무감압 조건에서 수심별 잠수 작업의 효율성과 소요 인력 분석

Depth-Specific Analysis of Efficiency and Workforce Requirements in Diving Operations under No-Decompression Conditions

Article information

J Korean Soc Coast Ocean Eng. 2025;37(6):247-262
Publication date (electronic) : 2025 December 31
doi : https://doi.org/10.9765/KSCOE.2025.37.6.247
*Professor, Department of Ocean Civil Engineering, Gyeongsang National University
**Visiting Professor, School of Civil, Mining, Environmental and Architectural Engineering, University of Wollongong, Australia
***Senior Researcher, Cost Analysis Office, Korea Engineering & Consulting Institute
****Research Fellow, Water and Land Research Group, Division for integrated Water Management, Korea Environment Institute
*****Assistant Professor, Department of Fire Protection Engineering, Pukyong National University
******Senior Researcher, Institute of Marine Industry, Gyeongsang National University
이우동*,**, 진동환***, 김연중****, 김태윤*****, 김명훈,******
*경상국립대학교 해양토목공학과 교수
**호주 울런공대학교 토목·광업·환경·건축공학부 객원교수
***한국엔지니어링산업연구원 원가분석실 선임연구원
****한국환경연구원 물국토연구본부 통합물관리연구실 부연구위원
*****국립부경대학교 소방공학과 조교수
******경상국립대학교 해양산업연구소 선임연구원
Corresponding author: Myounghoon Kim, Senior Researcher, Institute of Marine Industry, Gyeongsang National University, 2, Tongyeonghaean-ro, Tongyeong, Gyeongnam 53064, Korea, Tel: +82-55-772-9126, Fax: +82-55-772-9129, koko0925@gnu.ac.kr
Received 2025 October 13; Accepted 2025 November 4.

Abstract

본 연구는 무감압 조건에서 수심별 잠수 작업의 효율성과 소요 인력을 정량적으로 분석하였다. 미 해군 잠수 매뉴얼을 기반으로 하강 및 상승 시간, 수중 작업 가능 시간(WAT) 그리고 총 잠수시간(TTD)을 분석하여 10~40 m 수심대의 잠수 작업 효율을 평가하였다. 분석 결과, 수심이 깊어질수록 WAT이 급격히 감소하였으며, WAT/TTD 비율은 10 m에서 0.99에서 40 m에서 0.57로 감소하였다. 이에 따라 깊은 수심일수록 잠수사 투입 규모가 비선형적으로 증가하였고, 10 m 대비 최대 12.7배 많은 잠수사가 요구되었다. 반복 잠수 절차를 적용한 결과, 40 m 수심에서 잠수 인력 활용 효율이 최대 28.9% 향상되었다. 또한, 남은 근로 시간과 수중 작업 시간의 최소 기준으로 일일 마지막 잠수의 수행 여부를 합리적으로 판단할 수 있는 의사결정 체계를 제안하였다. 이러한 결과는 수심별 잠수 계획 수립, 인력 운용 최적화, 그리고 안전하고 효율적인 수중 작업 기준 마련을 위한 과학적 근거를 제공한다.

Trans Abstract

This study quantitatively analyzed depth-dependent efficiency and workforce requirements for diving operations under no-decompression conditions. Based on the U.S. Navy Diving Manual, the total dive time was classified into descent, ascent, underwater workable time (WAT), and total time of dive (TTD) to assess operational efficiency between 10 and 40 m depths. Results showed that WAT decreased rapidly with increasing depth, reducing the WAT/TTD ratio from 0.99 at 10 m to 0.57 at 40 m. Consequently, deeper dives required a nonlinear increase in diver deployment, with up to 12.7 times more divers needed at 40 m than at 10 m. When repetitive diving procedures were applied, diver utilization efficiency improved by up to 28.9% at 40 m. In addition, a rational decision-making framework was proposed to determine whether the final dive of the day should be conducted, based on the criteria of remaining available time and minimum workable time. These findings provide a scientific foundation for developing depth-specific dive planning, optimizing workforce management, and establishing safe and efficient operational standards for underwater works.

1. 서 론

우리나라는 삼면이 바다로 둘러싸인 전형적인 해양 국가로서 해양은 국가 경제와 사회 전반의 발전에 중요한 역할을 수행해 왔다. 역사적으로 어업과 해상 교통에서 출발한 해양 산업은 최근 해양 플랜트 건설, 해저 인프라 설치, 해양 에너지 개발 등으로 확장되며 산업적·학문적 중요성이 지속적으로 확대되고 있다. 특히, 해안 및 항만 분야의 건설 현장에서는 잠수 작업이 빼놓을 수 없는 공정으로 자리잡고 있다. 이러한 산업적 확장에 따라 수중에서 수행되는 잠수 작업의 수요도 꾸준히 증가하고 있다. 잠수사는 해양 공사와 유지관리, 해저 구조물 점검, 사고 대응 등에서 없어서는 안 될 핵심 인력이다.

잠수 작업은 본질적으로 고위험 활동이므로 「중대재해처벌법 해설서(MOEL, 2025)」에서도 강조하듯이 안전 지침에 따른 법적·제도적 관리가 강력히 요구된다. 그럼에도 불구하고, 국내 잠수 기반 수중 작업에 관한 기준은 과학적 근거와 명확한 지침이 부족하다. 「고기압 작업에 관한 기준(MOEL, 2020a)」과 「산업안전보건기준에 관한 규칙(MOEL, 2020b)」은 일일 잠수 제한 시간과 기본 인력 배치 기준을 규정하고 있으나, 자급식 수중호흡장치(Self-Contained Underwater Breathing Apparatus, SCUBA)와 표면 공급식 잠수 시스템(Surface-Supplied Diving System, SSDS)에 대해 단순히 감시인(tender)을 배치하는 것을 명시하고 있을 뿐이다. 더욱이 이러한 규정조차 관리·감독 체계가 미흡하여 산업 잠수 현장에서 안전사고를 충분히 예방하지 못하고 있다. 2020~2024년 산업 잠수 분야에서 발생한 40건의 사망사고를 분석한 연구(Park et al., 2025)에 따르면, 상당수의 사고는 부적절한 감독, 불충분한 장비, 미흡한 훈련 등 기본적인 안전관리 부재에서 기인하였다. 이는 최근 5년간 국내 산업 잠수 현장에서 매년 평균 8건의 사망사고가 발생했음을 의미하며 근본적인 대책과 법·제도적 재검토의 필요성을 강하게 시사한다.

반면 해외에서는 잠수사의 안전성 강화를 위해 다양한 매뉴얼과 규정을 체계적으로 마련·운영해 왔다(Joiner, 2007; HSE, 2014; IMCA, 2014; U.S. Navy, 2016; NOAA, 2017). 영국 보건안전청(Health and Safety Executive, HSE)와 국제해양건설협회(International Marine Contractors Association, IMCA)는 국제적으로 활용되는 산업 잠수 안전 기준을 제정하였고, 미국해양대기청(National Oceanic and Atmospheric Administration, NOAA)는 과학 잠수 절차를 수립하여 현장에 적용하고 있다. 또한 U.S. Navy는 군사 및 구조 잠수에서 축적된 경험을 토대로 잠수 기술과 안전관리 체계를 발전시켜 왔다. 이러한 해외 사례는 국내 잠수 안전관리의 제도적 한계를 보완할 수 있는 중요한 참고가 된다.

이러한 현실에도 잠수 작업의 효율과 잠수사의 안전을 확보하기 위한 연구가 국내에서 수행되고 있다. Lee et al.(2019a)Yount et al.(2000)의 VPM(Variable Permeability Model)을 도입하여 잠수 모의 기술을 개발하였고, 이를 통해 공기 잠수(Lee et al., 2019b)와 나이트록스(Nitrox) 잠수(Lee, 2020)의 안전성 개선 방안을 검토하였다. 또한, Lee et al.(2021)은 CFD(Computational Fluid Dynamics; Lee et al., 2020)와 VPM을 결합하여 파랑 하중이 수중 작업자의 감압 과정에 미치는 영향을 분석하였다. Kim et al.(2025a)Lee et al.(2025a, 2025b)는 세월호가 침몰한 해역의 예측 조류(Kim et al., 2023)를 토대로 각각 SCUBA 잠수와 SSDS 잠수의 일별 계획 수립 및 인력 운용 절차를 제안하였다. 그리고 Kim et al.(2025b)는 일별 잠수 작업의 운영 어려움을 인지하고, 조류 주기를 고려한 잠수 계획과 관리을 수립하였다. 여기에 더해 잠수 작업에 보조적 역할을 할 수 있는 무인 잠수정(Remotely Operated Vehicle, ROV)과 유인잠수를 연계하여 전략(Kim et al., 2025c)과 함께 적용성(Kim et al., 2025d)을 검토하였다. 이러한 노력은 잠수 작업의 효율과 잠수사의 안전을 한층 높일 수 있는 성과이며, 체계적인 잠수 운용 규정을 마련하기 위한 지속적 움직임이다.

한편, 잠수 공정을 설계하거나 현장을 관리하는 이들은 잠수사의 수중 작업 능력과 잠수 절차에 대한 전문 지식이 부족한 경우가 많다. 이러한 지식 부족은 잠수사 1인의 실질적 수중 작업 시간과 잠수 공정 수행에 필요한 인력 규모를 정확히 파악하지 못하게 하며, 수심에 따른 차이를 이해하지 못하고 있는 실정이다. 본 연구는 잠수 이론을 기반으로 가장 보수적인 무감압 조건에서 수심별 잠수 시간과 실질 수중 작업 시간(Workable Time, WAT)을 정량적으로 산정하고, 이를 통해 잠수 작업 효율성과 인력 운용 특성을 체계적으로 분석하였다. 이러한 분석은 안전하고 효율적인 잠수 계획 수립과 적정 인력 배치에 대한 과학적 근거를 제공함으로써, 잠수 공정의 계획·설계·관리를 보다 체계적이고 안정적으로 수행할 수 있는 기초 자료로 활용될 수 있다.

2. 잠수 이론

2.1 수압이 잠수사에게 미치는 영향

잠수 시 수압의 증가는 잠수사의 신체 구조와 생리적 기능에 다양한 영향을 미친다. 해수의 정수압은 수심이 10 m 증가할 때마다 약 1기압씩 증가하므로, 수심 10 m에서는 대기압을 포함해 약 2 ata의 압력을 받게 된다(Elliott et al., 2014). 잠수사는 이에 상응하는 압력의 기체를 호흡하며, 인체 대부분은 물과 뼈로 구성되어 압축되지 않지만, 폐, 부비동, 중이 등 공기 공간은 압력 변화에 민감하게 반응한다. 이러한 공기 공간이 외부 환경과 압력 평형을 이루지 못할 경우, 기압 외상(barotrauma)이 발생할 수 있다(Spira, 1999). 따라서 잠수사는 수심 변화에 따라 귀와 부비동의 압력 평형을 지속적으로 유지해야 한다.

상승 중 호흡을 참으면 폐가 과팽창되어 폐조직이 파열될 수 있으며, 그 결과 기흉, 종격동기종, 피하기종 또는 심한 경우 동맥 공기색전(Arterial Gas Embolism, AGE)이 발생할 수 있다(U.S. Navy, 2016; Anderson et al., 2019). 수심이 깊어질수록 호흡기체의 부분압이 증가하여 질소와 같은 불활성 기체가 조직 내에 더 많이 용해된다. 상승 속도가 너무 빠르면 용해된 기체가 기포로 변해 혈류를 방해하며, 이러한 기포가 혈액이나 조직을 막는 질환을 감압병(Decompression Sickness, DCS)이라 한다(Bennett and Elliott, 1993; Imtiyaz et al., 2024). DCS는 관절, 척수, 피부, 신경계 등에 영향을 미치며, 수심, 체류 시간, 상승 속도, 탈수, 체온 등 다양한 요인에 의해 위험이 증가한다. 증상은 잠수 후 수시간 내에 나타나는 경우가 많으며, 치료에는 고압산소 재압치료가 요구된다(Walker and Stolz, 2023).

수심 30 m 이상에서는 질소의 부분압 증가로 인해 신경계 마취 효과가 발생하며, 이를 질소 마취라 한다. 인지 및 운동 기능 저하, 판단력 약화, 환각 등이 나타날 수 있으며, 상승 시 빠르게 회복된다(Denison and Glover, 2020). 한편, 호흡기체 내 산소의 부분압이 과도하게 높아지면 혈중 산소 농도 증가로 인한 중추신경계(Central Nervous System, CNS) 산소 중독이 유발될 수 있다. 고압 환경에서의 CNS 산소 중독은 터널시야, 이명, 메스꺼움, 국소 또는 전신 경련 등의 증상을 보인다(Bennett and Elliott, 1993; Pendergast et al., 2015). 이러한 현상은 일반적인 공기잠수(40 m 이내)에서는 드물지만, 대심도 잠수에서는 주의가 필요하다.

요약하면, 수압 증가는 귀·부비동·폐 등 공기 공간의 기압 외상, 질소 마취, 산소 중독, 그리고 불활성 기체 기포 형성으로 인한 감압병 등 다양한 잠수 관련 질환을 유발할 수 있다. 안전한 잠수를 위해서는 호흡을 지속적으로 유지하여 폐의 과팽창을 방지하고, 이퀄라이징(equalizing)을 통해 압력 평형을 유지하며, 상승 속도를 적절히 제어해야 한다. 따라서 잠수사는 잠수 이론에 근거한 안전한 잠수 계획을 수립하고, 감압 절차를 엄격히 준수해야 한다.

2.2 무감압 한계시간

무감압 한계시간(No-Decompression Limit, NDL)은 잠수사가 특정 수심에서 감압 정지없이 안전하게 상승할 수 있는 최대 체류시간을 의미한다. NDL은 인체 조직에 흡수되는 불활성 기체의 양에 기반하며, 수심이 깊어질수록 기체의 부분압과 조직 내 용해도가 증가하여 한계시간이 짧아진다. 실제 NDL은 개인의 생리적 특성, 수온, 운동량, 반복 잠수 등 다양한 요인에 따라 달라질 수 있다(Howle et al., 2017).

NDL의 생리학적 근거는 헨리의 법칙(Henry’s law)에 따라 불활성 기체가 인체 조직에 용해되는 현상에 있다. 즉, 액체에 용해되는 기체의 양은 해당 기체의 부분압에 비례한다. 수심이 깊어질수록 환경압이 증가함에 따라 공기 중 질소의 부분압도 높아져 인체 조직에 더 많은 질소가 용해된다(U.S. Navy, 2016). 상승 시 압력이 감소하면 용해된 기체가 기포 형태로 방출되려 하며, NDL은 이러한 기포 형성 위험이 임계값에 도달하기 전의 최대 허용 체류시간을 정의한다. 따라서 DCS 예방의 핵심은 조직 내 불활성 기체의 과포화를 안전한 한도 내로 관리하는 것이다(Brubakk and Neuman, 2003).

NDL은 첫 잠수뿐 아니라 반복 잠수 계획에도 중요하다. 반복 잠수에서는 이전 잠수에서 잔류한 질소를 고려해야 하며, 이를 위해 충분한 수면 휴식(Surface Interval, SI)이 필요하다. SI가 짧으면 체내 불활성 기체가 충분히 배출되지 않아 NDL이 크게 단축되고 DCS 위험이 증가한다(U.S. Navy, 2016). 질소 배출은 조직의 반감기에 따라 달라지며, 빠른 조직은 수분에서 수시간 내에, 느린 조직은 12~18시간까지 걸릴 수 있다(NOAA, 2016). 따라서 일반적으로 재잠수를 위해서는 최소 1시간 이상의 SI를 확보하는 것이 권장된다.

NDL은 잠수 안전에 직접적으로 관련된 핵심 개념이다. 수심이 깊어질수록 NDL이 급격히 감소하므로, 잠수 계획 단계에서 작업 시간과 상승 시간을 적절히 조정해야 한다. 또한, NDL은 표준 조건을 가정한 이론적 값이므로, 개인의 체력, 수화 상태, 수온, 활동량 등 다양한 요인에 따라 실제 한계는 달라질 수 있다(Cooper et al., 2023). 안전을 위해 보수적 접근이 필요하며, NDL 내 잠수라도 수심 3~5 m에서 3~5분간의 안전정지를 수행하는 것이 강력히 권장된다(U.S. Navy, 2016). 이러한 절차는 잔여 기체의 방출을 촉진해 DCS 발생 위험을 현저히 감소시킨다. 따라서 잠수사의 안전을 보장하기 위해서는 잠수 공정에서 연속 잠수 대신 인력 교대를 고려하는 것이 바람직하다.

2.3 감압모델

감압모델은 체내 불활성 기체의 흡수(on-gassing)와 배출(off-gassing)에 따른 잔류량을 수학적으로 산정하여 안전한 상승 절차와 NDL을 도출하고, 재잠수 계획에 적용된다(Baker, 1998). 각 모델은 서로 다른 생리학적 가정과 수학적 접근법을 채택하므로, 그 결과와 적용 가능한 잠수 유형이 달라진다. 따라서 안전한 잠수 계획을 수립하기 위해서는 각 모델의 기본 원리, 특성 및 한계를 이해하는 것이 중요하다. 본 연구에서는 주요 감압모델의 발전 과정과 핵심 특징을 고찰하기 위해, Table 1에 모델 유형, 기본 가정, 조직 구획 수 및 핵심 특징을 요약하였다.

The characteristics of principal decompression models

감압모델의 현대적 기초는 Haldane et al.(1908)에서 비롯되었다. Haldane 모델은 신체를 질소 흡수 및 배출 속도가 다른 여러 개의 조직 구획(tissue compartments)으로 단순화하고, 안전한 상승의 기준으로 2:1의 압력비를 제안하였다. 즉, 조직 내 불활성 기체의 압력이 주변 환경 압력의 약 두 배를 초과하지 않도록 단계적으로 상승해야 한다는 것이다. 이 가설은 최초의 과학적 감압표를 탄생시켰지만, 일정한 비율을 적용하는 방식은 짧은 잠수에서는 지나치게 보수적이고, 장시간 잠수에서는 위험을 과소평가할 수 있는 한계가 있었다.

이러한 한계를 극복하기 위해 미 해군 실험잠수대(U.S. Navy Experimental Diving Unit, NEDU)의 Workman(1965)은 Haldane의 고정된 비율 개념을 발전시켰다. 그는 각 조직 구획마다 최대 허용 과포화 압력(M-value)을 정의하고, 이 값이 수심에 따라 변한다는 사실을 발견하였다. 이에 따라 각 조직 구획이 특정 깊이에서 견딜 수 있는 최대 불활성 기체 압력을 산정하는 M-value 개념을 도입하였다. 이로써 장시간 잠수 시 모델의 정확도가 향상되었으며, 선형 M-value 방정식은 이후 현대 감압표 개발의 이론적 토대가 되었다(Baker, 1998).

Workman(1965)을 기반으로 Bühlmann(1984)은 16개의 조직 구획을 사용하는 ZH-L16 용해 기체 모델을 개발하였다. Bühlmann은 각 구획의 M-value를 절대압 기준의 선형 방정식으로 표현하였으며, 질소와 헬륨을 모두 고려함으로써 혼합 기체 및 고도 잠수까지 지원할 수 있었다. 이 모델은 현재 상용 잠수 컴퓨터의 표준 알고리즘으로 자리 잡았으며(Bühlmann, 1995; Baker, 1998), 기울기 계수(Gradient Factor, GF)를 조정하여 보수성 수준을 제어할 수 있다(GF는 감압 속도와 감압 시작점을 조절하는 안전계수로서 값이 작을수록 보수적이다).

Thalmann 알고리즘(VVAL-18/VVAL-18M)은 NEDU의 Thalmann(1984, 1986)이 개발한 실증 기반 감압체계로, Bühlmann ZH-L16 모델을 기반으로 하되 대규모 실잠수 데이터를 통합하여 수정하였다. 이 알고리즘은 18개의 조직 구획을 사용하며, 기존의 대칭적 지수 함수 모델과 달리 비대칭 기체 교환 역학을 적용한다. 즉, 기체 흡수는 지수함수로, 배출은 선형함수로 모델링하여 조직에서의 배출이 더 느린 과정을 반영한다(Powell, 2010). 또한, 산소를 감압 기체로 적극 활용하여 감압 시간을 단축하며, 반복 잠수 및 다일간 잠수 시나리오에 최적화되어 있다(Thalmann et al., 2001; Gerth and Doolette, 2007). VVAL-18은 기본형이며, VVAL-18M은 매개변수 수정으로 신뢰성을 높이고 DCS 발생률을 낮춘 확장형이다.

한편, VPM은 기포 형성과 성장을 물리적으로 모델링하는 새로운 접근법을 취한다(Yount and Hoffman, 1984, 1986). 이 모델은 동적 임계부피 가설(dynamic critical-volume hypothesis)에 근거하여 체내에 항상 존재하는 미세 기포핵(bubble nuclei)의 크기와 분포를 고려한다. 감압 중 기포의 성장을 최소화하기 위해 깊은 수심 정지(deep stop)를 설정하고, 불활성 기체의 부분압을 상대적으로 낮게 유지한다. 그리고 이 모델은 반복 계산을 통해 총 감압 시간이 수렴할 때까지 상승 일정을 개선한다(Maiken, 1995). 이에 깊은 잠수에서 기포 발생을 줄이는 데 효과적이지만, 감압 시간이 길어지는 단점이 있다. VPM의 핵심 가정은 다음과 같다.

• 다양한 크기의 기포가 체내에 존재한다.

• 큰 기포일수록 성장을 시작하는 데 필요한 압력 감소가 적다.

• 작은 기포가 큰 기포보다 훨씬 많이 존재한다.

RGBM(Reduced Gradient Bubble Model)은 용해 기체 역학과 기포 역학을 결합한 하이브리드 모델로, Wienke(1990)에 의해 제안되었다. RGBM은 통계적 위험 분석을 통해 반복 잠수, 역순 프로파일(reverse profile) 잠수, 고도 잠수 등에서 허용 가능한 조직-환경 간 압력 구배를 줄인다. 이는 VPM과 유사하게 깊은 정지와 완만한 상승을 요구하며, 수심 변화가 심한 잠수에 적용된다. 또한, RGBM은 실제 DCS 데이터에 기반해 매개변수를 최적화하여 적용한다. 다만, 감압 시간이 길고 보수성이 높아 작업 효율이 낮아질 수 있다는 비판도 존재한다.

각 감압모델은 서로 다른 가정과 계산 방식을 사용하므로, 결과적으로 NDL과 감압 절차에 직접적인 영향을 미친다. 산업 잠수에서는 일반적으로 Bühlmann ZH-L16 모델이, 군사 또는 기술 잠수에서는 Thalmann 알고리즘(VVAL-18M)이 널리 채택되고 있다. 용해 기체 모델(Haldane, Workman, Bühlmann)과 지수-선형 모델(Thalmann)은 계산이 간단하고 검증된 반면, 기포 모델(VPM, RGBM)은 상대적으로 보수적이지만 감압 시간이 길다는 특징이 있다(Wienke, 2003). 특히, 대심도 또는 반복 잠수에서는 기포 모델과 Thalmann 알고리즘의 안전성이 높게 평가되지만, 실제 현장에서는 수중 작업 효율성과 안전성의 균형을 고려해 적절한 모델을 적용해야 한다.

2.4 미 해군 잠수 매뉴얼

범용적으로 가장 널리 활용되고 있는 미 해군의 잠수 매뉴얼은 잠수 훈련과 작전을 위한 표준 지침서이다. 초판은 1905년에 제작되었으며, 1916년 잠수 매뉴얼이라는 명칭으로 정식 발간되었다. 이후 잠수 기술과 감압 절차, 장비, 안전관리, 의학적 대응 체계의 발전에 따라 지속적으로 개정되어 왔다.

1927년에는 NEDU가 창설되어 잠수 생리학, 감압 절차, 장비 시험 등 과학적 연구를 체계화하였다. NEDU는 감압시험, 산소치료 연구, 혼합기체 잠수 및 잠수병 치료 기준 확립 등 매뉴얼 개정의 핵심 연구기관으로 기능해 왔다. 1950~1970년대에 이르러 매뉴얼은 NEDU의 연구성과를 반영하여 공기 잠수, 헬륨 혼합기체 잠수, 포화잠수 절차 등을 포함하며 현대적 체계를 갖추기 시작하였다. 1980년대 이후에는 잠수 컴퓨터의 보급과 함께 감압표가 전산화되고, 잠수 안전관리와 응급의료 지침이 추가되었다. 최신 개정판(U.S. Navy, 2016)은 잠수 장비의 운용 절차, 감압 이론의 최신 기준, 산소 및 혼합기체 감압표, 감압병 치료 절차, 안전관리 및 응급조치 지침 등을 포괄한다. 이 매뉴얼은 100년이 넘는 기간 동안 축적된 연구와 실전 경험을 바탕으로 현대 잠수 기술 발전을 선도하였으며, 현재 전 세계적으로 군사 및 산업 잠수에서 표준 지침서로 널리 사용되고 있다.

본 연구에서는 Table 2과 같은 U.S. Navy(2016)가 제시한 NDL 내에서 잠수 작업을 수행하는 조건을 고려한 무감압 절차를 따른다. 무감압 절차는 잠수 작업 후 감압 정지 없이 상승할 수 있는 잠수 시간과 수심의 관계로 정의된다. Table 2에서 수심별 NDL을 확인할 수 있으며, 수치가 일치하지 않을 시에는 보수적으로 깊는 수심 또는 짧은 시간을 선택한다. 또한, A부터 Z까지는 반복 잠수 시 인체 내 잔여 질소량을 정량적으로 관리할 수 있는 반복 그룹 기호이다.

No-decompression limits and repetitive group designators for air dives (Adapted from U.S. Navy, 2016)

3. 국내의 잠수 규정

우리나라에서 잠수는 각 기관의 임무와 목적에 따라 상이한 지침을 적용하며, 고용노동부, 해양수산부, 행정안전부, 국방부 등 각 기관은 독자적인 절차를 수립하여 운용하고 있다. 대부분의 기관들은 미 해군 잠수 매뉴얼(U.S. Navy, 2016)을 준용하여 지침을 마련하고 있으나 일부 내용에서는 기관별 실 여건에 맞지 않거나 불명확한 기준이 존재한다.

3.1 고용노동부(산업 잠수 분야)

대한민국 산업 잠수 현장은 「산업안전보건기준에 관한 규칙(KOSHA, 2011)」과 고용노동부 고시에 근거하여 안전관리가 이루어진다. 이 규칙의 제3편 제5장(이상기압 작업)에서 산업 잠수의 정의와 일반 지침을 제시하고 있으며, 고용노동부 고시 제2011-36호(고기압 작업 기준)은 잠수 중 감압 절차 및 작업 제한을 규정하고 있다. 먼저, 잠수 작업의 정의는 SCUBA와 SSDS로 구분되며, 수심 10 m 이상에서 수행되는 모든 작업을 잠수 작업으로 규정한다. 해당 규정은 산업재해 예방과 잠수사의 안전 확보를 목적으로 하며 사업자 및 근로자가 반드시 준수해야 할 잠수 절차·장비 관리·안전 수칙을 포함한다.

안전 수칙에는 조류 속도가 1 knot 이상인 구역에서는 잠수 금지, 잠수하기 12시간 전 음주를 하지 않는다, 혼자 하는 잠수는 가급적 피한다, 자신의 능력 한도 내에서 잠수를 실시한다, 수심 30 m 이상 잠수 제한, 파도와 싸우지 말고 파도를 이용한다 등 기본적인 지침이 포함된다. 그러나 이러한 지침들 가운데는 안전상 문제가 있거나 기준이 모호하게 서술된 항목들이 다수 존재하여 실제 산업 잠수 현장에서 적용 시 혼란을 초래할 소지가 있다.

감압 절차는 「고기압 작업에 관한 기준(MOEL, 2020a)」에 따라 규정된다. 제시된 감압표는 미 해군 잠수 매뉴얼(U.S. Navy, 2016)의 감압표와 동일하며 잠수 시간은 1일 총 6시간을 초과할 수 없다고 명시되어 있다. 이때의 시간은 각 회별 잠수 시간과 감압시간을 합산하여 산정된다. 또한, 「산업안전보건기준에 관한 규칙(MOEL, 2020b)」은 잠수인력 배치 기준을 규정하고 있다. SCUBA의 경우 잠수사 2인당 1명의 감시인을 반드시 배치해야 하며 SSDS는 잠수사 2명당 1명의 감시인을 두는 것을 원칙으로 한다.

이처럼 산업 잠수 관련 법령과 지침은 잠수의 정의, 금지사항, 감압 기준, 인력 배치 등을 규정하고 있으나, 각 지침 간 상충되는 부분이나 모호한 표현이 존재한다. 이는 산업현장에서 안전 문제를 초래할 수 있으며, 따라서 IMCA 또는 ISO와 같은 국제적 표준과의 비교·보완이 요구된다.

3.2 해앙수산부(해양 경찰청)

해양경찰의 잠수 관련 규정은 「수상에서의 수색·구조 등에 관한 법률(KCG, 2018)」 제7조를 근거로 하며 해양경찰 구조대의 편성, 인사, 교육훈련, 장비관리 등 운영에 필요한 사항을 규정하고 있다.

잠수 관련 지침으로 잠수조 편성은 잠수감독관 1명, 잠수사 2명(짝잠수 원칙), 대기잠수사 1명, 기록 및 보조사 1명으로 총 5명으로 구성한다. 안전 지침으로 선저 검사 시 수중 작업 대상 함정 및 좌우현 계류 함정은 작업 전과 종료 후 매 5분마다 방송을 통해 수중 작업 중임을 알려야 하며 사용기체는 공기충전기에서 제조된 호흡용 공기에 대해 연 1회 이상 품질검사를 실시하며 상대습도 40% 이하, 산소 20~22%, 오일미스트(oil mist) 5 mg/m3 이하, 이산화탄소 1,000 ppm 이하, 일산화탄소 10 ppm 이하의 기준을 준수하도록 규정된다. 또한 구조·구급요원에 대하여 연 1회 이상 특수건강검진을 실시하며 구조요원의 경우 심장, 청력, 치과, 폐, 혈액, 간, 초음파, 위내시경 등 포괄적인 검진 항목을 운영하고 있다.

그 외 잠수 관련 운용 절차는 미 해군 잠수 매뉴얼(U.S. Navy, 2016)을 준용하여 해양경찰 잠수교범으로 제작·운용되고 있다. 이 교범은 공기 잠수뿐 아니라 혼합기체 잠수까지 포함하고 있으며, SCUBA와 SSDS 잠수에 대한 각각의 절차가 제시되어 있다. 그러나 해양경찰의 잠수 관련 규정(KCG, 2018)에서 제시한 잠수조 편성 인원은 5명인 반면, 교범에는 SCUBA 6명, SSDS 16명으로 규정되어 있다. 이러한 차이는 해양경찰의 보유 시설·장비 및 인력 구성을 충분히 고려하지 않은 단순 준용의 단편적 결과로, 실제 잠수 현장에서 안전 사고로 이어질 잠재적 위험이 존재한다.

3.3 행정안전부(소방청)

소방청의 「재난현장 표준작전절차(KNFA, 2025)」에 따르면, 수난사고 대응의 목적은 급변하는 수상 및 수중 환경의 위험성을 인지하고 체계적인 절차를 통해 인명을 구조하는 데 있다. 주요 지침에는 유속 기준 설정, 수중수색 시 행동 절차, 잠수대원의 활동 범위가 포함된다. 세부적인 내용으로 잠수대원은 수중 바닥 위 약 0.5~0.9 m 높이에서 활동하며 잔압은 짝과 함께 수시로 확인해야 한다. 그리고 수심 10 m 이하에서는 공기통의 잔압이 최소 50 bar에 도달하면 수중 활동을 종료하고 상승하도록 규정하고 있다. 또한, 잠수 중에 자신의 한계를 벗어난 상황에 직면하면 즉시 짝과 함께 상승하도록 명시되어 있다.

그러나 잠수 작업에 적합하지 않은 기준을 적용하거나, 과거 기준이 존재한다. 예를 들어, 유속 기준을 1.0 m/s 이하(안전), 1.5 m/s 이하(주의), 2.0 m/s 미만(경계), 2.0 m/s 이상(위험)이라는 기준으로 수상구조활동의 위험을 평가하여 수영 능력에 따른 구조활동을 수행한다. 그런데 이러한 규정을 잠수 작업까지 확대해서 적용하기에는 큰 무리가 있다. 또한, 최대 잠수 제한 시간으로 제시된 수심 10.5 m과 39.5 m의 310분과 10분 등의 수치는 2005년에 발표된 NDL(U.S. Navy, 2005)을 개정 없이 지금도 사용하고 있다.

3.4 국방부

국방부 산하에서 잠수를 수행하는 각 부대는 미 해군 잠수 매뉴얼(U.S. Navy, 2016)을 준용하여 자체적인 잠수 지침을 마련·운용하고 있다. 인력 운용 기준은 장비 종류에 따라 상이하며 SCUBA 잠수는 최소 4명, SSDS 잠수는 최소 6명으로 편성하도록 규정되어 있다. 또한 유속 조건은 SCUBA의 경우 1 knot 이하, SSDS는 1.5 knot 이하에서만 운용이 가능하며 감압 절차를 포함한 일반 잠수 절차 역시 해당 지침에 따라 수행된다. 그러나 실제 각 부대는 시설 및 인력 관리 여건에 따라 세부 지침 적용에 차이가 크며, 이에 모든 부대가 동일하게 미 해군 잠수 매뉴얼을 준용하는 구조적 한계가 있다.

4. 잠수 절차 분석 조건

4.1 잠수 조건

본 연구는 수심별 잠수 임무의 효율성 향상을 목적으로 잠수 작업의 효율성과 최대 인력 투입 시의 작업 생산성을 종합적으로 분석하는 데 중점을 두었다. 분석 범위는 수심 10~40 m 구간으로 설정하였으며 1 m 간격으로 구분하였다.

수심 0~6.1 m 구간은 미 해군 잠수 매뉴얼(U.S. Navy, 2016) 기준상 무제한 잠수가 가능하므로 분석 대상에서 제외하였다. 그뿐만 아니라, 10 m 미만의 얕은 수심에서는 체내 질소 흡수 속도가 느리고 과도한 질소 축적이 발생하지 않는다. 이로 인해 장시간 잠수나 반복 잠수가 가능하므로, 해당 구간은 별도의 효율성 분석이 필요하지 않은 구간으로 판단하였다. 반면, 40 m를 초과하는 수심에서는 질소 마취와 산소 독성의 위험이 증가하고, 무감압 잠수의 효율성이 급격히 저하되어 현실적 운용 가치가 낮으므로 분석 범위에서 배제하였다.

4.2 잠수 운용 조건

본 연구에서는 첫 잠수의 시작을 09:00으로 설정하고, 18:00 이전에 마지막 잠수조가 퇴수하는 것을 기준으로 하였다. 이는 「근로기준법」 제50조 제1항 및 제2항에 규정된 1일 법정 근로시간을 근거로 한 것이다. 또한, 특정 수심에서 근무시간 내 연속적인 작업을 수행하기 위해 한 잠수조의 작업 종료 직후 다음 잠수조가 즉시 투입되는 연속 교대 방식을 적용하였다. 이에 따른 절차는 다음과 같다.

① 09:00에 첫 번째 잠수조가 입수한다.

② 각 수심별 잠수 시간은 U.S. Navy(2016)에서 제시하는 NDL이 기준이다(Table 2 참조).

③ 전 잠수조의 퇴수와 동시에 다음 잠수조가 입수하여 동일한 수중 작업을 지속·수행한다.

④ 18:00까지 남아 있는 시간(Remaining Available Time, RAT)이 하강시간과 상승시간의 합보다 큰 경우만 잠수조를 투입한다.

⑤ 18:00 이전에 마지막 잠수조가 퇴수한다.

이와 같은 설정은 실제 현장에서 여러 잠수조가 교대로 운용되는 작업 환경을 모사한 것으로, 잠수조 간의 즉각적 교대를 가정하였다는 점에서 최대 효율의 잠수 운용 조건이다.

4.3 무감압 잠수 절차

잠수 효율성을 분석하기 위해서는 전체 잠수 시간 중 실제 작업이 가능한 WAT의 확보 여부를 우선적으로 검토할 필요가 있다. Fig. 1처럼 일반적으로 잠수 시간은 수면 출발에서 도착까지의 전 과정을 나타내는 총 잠수 시간(Total Time of Dive, TTD)을 의미한다. 하지만, 잠수사가 목표 수심까지의 하강과 수면으로 복귀하는 상승에 상당한 시간이 소요되므로 전 구간을 모두 작업에 활용할 수는 없다. 따라서 하강 시간(Descent Time, DT)과 상승 시간(Ascent Time, AT)을 제외한 실질적인 해저 시간(Bottom Time, BT)이 곧 WAT이며, 이는 잠수 효율성을 평가하는 핵심 지표이다. 여기서 하강 및 상승 속도(VA, VD)는 22.86 m/min, 9.14 m/min으로 U.S. Navy(2016)의 기준에 근거한다.

Fig. 1

Phases of no-decompression dive operations.

한편, U.S. Navy(2016)에서는 잠수 계획 및 감압표 선택 시 적용되는 시간을 총 해저 시간(Total Bottom Time, TBT)으로 정의하며, 이는 DT와 BT를 합한 값이다. 즉, TBT는 Table 1에 제시된 수심별 허용 시간을 산정하는 기준값으로 사용된다. 이 과정에서 감압 정지나 별도의 절차가 포함될 경우, 해저 출발부터 수면 도달까지의 시간을 총 감압시간(Total Decompression Time, TDT)이라고 한다. 이러한 시간 구성 요소들의 상호 관계와 단계별 절차는 Fig. 1에 도식화하였다.

Fig. 2는 TBT가 U.S. Navy(2016)의 각 수심별 NDL (Table 2 참조)을 초과하지 않는 안전한 단일 잠수의 대표 프로파일을 나타낸 것이다. 수심 10 m, 20 m, 30 m, 40 m의 네 구간을 예시로 도식화하였다.

Fig. 2

Representative no-decompression dive profiles at selected depths (10, 20, 30, 40 m).

수심이 낮을수록 NDL이 길어지므로, BT과 TBT 모두 증가한다. 특히 10 m에서는 DT과 AT가 짧아 상대적으로 BT(= WAT)가 크게 확보된다. 반면, 수심이 깊어질수록 DT와 AT가 증가하고, NDL이 단축되어 BT가 급격히 감소한다. 따라서 수심이 낮을수록 잠수 작업의 효율성(WAT/TTD)이 높게 유지되며, 반대로 수심이 깊어질수록 효율성이 저하되어 실제 작업 생산성이 현저히 떨어진다.

4.4 잠수 인력 구성

우리나라의 잠수 인력 편성은 기관과 분야별로 상이하며, 세부적인 인력 구성을 Table 3과 같다. 기관 및 분야별로 편성 인원과 자격 요건에는 차이가 있으나, 모든 경우에 공통적으로 2인 1조의 짝잠수가 수행된다. 따라서 본 연구에서는 기관별 제도적 차이를 배제하기 위해 잠수사 인력에 한정하여 분석을 진행한다. 모든 단일 잠수 절차에서 잠수사 2명이 투입되는 것을 기준으로 한다.

Institutional standards for diving personnel

5. 잠수 작업의 효율과 소요 인력 분석

5.1 단일 잠수의 수심별 작업 효율

본 연구에서는 수심 10~40 m 구간에서 단일 잠수 프로파일을 설정하여 무감압 잠수 조건에서 수심별 WAT를 산정하였다. Fig. 3에는 DT, WAT, AT에 관한 막대 그래프와 TTD에 관한 선 그래프를 하단에 제시하였다. 그리고 TTD에 대한 각각 DT, WAT, AT의 비율은 상단의 선 그래프로 표시하였으며, 수치는 Table 4에 정리하였다. 여기서 DT와 AT는 하강 및 상승 속도를 고려하여 다음과 같이 계산하였다.

Fig. 3

Depth-dependent analysis of a single dive under no-decompression conditions.

Depth-dependent analysis results for a single dive under no-decompression conditions

(1) {DT=DVD:DescentAT=DVA:Ascent

여기서 잠수 수심(D)과 상승·하강속도(VA, VD)의 단위는 각각 m와 m/min이다.

Table 2의 수심별 NDL로부터 WAT은 다음 식으로 계산할 수 있다.

(2) WAT=NDL-DT

Fig. 3Table 4로부터 수심이 낮을수록 잠수사가 이동하는 시간(DT와 AT)이 짧고, NDL이 길어, 상대적으로 긴 WAT(= BT)가 확보된다. 예를 들어, 수심 10 m에서는 DT는 0.44분, AT는 1.09분, WAT는 231.56분으로 전체 잠수시간(TTD) 233.9분의 99.3%를 차지하지만, 수심 40 m에서는 DT는 1.75분, AT는 4.38분, WAT는 8.25분으로 WAT/TTD가 0.574 수준으로 급감한다. AT의 비율은 수심 10 m에서 전체의 0.5%이지만, 40 m에서는 약 30.4%로 증가하였으며, DT/TTD도 0.2에서 0.15까지 상승하였다. 이는 수심이 깊어질수록 상승과 하강에 소요되는 시간이 급격히 커지고, 실제 작업 가능 시간이 크게 줄어드는 것을 의미한다.

결과적으로 수심 증가가 잠수 작업 효율성(WAT/TTD)에 미치는 영향은 매우 크다. 특히, 30 m 이상에서는 WAT/TTD 가 0.8 이하로 작업 효율이 크게 나빠지며, 잠수 운용의 실 질적 한계를 나타낸다.

5.2 일일 잠수의 수심별 작업 효율

본 연구에서는 4.2절의 잠수 운용 조건(09:00~18:00, 1일 9시간)을 적용하여, 각 잠수조가 맞교대 방식으로 연속 투입되는 조건에서 수심별 일일 작업 효율을 분석하였다. 각 잠수조의 수중 작업은 독립적으로 수행되는 것으로 가정하였으며, 수심별 일일 총 잠수 횟수, 일일 누적 상승/작업/하강시간, 그리고 일일 누적 잠수시간에 대한 비율들을 Fig. 4Table 5에 각각 그래프와 수치로 제시하였다

Fig. 4

Depth-dependent daily analysis of continuous diving operations under no-decompression conditions.

Depth-dependent daily analysis results for continuous diving operations under no-decompression conditions

수심 10 m에서는 무감압 잠수 기준으로 일일 9시간 동안 3회의 잠수가 가능하며, 누적 WAT은 약 535.41분으로 누적 TTD의 99.1%를 차지하였다. 수심 20 m에서는 일일 잠수 횟수가 11회로 증가하지만, 잠수 작업 효율(WAT/TTD)은 0.938으로 여전히 높은 수준이나, 10 m 대비 감소하는 경향을 나타낸다. 수심 40 m에서는 일일 38회의 잠수가 수행되더라도, 누적 WAT이 307.21분으로 짧고, WAT/TTD는 0.569까지 감소하였다. 이러한 잠수 작업의 효율 저하는 수심 증가에 따라 NDL이 짧아지고, 이에 따라 WAT(NDL-DT)이 크게 줄어들기 때문이다. 또한, 수심이 깊어질수록 잠수사의 수직 이동거리가 증가하면서 DT와 AT 역시 길어진다. 특히, 잠수 특성상 하강속도(22.86 m/min)보다 상승속도(9.14 m/min)가 느리기 때문에, AT의 비중이 수심이 깊을수록 급격히 커진다. 그 결과, AT/TTD는 10 m에서 0.006으로 미미하지만 40 m에서는 0.31로 증가, DT/TTD 또한 0.002에서 0.12까지 상승하였다. 따라서 수심이 깊어질수록 일일 잠수 작업의 효율은 급격히 저하됨을 알 수 있다.

이러한 경향은 5.1절의 단일 잠수 분석 결과와 거의 일치하며, 이는 본 분석이 각 잠수조가 준비나 휴식 없이 즉시 교대 투입되는 산술적 조건을 기반으로 수행되었기 때문이다. 즉, 연속 잠수 운용에서도 수심 증가에 따른 효율 저하 경향은 단일 잠수와 동일하게 나타난다.

5.3 일일 잠수 작업의 수심별 소요 인력

5.2절에서 산정된 일일 총 잠수 횟수를 바탕으로, 수심별 잠수 작업 수행에 필요한 일일 소요 잠수사 수를 산정하였다. 각 잠수조는 2인 1조로 구성되며, 산정된 결과를 Fig. 5에 나타내었다. Fig. 5는 수심에 따른 일일 총 잠수 횟수, 일일 소요 잠수사 수, 그리고 수심 10 m 대비 비율을 함께 도시한 것이다.

Fig. 5

Bar and line plots showing daily total dives, daily required divers, and their ratio to the daily requirement at a depth of 10 m under continuous diving operations.

수심 10 m에서는 하루 동안 3회의 잠수가 가능하므로, 일일 소요 잠수사 수는 6명으로 설정된다. 반면 수심이 깊어질수록 NDL이 감소하여 단일 잠수의 작업 시간이 짧아지고, 동일 근무시간(09:00~18:00) 내 수행 가능한 잠수 횟수가 증가한다. 그 결과, 20 m에서는 22명, 30 m에서는 38명, 40 m에서는 76명의 잠수사가 요구되며, 이는 수심 10 m 대비 각각 3.7배, 6.3배, 12.7배에 해당한다. 특히, 30 m 이후 구간에서는 잠수 횟수와 소요 인력이 비선형적으로 증가하는 경향을 나타낸다. 이 구간에서는 NDL이 급격히 단축되어 잠수 시간이 짧아지고, 이에 따라 잠수 횟수가 기하급수적으로 증가하기 때문이다.

결과적으로, 수심이 깊어질수록 무감압 조건을 만족하는 NDL이 작아서 잠수 횟수 및 소요 인력 규모는 급격히 증가한다. 따라서 깊은 수심에서의 잠수 작업은 효율 저하뿐 아니라, 인력 투입에 따른 시간적·경제적 제약이 크게 증가함을 의미한다.

6. 토 의

6.1 잠수 작업의 시간적 효율성

본 연구에서는 수심이 깊어질수록 무감압 잠수 작업에서의 시간적 효율이 급격히 저하되는 경향을 정량적으로 확인하였다. 이러한 경향은 잠수사 개인뿐 아니라 현장 관리자에게도 작업 수행의 물리적·심리적 부담을 가중시키는 요인으로 작용한다. 특히, 수심이 깊어질수록 수중 체류시간이 짧아지고, 이에 따라 작업 집중도가 저하되며 안전사고 위험이 증가한다. 또한, 호흡기체 소비량의 증대와 함께 잠수 질환의 발생 확률 또한 상승하게 된다.

그럼에도 불구하고 국내 잠수 지침 및 관련 규정은 수심 증가에 따른 효율 저하와 위험 요소를 충분히 반영하지 못하고 있다. 이에 잠수 작업의 시간적 효율성 향상을 위한 제도적·기술적 개선 방향을 논의한다.

6.1.1 작업 시간 기준의 개선

「고기압 작업에 관한 기준(MOEL, 2020a)」은 잠수사의 일일 작업시간을 6시간으로 규정하고 있다. 그러나 본 연구의 분석 결과, 무감압 조건에서 이 기준을 충족할 수 있는 수심은 10 m 이하로 한정되었다. 10 m를 초과하는 수심에서는 NDL의 급격한 단축으로 인해 수중 체류시간이 짧아지고, 결과적으로 6시간 작업 기준을 현실적으로 달성하기 어렵다. 즉, 반복 잠수를 고려하더라도 깊은 수심에서 6시간 잠수하는 것은 사실상 불가능하다.

그럼에도 현행 지침은 수심 구분 없이 획일적인 기준을 적용하고 있어, 사업자가 이를 근거로 잠수 시간을 수심과 무관하게 연장할 여지가 남아 있다. 이는 안전관리의 사각지대로서 잠수 질환의 위험을 높여 잠수사의 안전을 위협할 수 있다. 따라서 일률적인 ‘6시간’ 규정보다는 수심별·잠수 형식별로 과학적 데이터를 기반으로 한 ‘작업 한계시간 모델’을 구축하여 제도화해야 한다. 이를 통해 현실적이면서도 안전한 잠수 시간 관리가 가능해지며, 잠수사의 작업 효율과 안전성 간의 균형을 확보할 수 있을 것이다.

6.1.2 국내 여건을 고려한 잠수 기술 개발의 필요성

수심이 깊어질수록 NDL이 단축되기 때문에, 현장에서는 WAT 확보를 위해 감압 잠수를 수행하는 경우가 많다. 그러나 국내에서는 환경적·장비적 여건을 고려한 독자적인 감압 절차가 부재하며, 대부분 미 해군 잠수 매뉴얼의 감압 테이블을 그대로 준용하고 있다. 이 매뉴얼에 적용된 VVal-79 감압 알고리즘은 약 3.5% 수준의 DCS 발생 확률을 내포하고 있음이 보고되었다(Gerth and Doolette, 2012). 미 해군은 이러한 위험을 전제로 잠수 감독관에게 치료 권한을 부여하고, 현장에는 재압챔버를 상시 배치하여 즉각적인 처치가 가능하도록 제도화하였다. 반면 국내 대부분의 잠수 현장에서는 재압 설비나 전문 의료 지원 체계 없이 동일한 감압 절차를 적용하고 있는 실정이다.

이러한 한계를 극복하기 위해서는 현장 조건을 반영한 감압 절차의 개발과 관리 체계의 고도화가 필요하다. 한편, 잠수 모의(Lee et al., 2019a, 2019b, 2021; Lee 2000)를 통한 잠수 계획 수립과 현장 관리가 가능하다. 이러한 접근법은 기존의 정형화된 감압 테이블보다 현장 여건과 개별 잠수 조건을 보다 정밀하게 반영할 수 있는 과학적 잠수 안전 관리 체계로 발전할 수 있음을 보여준다. 따라서 이러한 체계적 접근을 국내 잠수 환경에 적용하고 표준화함으로써, 단순한 안전 확보를 넘어 잠수 기술의 과학적 기반을 확립하고 국제적 신뢰도를 제고할 수 있을 것이다.

6.2 잠수인력의 효율적 운용

수심이 깊어질수록 동일한 잠수 공정을 수행하기 위해서는 소요 인력이 급격히 증가하였다. 이는 깊은 수심에서의 무감압 잠수 횟수 증가와 잠수 효율 저하가 직접적으로 인력 수요를 확대시키는 주요 요인이었다. 이러한 결과는 잠수사 운용 계획 수립 시, 단순한 근로시간 산정이 아니라 수심별 작업 효율을 고려한 전략적 인력 관리 체계의 필요성을 시사한다. 이에 본 연구에서는 효율적 인력 운용을 위한 구체적인 방안으로 반복 잠수의 적용 가능성을 검토하였다.

6.2.1 반복 잠수의 절차

본 연구에서 반복 잠수는 이전 잠수에서 체내에 잔류한 질소가 완전하게 배출된 상태에서 수행하는 잠수를 의미한다. 첫 번째 잠수 종료 후, 잠수사는 체내 질소 축적량에 따른 반복 그룹 기호(Table 2 참조)와 이에 따른 체내 잔여 질소가 완전히 제거되는 데 필요한 시간(No Residual Nitrogen Time, NRNT)과 SI에 따라 반복 잠수 여부가 결정된다(Fig. 6 참조).

Fig. 6

Flowchart showing the determination of repetitive diving based on the comparison between SI and NRNT.

만약, 질소가 완전히 제거되기 전에 다음 잠수를 계획한다면, 체내의 잔여 질소로 인해 NDL이 크게 축소됨으로 동일한 WAT를 가질 경우, 적절한 감압 절차를 준수해야 한다. 그렇지 않을 경우 DCS의 위험이 크게 높아진다. 잔여 질소가 완전히 배출된 이후의 잠수는 새로운 단일 잠수로 간주되며, 해당 잠수의 NDL은 Table 2에 제시된 수심별 표준값과 동일하게 적용된다. 이 정의는 반복 잠수의 안전성 확보와 인력 재배치 효율성 평가에 필수적이다.

결과적으로 얕은 수심에서는 수중 체류시간이 길어 체내 질소 축적량이 많아지므로, 긴 SI가 필요해 반복 잠수 수행이 제한적이었다. 반면, 수심이 깊을수록 체류시간이 짧고, 흡수 질소량이 적었다. 그 때문에 일정 수심 이상에서 동일 잠수사의 재투입이 가능해진다.

6.2.2 반복 잠수의 인력 운용 효율

Fig. 6의 절차에 따라 표면 휴식 시간을 고려한 반복 잠수 절차를 적용하여 수심별 인력 변화를 분석한 결과, Fig. 7에 나타난 것처럼 반복 잠수를 허용하지 않은 경우와 비교할 때 깊은 수심에서의 인력 절감 효과가 뚜렷하게 확인되었다.

Fig. 7

Comparison of the required number of divers with and without allowing repetitive dives.

수중 체류시간이 상대적으로 길어 체내에 많은 질소가 축적되는 수심 33 m 이하에서는 반복 잠수를 수행할 수 없기 때문에 두 조건 간 차이가 없다. 반면, 수심 34 m 이상에서는 짧은 수중 체류시간으로 체내 질소 축적이 감소하여 근로 시간 내에 일정 이상의 SI가 확보되어 반복 잠수를 수행할 수 있게 되었다. 구체적으로 소요 잠수사가 34~36 m에서는 58명에서 50명으로 8명(13.8%), 37~38 m에서는 68명에서 58명으로 10명(14.7%), 39 m에서는 66명에서 58명으로 8명(12.1%), 그리고 40 m에서는 76명에서 54명으로 22명(28.9%)이 각각 감소되었다.

이러한 결과는 깊은 수심일수록 수중 체류시간이 짧기 때문에 SI를 합리적으로 관리하면 동일 인력의 반복 투입이 가능해짐을 보여주는 것이다. 결과적으로 깊은 수심일수록 반복 잠수를 적용한 운용 체계가 잠수사 투입 효율을 실질적으로 개선할 수 있음을 의미한다. 따라서 반복 잠수 절차의 합리적 적용은 단순히 인력 투입 규모를 줄이는 데 그치지 않고, 동일한 작업량을 유지하면서도 잠수사의 피로도와 위험 노출을 줄일 수 있다.

6.3 마지막 잠수의 운용

마지막 잠수는 일일 근무 종료 시점(18:00)에 근접하여 수행되므로 잠수사의 피로도와 남은 근로 시간이 잠수 운용의 결정적 제약으로 작용한다. 특히 마지막 잠수는 하루 작업의 종료를 의미할 뿐 아니라, 일정 지연 시 퇴수(18:00 초과 종료)가 불가피해져 전체 일정에 영향을 미칠 수 있으므로 관리의 중요성이 크다. 본 연구에서는 잠수 종료 후 장비 정리 및 관리 등의 부대 시간은 고려하지 않고, 순수한 잠수 시간만을 대상으로 하여 마지막 잠수의 운용 특성과 합리적 수행 기준을 검토하였다.

6.3.1 마지막 잠수의 산술적 분석

마지막 잠수의 퇴수시간을 근무 종료 시각에 맞추기 위해서는 완전한 단일 잠수를 수행할 수 없다. 남아 있는 시간(RAT)이 하강 및 상승시간(DT + AT)보다 짧으면 추가 잠수는 물리적으로 불가능하므로, 이 경우 마지막 잠수는 완전한 단일 잠수가 된다. 반면, RAT가 완전한 단일 잠수를 수행하기에는 부족하더라도 제한적인 수중 체류시간(WAT)을 확보할 수 있는 경우 단축 잠수 형태로 마지막 잠수를 수행할 수 있다. 이러한 산술적 결과를 Table 6에 정리하였다.

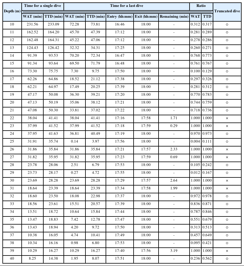
Depth-dependent analysis results for last diving operations under no-decompression conditions

단축 잠수는 NDL의 제약을 받지 않기 때문에 수심에 따른 WAT 분포가 일정하지 않다. 예를 들어 수심 10 m, 14 m, 15 m에서는 각각 73.81분, 70.34분, 69.50분의 WAT을 확보하여 단축 잠수임에도 1시간 이상 수중 작업이 가능하여 임무를 완료할 시간적 여유가 주어진다. 반면, 수심 25m, 29m, 38 m에서는 각각 0.97분, 0.27분, 0.69분에 불과하여 잠수 작업을 수행할 수 없는 극단적인 경우가 나타나며, 사실상 효율은 0에 가깝다.

완전한 단일 잠수 대비 마지막 잠수의 WAT 비(WATlast/WATsingle)는 수심 24 m와 32 m에서 각각 0.97과 0.972로 높았으나, 대부분의 수심 조건에서 0.5 이하였다. 특히, 수심 10 m의 경우 절대 체류시간은 73.81분이지만, 단일 잠수 대비 비율은 0.312에 불과하였다. 반면, 1시간 이상의 WAT가 확보되는 수심 14 m와 15 m에서는 각각 0.768과 0.761로 효율성이 높았다. 즉, 마지막 잠수의 효율성 평가는 절대적인 작업 시간 확보뿐 아니라, 완전한 단일 잠수 대비 WAT 비율을 함께 고려해야 한다는 점을 시사한다.

6.3.2 마지막 잠수의 수행 여부

짧은 RAT에서 수행되는 마지막 단축 잠수는 효율성이 낮으며, 수심이 깊어질수록 NDL이 단축되고, DT와 AT가 증가하여 확보 가능한 WAT이 급격히 감소한다. 따라서 마지막 잠수의 수행 여부는 RAT와 WAT을 단계적으로 평가하여 합리적으로 결정해야 한다. 본 연구에서는 잠수 감독관 또는 현장 관리자가 설정할 수 있는 세 가지 핵심 판단 요소를 제 안하였다.

① 최소 작업 시간(Minimum Working Time, MWT): 잠수의 목적과 성격에 따라 반드시 확보되어야 하는 최소 시간

② 절대 작업 시간(Absolute Working Time, AWT): 낮은 수심에서도 일정 수준 이상의 절대적 작업시간을 보장하기 위한 기준

③ 상대 작업 비율(Relative Working Ratio, RWR): 깊은 수심에서 완전한 단일 잠수 대비 최소 체류 비율을 확보하기 위한 기준

예를 들어, MWT와 AWT를 각각 5분과 30분, RWR을 0.5로 설정하면, 얕은 수심에서는 30분 이상 WAT를 확보해야 하며, 깊은 수심에서는 단일 잠수 WAT의 50% 이상을 확보해야 의미 있는 잠수로 간주된다. 이를 적용하면 다음과 같은 단계적 판단이 가능하다.

• 1 단계 : RAT ≥ DT + AT + MWT

• 2 단계 : WATlast ≥ min(AWT, RWR × WATsingle)

두 조건을 모두 만족해야 마지막 잠수를 수행하는 것이 합리적이며, 하나라도 미달할 경우에는 잠수조를 투입하지 않는 것이 바람직하다. 예를 들어, 수심 25m, 28m, 29m, 36 m, 37 m, 38 m, 40 m는 1단계 조건을 충족하지 못해 잠수를 수행해서는 안 되며, 수심 16 m, 17 m, 18 m는 2단계 기준에서 AWT와 RWR 모두 미달한다. 반면, 수심 35 m의 경우 WAT은 7.42분으로 짧지만, WATlast/WATsingle가 0.551로 기준을 만족하므로 제한적 단축 잠수로 인정될 수 있다. 이러한 절차는 비효율적인 잠수 수행을 방지하면서 잠수사의 피로 누적을 최소화하고, 현실적인 인력 및 시간 관리 체계를 구축하는 데 기여할 수 있다.

6.3.3 마지막 잠수 작업의 관리

마지막 잠수는 근무 종료 시각에 맞추어 퇴수하도록 계획되었다. 이 때문에 수중 체류가 지체될 경우 상승(감압)에 필요한 시간이 증가하여 18:00 이전에 종료하지 못하는 상황이 발생할 수 있다. 이러한 지연은 단순한 일정 초과를 넘어 무리한 잠수로 인한 DCS 발생 위험 증가로 이어질 가능성이 높다. 따라서 잠수 감독관은 마지막 잠수의 수중 체류 시간을 엄격히 관리해야 한다. 이를 위해 작업 중 남은 시간(RAT)을 실시간으로 파악하고, 상승 개시 시점을 적절히 조정함으로써 계획된 퇴수 시간을 준수해야 한다. 특히, 마지막 잠수가 완전한 단일 잠수 형태로 수행될 경우에는 수중 체류 시간의 증가가 감압 절차 준수를 반드시 요구하므로 더욱 신중한 관리가 필요하다.

예를 들어, 수심 22 m, 23 m, 26 m, 27 m, 30 m, 31 m, 39 m에서는 RAT가 0.69~3.19분 수준이다. 이러한 조건에서 NDL을 초과하는 수중체류가 발생하면, 상승과 감압 절차에 더 많은 시간이 요구되어 18:00에 맞추어 퇴수할 수 없게 된다. 따라서 잠수 감독관은 이러한 상황에는 상승 시점을 조정하여 체류 초과로 인한 일정 지연과 안전사고를 예방해야 한다.

결국, 마지막 잠수의 관리는 단순히 근무 시간을 맞추기 위한 행정적 절차가 아니라, 잠수사의 생리적 안전을 보장하고 전체 잠수 일정의 신뢰성과 연속성을 유지하기 위한 핵심적인 운용 단계라 할 수 있다. 본 연구에서 제안한 RAT-WAT 기반의 단계적 판단 기준과 시간 관리 절차는 실제 잠수 감독관 및 현장 관리자가 작업 종료 시점을 고려한 합리적 의사결정을 내리는 데 실질적인 지침으로 활용될 수 있을 것이다.

7. 결 론

본 연구는 보수적인 무감압 잠수 조건 하에서 미 해군 잠수 매뉴얼에 근거한 수심별 NDL을 고려하여 잠수 작업의 효율성과 소요 잠수 인력을 정량적으로 분석하였다. 또한, 반복 잠수 절차 및 마지막 잠수의 운용 기준을 체계적으로 제시하였다. 본 연구에서 도출된 주요 결과는 다음과 같다.

수심이 깊어질수록 NDL이 짧아지고, 하강 및 상승 시간이 증가함에 따라 WAT가 급격히 감소하였다. 이에 따라 잠수 작업의 효율(WAT/TTD)은 10m에서 0.993에서 40m에서 0.574로 감소하였다. 결과적으로 동일한 잠수 공정을 수행하기 위해서는 수심 10 m 대비 40 m에서 최대 12.7배 많은 잠수사가 요구되었으며, 이는 수심이 깊을수록 동일한 작업을 수행하기 위해 더 많은 잠수 인력이 필요함을 의미한다.

무감압 잠수 조건에서 소요 인력을 줄이기 위한 방안으로 반복 잠수 절차를 제안하였다. 그 결과, 수심 34~40m 구간에서 체내 잔여 질소량이 감소함에 따라 동일 인력의 재투입이 가능하였으며, 수심 40m에서는 소요 잠수사를 최대 28.9%까지 감소시킬 수 있었다. 이는 소요 인력이 많은 대심도 잠수에서 체계적인 휴식 관리와 반복 잠수 절차의 합리적 적용이 인력 운용 효율을 실질적으로 개선할 수 있음을 보여준다.

또한, 본 연구는 남은 근로 시간(RAT)과 수중 작업 시간의 최소 기준으로 일일 마지막 잠수의 수행 여부를 합리적으로 판단할 수 있는 의사결정 체계를 제안하였다. 제시된 기준은 수심에 따른 WAT 변화를 반영할 수 있는 구조로서, 단순한 시간 관리의 수준을 넘어 근무 종료 시점의 작업 일정을 안정적으로 조정할 수 있는 실무적 근거를 제공한다.

이러한 결과는 잠수 공정의 계획 및 설계, 그리고 인력 배치 기준 수립에 있어 과학적 근거를 제공한다. 특히, 수심별 작업 효율과 인력 운용의 상관관계를 정량적으로 제시함으로써, 기존의 경험적 기준에 의존하던 잠수 작업 계획을 데이터 기반의 합리적 체계로 전환할 수 있는 가능성을 제시하였다.

향후 연구에서는 WAT를 증가시키고 소요 잠수 인력을 감소시킬 수 있는 감압 잠수 조건을 체계적으로 분석할 계획이다. 또한, 수면에서의 잠수조 교대가 아닌 수중 교대를 위한 안전 절차를 개발하여 잠수 작업의 연속성을 확보할 방안을 검토할 예정이다. 나아가, 보조적 역할을 수행할 수 있는 ROV와의 연계 운용을 통해 잠수 작업의 효율과 안전을 동시에 향상시킬 수 있는 통합 운용 방안을 검토할 예정이다.

Notes

감사의 글

이 성과는 정부(과학기술정보통신부)의 재원으로 한국연구재단의 지원을 받아 수행된 연구임(RS-2024-00356327).

References

Anderson W., Murray P., Hertweck K.. 2019;Dive medicine: Current perspectives and future directions. Current Sports Medicine Reports 18(4):129–135.
Baker E.C.. 1998;Understanding M-values. Immersed 3(3):23–27.
Bennett P.B., Elliott D.H.. 1993. The physiology and medicine of diving 4th edth ed. W.B. Saunders Company.
Brubakk A.O., Neuman T.S.. 2003. Bennett and Elliott’s physiology and medicine of diving 5th edth ed. Elsevier.
Bühlmann A.A.. 1984. Decompression-decompression sickness Springer-Verlag.
Bühlmann A.A.. 1995. Tauchmedizin 4th edth ed. Springer-Verlag.
Cooper J.S., Diaz R.. 2023. Decompression sickness Stat-Pearls Publishing.
Denison D.M., Glover M.A.. 2020. Diving medicine In : Warrell D.A., Cox T.M., Firth J.D., Best J., eds. Oxford: textbook of medicine. 6th edth ed. Oxford University Press.
Elliott D., van Hulst R., Taylor M., Marroni A., Gaastra M.. 2014. The underlying physics and applied physiology. In : Bierens J., ed. Drowning Springer. p. 1099–1102.
Gerth W.A., Doolette D.J.. 2007. VVAL-18 and VVAL-18M Thalmann algorithm air decompression tables and procedures. Navy Experimental Diving Unit Technical Report 07-09 Navy Experimental Diving Unit.
Gerth W.A., Doolette D.J.. 2012. VVal-79 maximum permissible tissue tension table for Thalmann algorithm support of air diving. Navy Experimental Diving Unit Technical Report TR NEDU 12-01 U.S. Navy.
Haldane J.S., Boycott A.E., Damant G.C.C.. 1908;The prevention of compressed-air illness. Journal of Hygiene 8(3):342–443.
HSE (Health and Safety Executive). 2014. Commercial diving projects offshore: Diving at work regulations 1997: Approved code of practice and guidance 2nd ed.th ed.
Howle L.E., Weber M., Johnson M.A., Yount D.E., Hoffman R.A., Gerth W.A.. 2017;Modeling the effects of physical activity on inert gas kinetics and decompression sickness risk. Aerospace Medicine and Human Performance 88(5):453–460.
IMCA (International Marine Contractors Association). 2014. International code of practice for offshore diving (Rev. 2). IMCA D014, International Marine Contractors Association
Imtiyaz Z., O’Neill O.J., Sward D., Le P.N.J., Arya A.K., Bhopale V.M., Bhat A.R., Thom S.R.. 2024;Influence of exposure duration on human pressure-induced inflammatory responses: Comparison between tunnel workers and underwater divers. Physiological Reports 12(22):e70130.
Joiner J.T.. 2007;Commercial diver training manual. Best Publishing
KCG (Korean Coast Guard). 2018;Regulations on the Operation of the Sea Special Rescue Team (SSRT). Coast Guard Directive :85. Korean Coast Guard; (in Korean).
Kim M., Kim S., Kim T., Kim Y., Lee W.D.. 2025a;Daily planning and management of SCUBA diving operations considering tidal current conditions: A case study of the Sewol Ferry disaster site. Journal of Coastal Disaster Prevention 12(1):31–47. (in Korean).
Kim M., Cheon K., Kim Y., Kim T., Lee W.D.. 2025b;A sustainable framework for planning and management of diving operations for underwater search and rescue in strong tidal current environments: Lessons from the Sewol ferry disaster. Sustainability 17(24):11073.
Kim M., Song M., Cheon K., Kim T., Lee W.D.. 2025c;Operational strategies for ROVs in underwater search and rescue during large-scale marine disasters. Journal of Ocean Engineering and Technology 39(4):467–478.
Kim M., Song M., Jeong S., Park J., Lee W.D.. (2025d). Applicability of integrated ROV-SCUBA operations in underwater search and rescue -A case study of the Sewol Ferry disaster-. Journal of the Korean Society of Safety 40(6):108–117. (in Korean).
Kim M., Song M., Park J., Kim S., Lee W.D.. 2023;Estimation of underwater workable time considering tidal currents: A review of diving equipment. Journal of Coastal Research (Special Issue) 116:433–437.
KNFA (Korean National Fire Agency). 2025. Standard operational procedures for disaster sites National Fire Agency. (in Korean).
KOSHA (Korea Occupational Safety and Health Agency). 2011. KOSHA GUIDE B-4-2011: Diving work safety technical guideline Ulsan, Korea: Korea Occupational Safety and Health Agency. (in Korean).
Lee W.D.. 2020;A study on optimal Nitrox for safe underwater works: Diving simulation-based assessments. Journal of the Korean Society of Safety 35(1):70–78. (in Korean).
Lee W.D., Kim Y., Kim T., Kim M.. 2025a;Surface-supplied diving system for underwater search and rescue operations at the Sewol Ferry disaster site (Part I): Theoretical background and dive planning. Journal of Korean Society of Coastal and Ocean Engineers 37(2):38–49. (in Korean).
Lee W.D., Kim Y., Kim T., Kim M.. 2025b;Surface-supplied diving system for underwater search and rescue operations at the Sewol Ferry disaster site (Part II): Applicability evaluation and operational management strategies. Journal of Korean Society of Coastal and Ocean Engineers 37(2):50–59. (in Korean).
Lee W.D., Kang C., Hong S., Lee T.K., Lee J.. 2021;Effect of wave load on decompression of underwater workers: CFDVPM simulation. Journal of Coastal Research (Special Issue) 114:614–618.
Lee W.D., Kim S.G., Kim M.H., Lee J.H.. 2019b;Air diving operation, management and planning for safe and effective underwater works. Journal of the Korean Society of Safety 34(4):103–110. (in Korean).
Lee W.D., Lee J., Lee J.H.. 2019a;Applicability of nitrox diving for improved safety and efficiency of underwater operations. Journal of Coastal Research (Special Issue) 91:206–210.
Lee W.D., Mizutani N., Hur D.S.. 2020;2-D characteristics of wave deformation due to wave-current interactions with density currents in an estuary. Water 12:183.
Maiken E.B.. 1995. VPM decompression program. In : Tek95 Diving Technology Conference. San Francisco, CA.
MOEL (Ministry of Employment and Labor). 2020a. Standards for hyperbaric work. MOEL Notification No. 2020-59 Ministry of Employment and Labor. (in Korean).
MOEL (Ministry of Employment and Labor). 2020b. Regulations on occupational safety and health standards. MOEL Ordinance No 273 Ministry of Employment and Labor. (in Korean).
MOEL (Ministry of Employment and Labor). 2025. Explanatory guide to the Serious Accidents Punishment Act Ministry of Employment and Labor. (in Korean).
NOAA (National Oceanic and Atmospheric Administration). 2017. NOAA diving manual: Diving for science and technology 6th edth ed. Best Publishing Company.
Pendergast D.R., Moon R.E., Krasney J.J., Held H.E., Zamparo P.. 2015;Human physiology in an aquatic environment. Comprehensive Physiology 5(4):1705–1750.
Park S.W., Kim W.S., Yoon H.S.. 2025;A study on the fatal accident cause of commercial diving activity in Korea – 2020~2024. Journal of Korean Society of Occupational and Environmental Hygiene 35(2):127–140. (in Korean).
Powell M.. 2010. Deco for Divers: A Diver’s Guide to Decompression Theory and Physiology AquaPress. Dorset, UK:
Spira A.. 1999;Diving and marine medicine review part II: Diving diseases. Journal of Travel Medicine 6(3):180–198.
Thalmann E.D.. 1984. Phase II testing of decompression algorithms for use in the U.S. Navy underwater decompression computer. Navy Experimental Diving Unit Research Report 1-84 Navy Experimental Diving Unit.
Thalmann E.D.. 1986. Air-N2O2 decompression computer algorithm development. Navy Experimental Diving Unit Research Report 8-86 Navy Experimental Diving Unit.
Thalmann E.D., Gerth W.A., Vann R.D.. 2001;Validation of the VVAL-18M decompression algorithm. Navy Experimental Diving Unit Technical Report 01-11 Navy Experimental Diving Unit.;
US Navy. 2005. U.S. Navy diving manual (Rev. 5) Naval Sea Systems Command.
US Navy. 2016. U.S. Navy diving manual (Rev. 7) Naval Sea Systems Command.
Walker J.R., Stolz U.. 2023. Diving in water recompression StatPearls Publishing.
Wienke B.R.. 1990;Reduced gradient bubble model. International Journal of Biomedical Computing 26(4):237–256.
Wienke B.R.. 2003. Basic decompression theory and application Flagstaff, AZ: Best Pub.
Workman R.D.. 1965. Calculation of decompression schedules for nitrogen-oxygen and helium-oxygen dives. Research Report p. 6–65. U.S. Navy Experimental Diving Unit.
Yount D.E., Hoffman D.C.. 1984. Decompression theory: A dynamic critical-volume hypothesis. In : Bachrach A.J., Matzen M.M., eds. Underwater physiology VIII: Proceedings of the eighth symposium on underwater physiology Undersea and Hyperbaric Medical Society. p. 131–146.
Yount D.E., Hoffman D.C.. 1986;On the use of a bubble formation model to calculate diving tables. Aviation, Space, and Environmental Medicine 57(2):149–156.
Yount D.E., Maiken E.B., Baker E.C.. 2000. Implications of the varying permeability model for reverse dive profiles. In : Proceedings of the Reverse Dive Profiles Workshop. Smithsonian Institution; p. 29–61.

Article information Continued

Fig. 1

Phases of no-decompression dive operations.

Fig. 2

Representative no-decompression dive profiles at selected depths (10, 20, 30, 40 m).

Fig. 3

Depth-dependent analysis of a single dive under no-decompression conditions.

Fig. 4

Depth-dependent daily analysis of continuous diving operations under no-decompression conditions.

Fig. 5

Bar and line plots showing daily total dives, daily required divers, and their ratio to the daily requirement at a depth of 10 m under continuous diving operations.

Fig. 6

Flowchart showing the determination of repetitive diving based on the comparison between SI and NRNT.

Fig. 7

Comparison of the required number of divers with and without allowing repetitive dives.

Table 1

The characteristics of principal decompression models

Model Type Compartments Characteristics
Haldane Dissolved-gas 5
  • Established 2:1 pressure ratio limit

  • Assumed exponential gas exchange

  • Introduced multi-compartment tissues and staged decompression

  • Formed the basis of modern decompression tables

Workman Dissolved-gas 9
  • Defined depth-dependent M-values with linear relationship

  • Improved tolerance estimation for tissue supersaturation

  • Improved accuracy for long and repetitive dives

Bühlmann ZH-L16 Dissolved-gas 16
  • Extended M-value concept to absolute pressure basis

  • Incorporated both nitrogen and helium

  • Applicable to altitude and mixed-gas diving

  • Supports gradient factor adjustment

Thalmann Algorithm (VVAL-18/18M) Dissolved-gas (Exponential-linear) 18
  • Used asymmetric gas kinetics (exponential uptake, linear washout)

  • Integrated oxygen-based decompression

  • Validated with extensive U.S. Navy diving trials

VPM Bubble model Variable
  • Modeled bubble nuclei distribution based on critical-volume hypothesis

  • Introduced deep stops to limit bubble growth

  • Emphasized conservative ascent profiles

RGBM Hybrid (Dissolved-gas + Bubble model) Variable
  • Combined dissolved-gas and bubble-phase dynamics

  • Reduced permissible pressure gradients

  • Applied to repetitive and reverse-profile dives for enhanced safety margin

Table 2

No-decompression limits and repetitive group designators for air dives (Adapted from U.S. Navy, 2016)

Depth (fsw* / msw **) NDL (min) Repetitive group designation
A B C D E F G H I J K L M N O Z
10 /3.1 Unlimited 57 101 158 245 426 ***
15 / 4.6 Unlimited 36 60 88 121 163 217 297 449 ***
20 / 6.1 Unlimited 26 43 61 82 106 133 165 205 256 330 461 ***
25 / 7.6 1,102 20 33 47 62 78 97 117 140 166 198 236 285 354 469 992 1,102
30 / 9.1 371 17 27 38 50 62 76 91 107 125 145 167 193 223 260 307 371
35 / 10.7 232 14 23 32 42 52 63 74 87 100 115 131 148 168 190 215 232
40 / 12.2 163 12 20 27 36 44 53 63 73 84 95 108 121 135 151 163
45 / 13.7 125 11 17 24 31 39 46 55 63 72 82 92 102 114 125
50 / 15.2 92 9 15 21 28 34 41 48 56 63 71 80 89 92
55 / 16.8 74 8 14 19 25 31 37 43 50 56 63 71 74
60 / 18.2 63 7 12 17 22 28 33 39 45 51 57 63
70 / 21.3 48 6 10 14 19 23 28 32 37 42 47 48
80 / 24.4 39 5 9 12 16 20 24 28 32 36 39
90 / 27.4 33 4 7 11 14 17 21 24 28 31 33
100 / 30.5 25 4 6 9 12 15 18 21 25
110 / 33.5 20 3 6 8 11 14 16 19 20
120 / 36.6 15 3 5 7 10 12 15
130 / 39.6 12 2 4 6 9 11 12
140 / 42.7 10 2 4 6 8 10
150 / 45.7 8 3 5 7 8
160 / 48.8 7 3 5 6 7
170 / 51.8 6 4 6
180 / 54.6 6 4 5 6
190 / 57.6 5 3 5
*

Feet of seawater

**

Meters of seawater

***

Indicates the highest repetitive group that can be achieved at this depth regardless of bottom time

Table 3

Institutional standards for diving personnel

Institution Ministry of national defense Korea coast guard National fire agency Commercial diving


SCUBA SSDS SCUBA SSDS
Diver 2 2 2 2 2 2
Supervisor 1 1 1 - - -
Standby diver 1 1 1 - - -
Diver tender - 1 1 - - -
Logs - - - - -
Standby diver tender - 1 - - - -
Console - 1 - - - -
Observer - - - 1 1
Total 4 7 5 2 3 3

Table 4

Depth-dependent analysis results for a single dive under no-decompression conditions

Depth (m) Time for a single dive (min) Ratio

NDL DT WAT AT TTD DT/TTD WAT/TTD AT/TTD
10 232 0.44 231.56 1.09 233.09 0.002 0.993 0.005
11 163 0.48 162.52 1.20 164.20 0.003 0.990 0.007
12 163 0.52 162.48 1.31 164.31 0.003 0.989 0.008
13 125 0.57 124.43 1.42 126.42 0.004 0.984 0.011
14 92 0.61 91.39 1.53 93.53 0.007 0.977 0.016
15 92 0.66 91.34 1.64 93.64 0.007 0.975 0.018
16 74 0.70 73.30 1.75 75.75 0.009 0.968 0.023
17 63 0.74 62.26 1.86 64.86 0.011 0.960 0.029
18 63 0.79 62.21 1.97 64.97 0.012 0.958 0.030
19 48 0.83 47.17 2.08 50.08 0.017 0.942 0.042
20 48 0.87 47.13 2.19 50.19 0.017 0.939 0.044
21 48 0.92 47.08 2.30 50.30 0.018 0.936 0.046
22 39 0.96 38.04 2.41 41.41 0.023 0.919 0.058
23 39 1.01 37.99 2.52 41.52 0.024 0.915 0.061
24 39 1.05 37.95 2.63 41.63 0.025 0.912 0.063
25 33 1.09 31.91 2.74 35.74 0.031 0.893 0.077
26 33 1.14 31.86 2.84 35.84 0.032 0.889 0.079
27 33 1.18 31.82 2.95 35.95 0.033 0.885 0.082
28 25 1.22 23.78 3.06 28.06 0.044 0.847 0.109
29 25 1.27 23.73 3.17 28.17 0.045 0.842 0.113
30 25 1.31 23.69 3.28 28.28 0.046 0.838 0.116
31 20 1.36 18.64 3.39 23.39 0.058 0.797 0.145
32 20 1.40 18.60 3.50 23.50 0.060 0.791 0.149
33 20 1.44 18.56 3.61 23.61 0.061 0.786 0.153
34 15 1.49 13.51 3.72 18.72 0.079 0.722 0.199
35 15 1.53 13.47 3.83 18.83 0.081 0.715 0.203
36 15 1.57 13.43 3.94 18.94 0.083 0.709 0.208
37 12 1.62 10.38 4.05 16.05 0.101 0.647 0.252
38 12 1.66 10.34 4.16 16.16 0.103 0.640 0.257
39 12 1.71 10.29 4.27 16.27 0.105 0.633 0.262
40 10 1.75 8.25 4.38 14.38 0.122 0.574 0.304

Table 5

Depth-dependent daily analysis results for continuous diving operations under no-decompression conditions

Depth (m) Number of dives Daily accumulated time (min) Ratio

DT WAT AT TTD DT/TTD WAT/TTD AT/TTD
10 3 1.31 535.41 3.28 540.00 0.002 0.991 0.006
11 4 1.92 533.26 4.81 540.00 0.004 0.988 0.009
12 4 2.10 532.65 5.25 540.00 0.004 0.986 0.010
13 5 2.84 530.05 7.11 540.00 0.005 0.982 0.013
14 6 3.67 527.14 9.19 540.00 0.007 0.976 0.017
15 6 3.94 526.22 9.85 540.00 0.007 0.974 0.018
16 8 5.60 520.40 14.00 540.00 0.010 0.964 0.026
17 9 6.69 516.57 16.74 540.00 0.012 0.957 0.031
18 9 7.09 515.19 17.72 540.00 0.013 0.954 0.033
19 11 9.14 507.99 22.87 540.00 0.017 0.941 0.042
20 11 9.62 506.31 24.07 540.00 0.018 0.938 0.045
21 11 10.10 504.62 25.27 540.00 0.019 0.934 0.047
22 13 12.51 494.49 31.29 538.29 0.023 0.919 0.058
23 13 13.08 493.92 32.71 539.71 0.024 0.915 0.061
24 13 13.65 492.22 34.14 540.00 0.025 0.912 0.063
25 16 17.50 478.74 43.76 540.00 0.032 0.887 0.081
26 15 17.06 477.94 42.67 537.67 0.032 0.889 0.079
27 15 17.72 477.28 44.31 539.31 0.033 0.885 0.082
28 20 24.50 454.23 61.27 540.00 0.045 0.841 0.113
29 20 25.37 451.17 63.46 540.00 0.047 0.836 0.118
30 19 24.93 450.07 62.36 537.36 0.046 0.838 0.116
31 23 31.19 428.81 78.01 538.01 0.058 0.797 0.145
32 23 32.20 427.28 80.53 540.00 0.060 0.791 0.149
33 23 33.20 423.76 83.04 540.00 0.061 0.785 0.154
34 29 43.13 388.99 107.88 540.00 0.080 0.720 0.200
35 29 44.40 384.55 111.05 540.00 0.082 0.712 0.206
36 29 45.67 380.11 114.22 540.00 0.085 0.704 0.212
37 34 55.03 347.33 137.64 540.00 0.102 0.643 0.255
38 34 56.52 342.13 141.36 540.00 0.105 0.634 0.262
39 33 56.30 339.70 140.81 536.81 0.105 0.633 0.262
40 38 66.49 307.21 166.30 540.00 0.123 0.569 0.308

Table 6

Depth-dependent analysis results for last diving operations under no-decompression conditions

Depth (m) Time for a single dive Time for a last dive Ratio Truncated dive

WAT (min) TTD (min) WAT (min) TTD (min) Entry (hh:mm) Exit (hh:mm) Remaining (min) WAT TTD
10 231.56 233.09 72.28 73.81 16:46 18:00 - 0.312 0.317
11 162.52 164.20 45.70 47.39 17:12 18:00 - 0.281 0.289
12 162.48 164.31 45.22 47.06 17:12 18:00 - 0.278 0.286
13 124.43 126.42 32.32 34.31 17:25 18:00 - 0.260 0.271
14 91.39 93.53 70.20 72.34 16:47 18:00 - 0.768 0.773
15 91.34 93.64 69.50 71.79 16:48 18:00 - 0.761 0.767
16 73.30 75.75 7.30 9.75 17:50 18:00 - 0.100 0.129
17 62.26 64.86 18.52 21.12 17:38 18:00 - 0.297 0.326
18 62.21 64.97 17.49 20.25 17:39 18:00 - 0.281 0.312
19 47.17 50.08 36.30 39.21 17:20 18:00 - 0.770 0.783
20 47.13 50.19 35.06 38.12 17:21 18:00 - 0.744 0.759
21 47.08 50.30 33.81 37.02 17:22 18:00 - 0.718 0.736
22 38.04 41.41 38.04 41.41 17:16 17:58 1.71 1.000 1.000 ×
23 37.99 41.52 37.99 41.52 17:18 17:59 0.29 1.000 1.000 ×
24 37.95 41.63 36.81 40.49 17:19 18:00 - 0.970 0.973
25 31.91 35.74 0.14 3.97 17:56 18:00 - 0.004 0.111
26 31.86 35.84 31.86 35.84 17:21 17:57 2.33 1.000 1.000 ×
27 31.82 35.95 31.82 35.95 17:23 17:59 0.69 1.000 1.000 ×
28 23.78 28.06 2.51 6.79 17:53 18:00 - 0.105 0.242
29 23.73 28.17 0.27 4.72 17:55 18:00 - 0.012 0.167
30 23.69 28.28 23.69 28.28 17:29 17:57 2.64 1.000 1.000 ×
31 18.64 23.39 18.64 23.39 17:34 17:58 1.99 1.000 1.000 ×
32 18.60 23.50 18.08 22.98 17:37 18:00 - 0.972 0.978
33 18.56 23.61 15.51 20.57 17:39 18:00 - 0.836 0.871
34 13.51 18.72 10.64 15.84 17:44 18:00 - 0.787 0.846
35 13.47 18.83 7.42 12.78 17:47 18:00 - 0.551 0.679
36 13.43 18.94 4.20 9.72 17:50 18:00 - 0.313 0.513
37 10.38 16.05 4.74 10.41 17:49 18:00 - 0.457 0.649
38 10.34 16.16 0.98 6.80 17:53 18:00 - 0.095 0.421
39 10.29 16.27 10.29 16.27 17:40 17:56 3.19 1.000 1.000 ×
40 8.25 14.38 1.95 8.07 17:51 18:00 - 0.236 0.562