터빈설치를 위한 한국 연안 해상풍력발전 부존량 평가

Assessment of Offshore Wind Power Potential for Turbine Installation in Coastal Areas of Korea

Article information

J Korean Soc Coast Ocean Eng. 2018;30(4):191-199
Publication date (electronic) : 2018 August 31
doi : https://doi.org/10.9765/KSCOE.2018.30.4.191
*Korea Electric Power Research Institute
**Ocean · Plant Construction Engineering, Mokpo Maritime National University, 91 Haeyangdaehakro, Mokpo-si, Jeollanam-do 58628, Korea
***Coastal Development and Energy Research Center, Korea Institute of Ocean Science & Technology
****Department of Civil and Environmental Engineering, Wonkwang University
강금석*, 오남선,**, 고동휘***, 정신택****, 황재동****
*한국전력공사 전력연구원
**목포해양대학교 해양 ·플랜트건설공학과
***한국해양과학기술원 연안개발 ·에너지연구센터
****원광대학교 토목환경공학과
Corresponding author: Nam Sun Oh, Ocean · Plant Construction Engineering, Mokpo Maritime National University, 91 Haeyangdaehakro, Mokpo-si, Jeollanam-do 58628, Korea, Tel: +82-61-240-7306, Fax: +82-61-240-7341, sun@mmu.ac.kr
Received 2018 July 25; Revised 2018 August 20; Accepted 2018 August 27.

Abstract

본 연구에서는 한국 연안의 해상풍력 발전을 위한 적지를 검토하기 위해 기상청에서 제공하는 20개 지점의 풍속 자료를 수집하고 이를 분석하였다. 관측된 풍속 자료의 분석을 위하여 Rayleigh 모델과 Weibull 모델을 이용하였으며, 풍속 출현빈도에 따라 연간 부존량을 추정하였다. 풍력발전기 모델로는 출력 1.5~5MW의 7종류를 선정하여 각각의 성능곡선을 이용하였다. 그 결과, 풍속이 7.15 m/s 이상인 지점에서는 Repower-5MW의 터빈이 높은 에너지 생산이 가능한 것으로 나타났으나 그 이하의 풍속에서는 G128-4.5MW의 터빈이 유리한 것으로 나타났다. 10 m/s 이상의 풍속 출현율이 높은 마라도, 거제도 및 포항의 경우 REpower사의 5 MW급 해상풍력발전기 설치 시설비이용률이 56.49%, 50.92%, 50.08%로 높게 나타났다.

Trans Abstract

In this paper, wind data at 20 locations are collected and analyzed in order to review optimal candidate site for offshore wind farm around Korean marginal seas. Observed wind data is fitted to Rayleigh and Weibull distribution and annual energy production is estimated according to wind frequency. As the model of wind turbine generator, seven kinds of output of 1.5~5 MW were selected and their performance curves were used. As a result, Repower-5 MW turbines showed high energy production at wind speeds of 7.15 m/s or higher, but G128-4.5 MW turbines were found to be favorable at lower wind speeds. In the case of Marado, Geojedo and Pohang, where the rate of occurrence of wind speeds over 10 m/s was high, the capacity factor of REpower’s 5 MW offshore wind turbine was 56.49%, 50.92% and 50.08%, respectively.

1. 서 론

풍력발전은 공기의 유동이 가진 운동에너지의 공기역학(aero dynamic)적 특성을 이용하여 회전자(rotor)를 회전시켜 기계적 에너지로 변환시키고, 이 기계적 에너지를 이용하여 발전기를 구동, 전력을 생산하여 전력계통이나 수요자에게 공급하는 기술이다. 육상 풍력 발전이 공간 활용의 한계성, 민원 및 소음 문제, 자원 활용의 어려움 등 산업 발전에 한계성을 드러내면서 새로운 공간을 모색하게 되었고, 육지에 비해 강하고 안정된 바람이 발생하는 해양을 중심으로 외국에서는 해상풍력발전단지가 조성되고 있다.

유럽의 경우 2017년에 17개의 해상풍력단지에 560개의 터빈, 3,148 MW의 설비용량을 설치하여 2017년말 유럽 11개국의 누적 해상풍력 설비용량은 15,780MW(4,149 터빈)에 이르고 있다(Wind Europe, 2017, Fig. 1 참조). 국내의 경우, 제주도 제주시 월정 해상에 실증연구용으로 해상풍력 기기 2기가 설치되어 있고, 탐라해상풍력발전(주)에서 제주시 한경면에 30MW의 풍력발전설비를 운영 중에 있으며, 한국해상풍력(주)에서는 60 MW의 해상풍력 실증단지 건설을 서해 위도 인근 해역에서 수행 중에 있다.

Fig. 1.

Cumulative and annual offshore wind energy installation in Europe.

Table 1에 국내 해상 풍력발전 터빈 설치 현황을 정리하였다. 육상에 비해 해상이 가진 장점으로는 풍부한 해상풍 자원 보유, 대단위 풍력 단지 조성의 용이함, 높은 풍황 자원, 낮은 난류 강도, 소음 문제 해결, 대형 풍력 발전기기의 설치 및 운반 그리고 철거의 용이함, 설치 단지 취득, 그리고 전파 장애등 환경문제의 미약함이 있다. 더불어 타 발전과의 혼합발전이 가능해져 발전 효율도 높아질 수 있어 해상풍력 산업은 더욱 빠른 성장세를 보이고 있다. 이처럼 해상풍력발전의 성장과 함께 유럽의 몇몇 국가들은 전체 에너지의 15~30%를 풍력발전으로 대체하고 있다(IEA, 2013; Higgins and Foley, 2014).

Summary of installed offshore wind turbines at Korea

풍력발전을 도입할 때에는 후보지점의 가능성을 평가하기 위해 발전전력량을 예측하고, 예측한 자료를 바탕으로 풍차의 도입규모 및 기종을 적절히 선정하여야 한다. Korean Meteorological Administration(2007)에서는 약 600개 지상관측지점과 5개 고층관측지점의 2005년도 고밀도 기상관측 자료를 분석하여 기초적인 풍력자원지도를 개발하였다. Lee et al.(2013)은 해상관측탑 HeMOSU 1호의 자료를 활용하여 부존량 평가를 수행하였고, Ko et al.(2015)은 한국 서해안의 해상풍력발전 부존량 평가를 실시하였다.

이상과 같이 해상풍력발전 부존량 평가에 대한 몇 가지 연구가 진행되어 왔으나, 해역별로 적합한 터빈 모델의 선정 또 이에 따른 에너지량 산정 등에 관한 연구는 없었다. 따라서 본 연구에서는 해양에너지 개발사업의 한 분야를 차지하고 있는 해상풍력발전의 부지 선정을 위하여 Korean Meteorological Administration(2015)의 바람자료를 이용하여 해역별로 적절한 터빈 모델을 선정하고 해상풍력 에너지량을 산정하였다. 이러한 결과는 향후 발전부지선정 및 전력생산으로 인한 경제성의 예측에 도움을 주고, 차후 건설될 해상풍력발전단지의 최적 설비용량 평가를 위한 가이드라인 역할을 할 수 있을 것이다.

2. 자 료

풍황을 관측하고 그 데이터를 해석 ·평가하는 작업이 풍황의 정밀조사이며, 조사한 결과로부터 풍력발전의 가능성을 평가하고 적절한 터빈을 선정하기 때문에 풍황 관측 및 해석은 매우 중요한 작업이다.

해상 풍황자료를 수집하기 위하여 기상청에서는 해양기상부이와 등표기상관측장비를 이용하고 있다. 해양기상부이는 해수면에서 해양기상현상을 각종 관측센서로 측정하고, 측정한 값을 일정한 물리량으로 변환 ·처리한 후에 사용 가능한 통신장비를 이용하여 관측자료를 전송하는 장비이다. 해양기상부이는 관측자료가 없는 해상과 악천후로 관측이 어려운 지역에서도 관측이 가능하여 기상분석과 예보에 매우 유용한 정보를 생산하는 첨단 해양관측 장비로서, 관측되는 기본 요소로는 파고(유의, 최대, 평균), 파주기, 파향, 풍향, 풍속, 기압, 습도, 기온, 수온 등이 있다. 해양기상부이의 종류는 ‘3 m 원반형(Discus Buoy)’과 ‘6 m 선박형(NOMAD Buoy)’두 종류가 현재 국내에 설치되어 있다. 본 연구에서는 ‘3 m 원반형(Discus Buoy)’으로 관측한 자료 중 서해안의 ‘덕적도, 외연도, 칠발도, 신안’ 자료와 남해안의 ‘추자도, 거문도, 거제도’ 자료를, ‘6 m 선박형(NOMAD Buoy)’으로 관측한 자료 중 동해안 및 제주도 외해의 ‘포항, 마라도, 동해, 울릉도’ 총 11개 자료를 이용하였다. 등표기상관측장비는 항로표지시설(등표)이나 관측탑 등의 해양 구조물에 기상관측장비를 설치하고 수중에는 해상상태를 측정할 수 있는 파고계 등을 설치하여 관측센서에서 측정한 값을 일정한 물리량으로 변환 ·처리한 후에, 사용 가능한 통신장비를 이용하여 자료를 전송하는 장비이다. 관측되는 기본 요소로는 파고(유의, 최대), 파주기, 조위, 풍향, 풍속, 기압, 기온, 습도, 수온 등이 있다. 본 연구에서는 국내 등표기상관측장비로 관측한 자료 중 서해안의 ‘서수도, 가대암, 십이동파, 갈매여, 해수서’ 자료와 남해안 및 동해안의 ‘지귀도, 간여암, 광안, 이덕서’ 총 9개 자료를 이용하였다.

풍력발전 부존량 산정 및 개발 가능성을 검토하기 위해서는 최소 1년 이상의 관측 자료가 필요하다(Köse, 2004). 후보지점 부근에 충분히 신뢰할 수 있는 관측자료가 있는 경우에는 이것과의 상관관계로부터 연간 데이터를 추정할 수 있기 때문에 관측기간을 짧게 할 수 있다. 이러한 경우에도 최소 3개월 정도의 기간이 필요하며 이상적으로는 비교적 풍황이 양호하고 모든 풍향이 출현하는 시기의 데이터가 바람직하다. 본 연구에서는 계절의 변동성을 고려하여 2014년 기상청의 한국 연안 관측자료를 이용하였다. 해양기상부이로 관측한 11개 지점과 등표기상관측장비로 관측한 9개 자료 총 20개의 자료를 선정하였으며 이들 20개 지점의 정보 및 위치는 Fig. 2Table 2와 같다.

Fig. 2.

Location map of measuring stations.

Basic information of wind stations

3. 부존량 평가방법

3.1 풍속 분포함수

도수분포도(frequency distribution)를 이용하면 시간에 따른 실제 풍속과 풍향의 변동성을 확인할 수 있다. 따라서 풍속 에너지량을 산출하기 위해서는 먼저 풍속의 분포 특성을 검토해야 하며 풍속 정보에 적합한 분포 함수를 이용하여야 한다.

Weibull 분포 함수와 Rayleigh 분포 함수는 실제 풍속에 가장 잘 적합하며 이러한 이유로 두 분포함수는 풍속분포함수로 많이 활용된다. Weibull 분포 함수의 형태는 다음 식(1)과 같다(Lee et al., 2013; Ilinca et al., 2003; Aynur et al., 2010; Ahmed et al., 2006).

(1) f(V)=kc(Vc)k1exp[(Vc)k](k>0,V>0,c>1)

여기서, k는 형상계수, c는 척도계수이고, V는 풍속(m/s)이다.

한편, Weibull 분포 함수에 c =2σ 그리고 k = 2를 취하면 다음 식(2)와 같이 Rayleigh 분포 함수 형태로 표현할 수 있다(Cliff, 1977).

(2) f(V)=Vσ2exp{V22σ2}

여기서 σ는 Rayleigh 분포의 매개변수이며, σ2=2V2/π로 나타낼 수 있다. 한편, 식(2)는 다음 식(3)과 같이 표현할 수 있다.

(3) f(V)=πcVV¯2exp{π4(VV¯)2}

여기서, V는 평균풍속(m/s)이다.

본 연구에서는 풍속 분포함수로 Weibull 함수를 이용하였으며, 각 확률분포형의 매개변수를 추정하기 위해 최우도법(the maximum likelihood estimation method)을 이용하였다.

3.2 풍력에너지 밀도

단위 면적당 풍력에너지는 풍력에너지밀도라 하며 다음 식(4)와 같이 표현된다.

(4) P=12ρV3

평균 풍력에너지 밀도는 관측 자료로부터 다음 식(5)에 의해 계산된다(Ilinca et al., 2003).

(5) P¯=12Nρ¯i=1NobsniVi3

여기서 ρ는 일정 기간 동안의 평균 공기밀도, Vi는 풍속, ni는 발생빈도이다. 한편, Mirhosseini et al.(2011)Manwell et al.(2002)에 따르면 연평균 풍력에너지 밀도량에 따라 100 W/m2은 low, 약 400W/m2 수준은 good, 700W/m2 이상은 great로 구분하고 있다. EWEA(European Wind Energy Association)는 연평균 풍력에너지 밀도에 따라 300~400W/m2는 fairly good, 500~600W/m2은 good, 700~800W/m2은 very good으로 분류하였다(Garrad, 1991). 또한, 풍속과 연간 풍력에너지 밀도에 따라 바람자원을 다음 Table 3과 같이 7단계로 구분할 수 있다(ERG, 2009; Irwanto et al., 2014).

Classification according to wind power density

3.3 연간 풍속 출현시간

풍력발전 부존량을 추정할 때에는 평균풍속에 적합한 분포모형을 적용하여 풍속의 출현율을 계산할 수 있다. 또한 산출된 풍속 출현율을 이용하여 연간 출현시간을 다음 식(6)에 의해 추산할 수 있다.

(6) OccurrenceTime(hr)=f(V)×8,760hr

3.4 발전량

전력량은 터빈의 성능곡선과 설치지점인 높이에서의 풍속출현율을 이용하여 다음 식(7)로 구할 수 있다(Coastal Development Institute of Technology, 2001; Hwang, 2010).

(7) PW=P(V)×f(V)×8,760

여기서, PW는 연간 발전량(kWh), P(V)는 풍속 V의 발생전력(kW), f(V)는 식(1), (2), (3)으로 표현되는 풍속 V의 출현율이다.

한편 풍차의 설비이용률의 경우 다음 식(8)에 의해 계산할 수 있다.

(8) 연간설비이용률(%)=연간발생전력량(kWh)정격(kW) × 8,760 hr

3.5 풍력터빈의 성능곡선(power curve of wind turbine)

본 연구에서 사용한 터빈은 총 7개로 이에 대한 개요 및 터빈의 성능곡선은 다음 Table 4, Fig. 3과 같다.

Overview of 7 turbine performance

Fig. 3.

Plot of 7 turbine performance curves.

3.6 평균 풍속의 높이 보정

높이에 따른 평균 풍속 변동은 멱법칙에 의해 다음 식(9)와 같이 나타낼 수 있다. 평균 풍속, U(z)는 지면으로부터의 높이, z의 함수로서 높이 z에 따른 평균풍속을 나타낸다(Mwanyika and Kainkwa, 2006).

(9) U(z)=U(zref)(zzref)α

여기서 U(zref)는 기준 높이 zref에서의 평균 풍속이며, α는 고도분포지수이다.

일반적으로 해안지방의 경우 지수 α는 0.1~0.143을 사용하나, 본 연구에서는 HeMOSU 1호 관측치인 0.115(Ko et al., 2012)를 사용하였다.

4. 분석결과

20개 지점의 분석 결과를 정리하면 다음 Fig. 4~Fig. 7과 같다. Fig. 4는 관측 지점별로 빈도수에 따라 산정한 주 풍향을 그림으로 나타낸 것으로, 서해안은 북서계절풍에 의한 북서풍계열이 주 풍향으로 나타났으며, 남해안은 대체적으로 북동풍 계열이 주 풍향으로 나타났다. 또한 동해안의 경우 동남해안은 북서풍계열이, 동북해안은 남서풍 계열이 비교적 높게 출현하는 것으로 나타났다.

Fig. 4.

Main wind directions.

Fig. 5.

Annual average wind speeds (Unit: m/s (m), () is observation height).

Fig. 6.

Average annual energy density (Unit: W/m2 (m), () is observation height).

Fig. 7.

Optimal turbine and annual energy production, and capacity factor (Unit: kWh/year (%), () is capacity factor).

Fig. 5는 관측 높이별 연평균 풍속을 정리한 것이다. 각 지점별 기준풍속높이가 달라 power law에 의해 100 m 높이의 풍속으로 고도 변환하였다. 그 결과, 외해에 위치한 마라도의 연평균풍속이 10.45 m/s로 가장 높게 나타났으며, 남해와 동해 북부의 풍속이 비교적 높은 것으로 나타났다. Fig. 5에 도시된 숫자 중 위는 관측높이에서의 풍속(단위: m/s)과 관측높이(단위: m)이며 아래 숫자는 100m 높이에서의 풍속(단위: m/s), 고도변환 높이(단위: m)이다.

또한 Fig. 6에 관측 지점별로 연평균에너지밀도와 지점별 관측높이를 표시하였다. Fig. 7에는 관측 지점별로 가장 많은 에너지를 생산할 수 있는 최적터빈 및 연간에너지 생산량, 설비이용률을 나타내었다. 연간에너지생산량을 계산하기 위해 Weibull 분포를 이용하였다. 그 결과 대체로 풍속이 7.15 m/s 이상인 지점에서는 Repower-5 MW의 터빈이 가장 많은 에너지 생산이 가능한 것으로 나타났으나 그 이하의 풍속에서는 G128-4.5 MW의 터빈이 유리한 것으로 나타났다. 그 이유로는 G128-4.5 MW 모델의 경우, 저풍속에서 비교적 높은 출력을 나타내고 있어 3~8 m/s의 풍속 출현이 높은 지점에서는 5 MW의 용량보다 4.5 MW의 용량이 더욱 유리한 것으로 판단된다.

또한, 비교적 발전에 유리한 10 m/s 이상의 풍속 출현이 높은 마라도, 거제도 및 포항의 설비이용률이 56.49%, 50.92%, 50.08%로 각각 산정되어 REpower사의 5 MW급 해상풍력발전기 설치 시 높은 설비이용률을 보이는 것으로 나타났다.

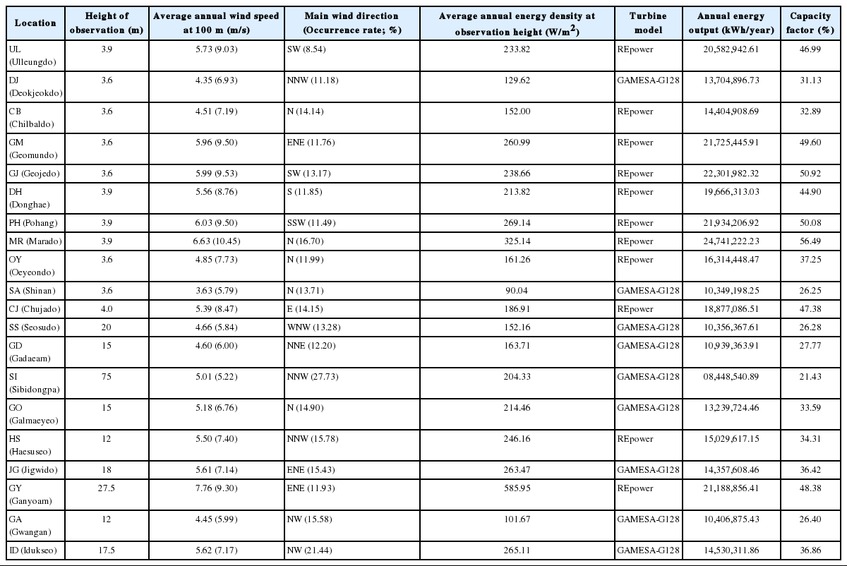
이상의 분석에서 나온 20개 관측 지점별 분석 결과를 Table 5에 정리하였다. 표에는 각 지점별 관측높이, 100 m 상공 연평균풍속, 주 풍향, 평균 에너지 밀도, 최적 터빈 모델, 연간에너지 생산량 등을 나타내어 향후 해상풍력 사업의 기초자료로 이용할 수 있도록 하였다.

Summary of offshore wind power potential

5. 결 론

본 연구에서는 해상풍력 발전단지 입지선정 및 선정과정에서 필요한 해상풍력 에너지 부존량 평가를 기 개발된 터빈을 대상으로 수행하였고, 그 결과는 향후 해양 공간 개발 계획 및 해상풍력발전단지 조성에 필요한 기초자료로 이용할 수 있도록 하였다.

분석 자료는 2014년 한국 연안 관측자료를 이용하였다. 기상청에서 제공하는 덕적도, 외연도, 칠발도, 신안, 추자도, 거문도, 거제도, 포항, 마라도, 동해, 울릉도의 11개 해양기상부 이자료와 국내 등표기상관측장비로 관측한 서수도, 가대암, 십이동파, 갈매여, 해수서, 지귀도, 간여암, 광안, 이덕서 9개 자료, 총 20개의 자료로 한반도 동해, 서해, 남해의 자료들을 포함하였다.

Fig. 4에 도시된 관측 지점별 주 풍향을 분석한 결과, 서해안은 북서계절풍에 의한 NW 계열이 주 풍향으로 나타났으며, 남해안은 NE 계열이 비교적 높은 빈도수를 보이는 것으로 나타났다. 동해안의 경우 동남해안은 NW 계열이, 동북해안은 SW 계열이 비교적 높게 출현하는 것으로 나타났다.

Fig. 5는 관측 높이별 연평균 풍속과 power law에 의해 100 m 높이의 풍속으로 고도 변환한 연평균 풍속을 도시하였다. 외해에 위치한 마라도의 연평균풍속이 10.45 m/s로 가장 높게 나타났으며, 남해와 동해 북부의 풍속이 비교적 큰 것으로 나타났다.

Fig. 6에 도시된 관측 지점별 연평균에너지밀도와 Fig. 7에 도시된 Weibull 분포를 이용하여 산정한 관측 지점별 최적터빈 및 연간에너지 생산량, 설비이용률을 분석한 결과, 대체로 풍속이 7.15 m/s 이상인 지점에서는 Repower-5 MW의 터빈이 높은 에너지 생산이 가능한 것으로 나타났으나 그 이하의 풍속에서는 G128-4.5MW의 터빈이 유리한 것으로 나타났다. 또한, 비교적 발전에 유리한 10 m/s 이상의 풍속 출현율이 높은 마라도, 거제도 및 포항의 설비이용률이 56.49%, 50.92%, 50.08%로 각각 산정되어 REpower사의 5 MW급 해상풍력발전기 설치 시 높은 설비이용률을 보이는 것으로 나타났다.

이상의 결과는 해상풍력발전 계획 시, 터빈 용량 결정 및 성능 확보에 중요한 정보로 활용될 수 있다. 또한 해상풍력 이해관계자들의 의견을 적극 반영하여 통합 풍력발전단지 운영을 가능케 하고 이로 인해 사업의 투명성 및 경제성을 향상시킬 수 있을 것이다.

Acknowledgements

본 연구는 에너지기술개발사업인 “해상풍력발전단지 해저 전력망 설치 및 운영 기술개발(과제번호: 20153010024550)”, 해양수산부 해양청정에너지기술 개발 사업인 “항로표지 등부표용 파력발전시스템 형상 최적화에 관한 연구(과제 번호: 20170323)” 그리고 한국해양과학기술진흥원 미래해양산업기술개발 해양중소벤처지원사업인 “콘크리트 쉬라우드를 이용한 조류 발전 시스템 연구(과제 번호: 20170122)”의 지원으로 수행되었습니다. 연구 지원에 감사드립니다.

References

Ahmed MA, Ahmad F, Akhtar MW. 2006;Assessment of wind power potential for coastal areas of Pakistan. Turk J. Phys 30:127–135.
Aynur U, Figen B. 2010;Assessment of wind power potential for turbine installation in coastal areas of Turkey. Renew Sustain Energy Rev 14:1901–1912.
Cliff WC. 1977. The effect of generalized wind characteristics on annual power estimates from wind turbine generators Battelle.
Coastal Development Institute of Technology. 2001. Technology manual of offshore wind power. CDIT. (In Japanese).
Ethiopian Resource Group. 2009. Diversity and security for the Ethiopian power system: a preliminary assessment of risks and opportunities for the power sector.
Garrad A. 1991. Wind energy in Europe: a plan of action, summary report of wind energy in Europe-time for action The European Wind Energy Association.
Higgins P, Foley A. 2014;The Evolution of Offshore Wind Power in the United Kingdom. Renewable and Sustainable Energy Reviews 37:599–612.
Hwang BS. 2010. An understanding of advanced wind turbines Korea, A-JIN: (in Korean).
International Energy Agency. 2013. Technology Roadmap-Wind energy. 2013 editionth ed. IEA. Paris: p. 1–53.
Ilinca A, McCarthy E, Chaumel JL, Retiveau JL. 2003;Wind potential assessment of Quebec Province. Renewable Energy 28:1881–97.
Irwanto M, Gomesh N, Mamta MR, Yusoff YM. 2014;Assessment of wind power generation potential in Perlis, Malaysia. Renewable and Sustainable Energy Reviews 38:296–308.
Ko DH, Jeong ST, Cho HY, Kim JY, Kang KS. 2012;Error analysis on the Offshore Wind Speed Estimation using HeMOSU-1 Data. Journal of Korean Society of Coastal and Ocean Engineers 24(5):326–332. (in Korean).
Ko DH, Jeong ST, Kang KS. 2015;Assessment of Offshore Wind Power Potential in the Western Seas of Korea. Journal of Korean Society of Coastal and Ocean Engineers 27(4):266–273. (in Korean).
Korean Meteorological Administration. 2015. http://www.kma.go.kr (in Korean).
Korean Meteorological Administration. 2007. Research Report for Development of Wind Resource Map (in Korean).
Köse R. 2004;An evaluation of wind energy potential as a power generation source in Kütahya, Turkey. Energy Conversion and Management 45:1631–1641.
Lee M-E, Kim G, Jeong S-T, Ko D-H, Kang K-S. 2013;Assessment of offshore wind energy at Younggwang in Korea. Renewable and Sustainable Energy Reviews 21:131–141.
Manwell JF, McGowan JG, Rogers AL. 2002. Wind energy explained:theory, design and application Amherst USA: John Wiley & Sons; 2002.
Mirhosseini M, Sharifi F, Sedaghat A. 2011;Assessing the wind energy potential locations in province of Semnan in Iran. Renewable and Sustainable Energy Reviews 15:2545–2556.
Mwanyika HH, Kainkwa RM. 2006;Determination of the power law exponent for southern highlands of tanzania. Tanzania Journal of Science 32:104.
Wind Europe. 2017. Offshore Wind in Europe, Key trends and statistics 2017.

Article information Continued

Fig. 1.

Cumulative and annual offshore wind energy installation in Europe.

Fig. 2.

Location map of measuring stations.

Fig. 3.

Plot of 7 turbine performance curves.

Fig. 4.

Main wind directions.

Fig. 5.

Annual average wind speeds (Unit: m/s (m), () is observation height).

Fig. 6.

Average annual energy density (Unit: W/m2 (m), () is observation height).

Fig. 7.

Optimal turbine and annual energy production, and capacity factor (Unit: kWh/year (%), () is capacity factor).

Table 1.

Summary of installed offshore wind turbines at Korea

No Completion date Total capacity (kW) Nos Installation location Manufacturer
1 2012.02 3,000 1 Jeju Wuoljeong Doosan heavy industries
2 2012.05 2,000 1 Jeju Wuoljeong STX heavy industries
3 2017.09 30,000 10 Jeju Hankyung Doosan heavy industries

Total 35,000 12

Table 2.

Basic information of wind stations

Observation equipment No Stations Longitude (N°) Latitude (E°) Height of wind vane/gauge (m)
Floating buoy 1 UL (Ulleungdo) 37°27′ 131°06′ 4.4/3.9
2 DJ (Deokjeokdo) 37°14′ 126°01′ 4.3/3.6
3 CB (Chilbaldo) 34°47′ 125°46′ 4.3/3.6
4 GM (Geomundo) 34°00′ 127°30′ 4.3/3.6
5 GJ (Geojedo) 34°46′ 128°54′ 4.3/3.6
6 DH (Donghae) 37°32′ 130°00′ 4.4/3.9
7 PH (Pohang) 36°21′ 129°46′ 4.4/3.9
8 MR (Marado) 33°04′ 126°01′ 4.4/3.9
9 OY (Oeyeondo) 36°15′ 125°45′ 4.3/3.6
10 SA (Shinan) 34°43′ 126°14′ 4.3/3.6
11 CJ (Chujado) 33°47′ 126°08′ 4.0

Light house AWS 12 SS (Seosudo) 37°19′ 126°23′ 20
13 GD (Gadaeam) 36°46′ 125°58′ 15
14 SI (Sibidongpa) 35°59′ 126°13′ 75
15 GO (Galmaeyeo) 35°36′ 126°14′ 15
16 HS (Haesuseo) 34°15′ 126°01′ 12
17 JG (Jigwido) 33°13′ 126°39′ 18
18 GY (Ganyoam) 34°17′ 127°51′ 27.5
19 GA (Gwangan) 35°07′ 129°08′ 12
20 ID (Idukseo) 35°34′ 129°28′ 17.5

Table 3.

Classification according to wind power density

Wind resource category Wind class Wind speed (m/s) Wind power density (V/m2)
Poor 1 3.5∼5.6 050∼200
Marginal 2 5.6∼6.4 200∼300
Moderate 3 6.4∼7.0 300∼400
Good 4 7.0∼7.5 400∼500
Excellent 5 7.5∼8.0 500∼600
Excellent 6 8.0∼8.8 600∼800
Excellent 7 Above 8.8 Above 800

Table 4.

Overview of 7 turbine performance

Model Rated output (MW) Cut-in wind speed (m/s) Cut-out wind speed (m/s) Rated wind speed (m/s) Type Power control
VESTAS-V63 1.5 4.5 25 16 HAWT Pitch
VESTAS-V100 1.8 3 20 12 HAWT Pitch
VESTAS-V110 2.0 3 20 12 HAWT Pitch
VESTAS-V112 3.0 3 25 13 HAWT Pitch
VESTAS-V126 3.3 3 22.5 12 HAWT Pitch
GAMESA-G128 4.5 3 27 12 HAWT Pitch
REpower 5.0 3.5 30 14.5 HAWT Pitch

Table 5.

Summary of offshore wind power potential

Location Height of observation (m) Average annual wind speed at 100 m (m/s) Main wind direction (Occurrence rate; %) Average annual energy density at observation height (W/m2) Turbine model Annual energy output (kWh/year) Capacity factor (%)
UL (Ulleungdo) 3.9 5.73 (9.03) SW (8.54) 233.82 REpower 20,582,942.61 46.99
DJ (Deokjeokdo) 3.6 4.35 (6.93) NNW (11.18) 129.62 GAMESA-G128 13,704,896.73 31.13
CB (Chilbaldo) 3.6 4.51 (7.19) N (14.14) 152.00 REpower 14,404,908.69 32.89
GM (Geomundo) 3.6 5.96 (9.50) ENE (11.76) 260.99 REpower 21,725,445.91 49.60
GJ (Geojedo) 3.6 5.99 (9.53) SW (13.17) 238.66 REpower 22,301,982.32 50.92
DH (Donghae) 3.9 5.56 (8.76) S (11.85) 213.82 REpower 19,666,313.03 44.90
PH (Pohang) 3.9 6.03 (9.50) SSW (11.49) 269.14 REpower 21,934,206.92 50.08
MR (Marado) 3.9 6.63 (10.45) N (16.70) 325.14 REpower 24,741,222.23 56.49
OY (Oeyeondo) 3.6 4.85 (7.73) N (11.99) 161.26 REpower 16,314,448.47 37.25
SA (Shinan) 3.6 3.63 (5.79) N (13.71) 90.04 GAMESA-G128 10,349,198.25 26.25
CJ (Chujado) 4.0 5.39 (8.47) E (14.15) 186.91 REpower 18,877,086.51 47.38
SS (Seosudo) 20 4.66 (5.84) WNW (13.28) 152.16 GAMESA-G128 10,356,367.61 26.28
GD (Gadaeam) 15 4.60 (6.00) NNE (12.20) 163.71 GAMESA-G128 10,939,363.91 27.77
SI (Sibidongpa) 75 5.01 (5.22) NNW (27.73) 204.33 GAMESA-G128 08,448,540.89 21.43
GO (Galmaeyeo) 15 5.18 (6.76) N (14.90) 214.46 GAMESA-G128 13,239,724.46 33.59
HS (Haesuseo) 12 5.50 (7.40) NNW (15.78) 246.16 REpower 15,029,617.15 34.31
JG (Jigwido) 18 5.61 (7.14) ENE (15.43) 263.47 GAMESA-G128 14,357,608.46 36.42
GY (Ganyoam) 27.5 7.76 (9.30) ENE (11.93) 585.95 REpower 21,188,856.41 48.38
GA (Gwangan) 12 4.45 (5.99) NW (15.58) 101.67 GAMESA-G128 10,406,875.43 26.40
ID (Idukseo) 17.5 5.62 (7.17) NW (21.44) 265.11 GAMESA-G128 14,530,311.86 36.86