 풍속으로서 터빈 설치 높이에서의 풍속 산정을 위해 고도보정이 필요하며, 일반적으로 고도보정함수로는 멱법칙이 널리 사용된다. 그러나 정상 상태와 달리 태풍과 같은 극치 상태에서는 멱법칙의 고도분포지수 값을 0.14로 사용하기에 무리가 따른다. 따라서 본 연구에서는 태풍 시 풍속 고도분포의 형상을 재현하기 위해 고도분포지수를 관측값으로부터 추정하였다. 그 결과 태풍 시 고도분포지수, α는 0.1로 산정되었으며, R2는 0.9073으로 나타났다.
(3) 총 35년간 74개 태풍에 대하여 태풍 모의를 수행하였으며, 100 m 고도에서의 연 최대풍속을 추정할 수 있었다. Fig. 3과 같이 연 최대풍속을 검토한 결과, BOLAVEN(1215)에 영향을 받은 풍속이 49.02 m/s로 35년간 최대 풍속으로 나타났다. 한편, 동기간동안 HeMOSU-1호의 97.35 m에서의 관측 최대풍속은 47.76 m로 관측되었으며 이를 100 m 높이로 보정하였을 때, 47.89 m/s로 산정되었다.
(4) 모델 검증을 위해, 26.31 m 높이에서의 풍속 관측치와 추정치를 상호 비교하였다. 그 결과, 태풍 MUIFA(1109), BOLAVEN(1215), SANBA(1216)의 풍속 관측치와 모델 추정치의 RMSE는 6.85 m/s, 8.99 m/s, 3.98 m/s 로 각각 산정되었다. 또한 관측 최대풍속과 추정 최대풍속을 비교한 결과, BOLAVEN(1215)의 경우, 관측 최대풍속은 44.75 m/s, 추정 최대 풍속은 42.89 m/s로 나타났으며, 상대오차는 4.16%로 산정되었다. 또한 SANBA(1216)의 경우, 관측 최대풍속은 23.27 m/s, 추정 최대풍속은 25.62 m/s로 10.1%의 상대오차를 보였으며, MUIFA(1109)는 관측 최대풍속은 31.63 m/s, 추정 최대풍속은 26.25 m/s로 17.01% 상대오차를 보였다. 향후, 태풍 매개변수의 특성 분석 및 모델에 대한 성능평가를 재검토하여 신뢰성을 높이는 것이 필요하다.
(5) 군산, 목포, 제주, HeMOSU-1호 4개 지점의 35년간 연 최대풍속 자료를 이용하여 극치분석을 수행하였다. 매개변수 추정법으로는 확률 가중 모멘트법을 사용하였으며, 극치 모델로는 Gumbel distribution을 적용하였다. 분석 결과, HeMOSU-1호 위치에서의 100 m 고도 50년 빈도 극치 풍속은 50.22 m/s로 나타났으며, 100년 빈도 극치풍속은 55.13 m/s로 나타났다. 이를 바탕으로 OLAVEN(1215)을 50년 빈도 태풍으로 간주하여도 무리가 없을 것으로 판단된다. 또한, 군산, 목포, 제주 해역에서의 100 m 고도 50년 빈도 극치 풍속은 35.93, 42.43, 44.87 m/s로 나타났으며, 100년빈도 극치풍속은 39.26, 46.69, 49.16 m/s로 각각 추정 되었다.
(6) Table 5에 각 지점의 분포 매개변수를 추정하였으며, 이를 통해 평균과 표준편차, 변동계수(C.O.V)를 산정할 수 있다. 이러한 풍속 정보는 신뢰성 설계기법 적용 시 풍속 설계변수 정의에 활용되어질 수 있다.
(7) 장기간 해상 관측 자료의 확보가 거의 불가능한 현 상황을 고려하였을 때, 태풍 모의 기법은 불가피하며, 장기 관측 자료와의 오차 분석이 필요할 것으로 판단된다. 또한 현장 상황을 충분히 고려하여 제시된 설계조건은 과대 설계 및 과소 설계를 예방하여 최적 설계를 가능하게 하므로 설계 조건 분석 시 충분한 검토가 필요할 것으로 사료된다.
(8) 본 연구에서는 서해안 인근 해역 4개 지점의 설계 풍속만을 산정하였으나, 국내 연안역 주요 지점에 대하여 극치풍속을 산정하는 것이 필요하다. 이는 향후, 파랑 및 해일고 산정, 구조물 설계에 유용하게 사용되어질 것으로 기대된다.
Acknowledgements
본 연구는 지식경제 기술혁신사업인 “서남해 2.5 GW 해상풍력 개발을 위한 실증단계 연구(과제번호: 20113040020010)”와 첨단항만건설기술개발사업인 “해상풍력 지지구조 설계기준 및 콘크리트 지지구조물 기술 개발(과제번호: 20120093)”의 일환으로 수행되었습니다.