Development of a Stability Formula for Tetrapod by Using M5' Model Tree

M5' Model Tree를 이용한 Tetrapod 안정식 개발

Article information

J Korean Soc Coast Ocean Eng. 2013;25(3):138-146
*Seung-Woo Kim, Coastal and Hydraulics Laboratory, US Army Engineer Research and Development Center, 3909 Halls Ferry Road, Vicksburg, MS 39180, USA. Tel: +1-601-946-5521, Fax: +1-601-634-3433, seungwookim76@gmail.com
Received 2013 February 16; Revised 2013 May 25; Accepted 2013 June 10.

Abstract

Tetrapod, one of the famous armor blocks for rubble mound breakwaters, has been widely used in the world. In order to evaluate the required weight of Tetrapod, many researchers have proposed various stability formulas. Since the stability formulas were proposed by curve-fitting the experimental data, some uncertainties are included in the formulas. The main uncertainties are associated with experimental data, derivation of the formula, and variability of the design variables. In this study, a new stability formula is developed by using M5' model tree, which reduces the uncertainty in the derivation of the formula. The index of agreement is used to evaluate the performance of the developed formula. The index of agreement for the new formula is higher by about 0.1 than the previous formula. The performance of the previous formula was not good when the predicted stability number is greater than about 3.0. However. the new formula is accurate regardless of the magnitude of stability number. As a result, the new formula performs better than the previous formula, while expressed in the form of a tree but still in an explicit form.

Trans Abstract

Tetrapod는 국내외에서 널리 사용되는 경사식 방파제의 대표적인 피복재이다. Tetrapod의 소요중량을 산정하기 위해 많은 연구자들이 다양한 안정식을 제안하였다. 기존 안정식은 수리실험자료를 곡선맞춤하여 산정하기 때문에 많은 불확실성을 포함하고 있다. 대표적인 불확실성은 실험자료의 불확실성, 안정식 산정방법의 불확실성, 그리고 확률변수의 불확실성이다. 본 연구에서는 안정식 산정 방법의 불확실성을 낮추기 위해 M5' model tree를 사용하여 Tetrapod의 안정식을 개발하였다. 개발된 안정식의 예측능력을 평가하기 위해 일치지수를 사용하였으며, 새 안정식은 여러 가지 모델에서 기존 안정식보다 약 0.1 정도 큰 일치지수를 보였다. 또한 기존 안정식은 안정수 3.0 이상에서 예측능력이 현격히 감소하는데 반해 새 안정식은 안정수의 크기에 관계없이 일정한 예측능력을 보였다. 결과적으로 새로 개발된 안정식은 예측능력이 우수할 뿐 아니라 기존 안정식과 유사하게 명시적인 공식으로 표현된다.

1. 서 론

Tetrapod는 국내외에서 널리 사용되고 있는 경사식 방파제의 피복재이다. 경사식 방파제는 케이슨 방파제와 다르게 설계가 간단하고 시공 또한 용이하다. 하지만 피복재의 중량과 상호 결합만으로 파랑에 저항하기 때문에 설계중량을 신중하게 산정해야 한다. 물론 어느 정도 피해를 허용하는 유연성이 있지만 수 십 년 이상인 설계수명(예, 보통 50년) 동안에 구조물의 기능을 수행하려면 정도 높은 중량 산정식이 필요하다. 일반적으로 피복재 중량은 수리실험자료를 곡선맞춤하여 산정한 경험식으로 산정된다. 1950년대에 Hudson(1959)에 의해 시도된 이 방법은 지금까지 많은 연구자들이 사용하고 있다(Van der Meer 1988; Hanzawa et al. 1996; De Jong 1996; Suh and Kang 2012a). 이와 같은 방법으로 산정된 피복재의 안정식에는 여러 가지 요소의 불확실성이 존재한다. 대표적인 것으로는 수리실험 자료의 불확실성, 안정식의 산정 방법에 대한 불확실성, 그리고 안정식에 포함된 확률변수의 불확실성이 있다. 이런 불확실성을 정량적으로 예측하여 낮추지 못하면 안정식의 신뢰도는 낮아지게 되며 구조물은 과소 혹은 과대 설계된다. 앞에서 언급한 여러 가지 불확실성 중에서 안정식 산정 방법의 불확실성에 대한 연구가 상대적으로 적다. 특히, Suh and Kang(2012a)이 가용한 과거의 실험자료를 포함하여 곡선맞춤 방법으로 제안한 안정식은 파고가 크고 지속시간이 긴 폭풍파에 대하여 경사가 급한 구조물을 설계할 경우 안정수를 과대 산정하는 경향이 있다. 이는 수리실험자료의 불확실성의 문제도 있지만 안정식 산정 방법의 문제가 더 크다고 판단된다. 따라서 본 연구에서는 안정식 산정 방법에서 발생하는 불확실성을 낮추는 데 초점을 맞추고자 한다.

최근 곡선맞춤 방법의 한계를 극복하기 위해 소프트웨어 공학기법(혹은 Machine learning)이 소개되고 있다. 이 방법은 수학적 모형으로 정의하기 어려운 공학문제를 다루기에 용의하며 입력변수와 출력변수 사이에 존재하는 관계를 자료의 특성에 기초하여 밝혀낸다. 해안공학 분야에서 많이 사용되고 있는 방법은 인공신경망(Artificial neural network), Fuzzy-logic, 그리고 M5' model tree가 있다. 특히, 인공신경망은 피복재의 안정수 예측 뿐 아니라 파고, 풍력, 월파 그리고 표사부유 등 많은 분야에 적용되고 있다(Kim and Park 2005; Günaydin 2008; Singh et al. 2007; Van Gent et al. 2007; Yoon et al. 2013). 하지만 인공신경망과 Fuzzy-logic은 입력변수와 출력변수의 관계를 암시적으로 나타내기 때문에 기존 안정식같이 공식화되지 못한다. 기존 안정식에 익숙한 일반설계자들은 간단하게 적용할 수 있는 경험식과 같은 명시적 공식을 요구한다. 따라서 본 연구에서는 기존 안정식과 같은 명시적인 공식을 제안하면서 인공 신경망이나 Fuzzy-logic의 성능을 가지는 M5'model tree를 사용한다.

이와 같은 장점 때문에 M5' model tree는 최근 유의파고와 피복재 안정수 그리고 처오름높이 등의 예측에 활발하게 사용되고 있다(Etemad-Shahidi and Mahjoobi 2009; Etemad-Shahidi and Bonakdar 2009; Bonakdar and Etemad-Shahidi 2011; 김·서 2011). 본 연구에서 사용된 M5' model tree는 Quinlan(1992)과 Wang and Witten (1997)에 기초하여 개발된 Jekabsons(2010)의 M5PrimeLab을 사용한다. M5' model tree로 산정될 안정식은 각각 쇄기파와 권파로 각각 구분되어 제안될 것이다. 또한 예측된 M5' model tree의 안정식과 기존 안정식을 수리실험자료와 기존에 시공된 방파제의 설계자료를 사용하여 비교한다.

2. Tetrapod의 경험식

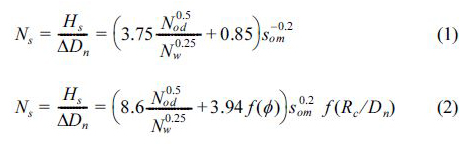
Van der Meer(1988)와 De Jong(1996)은 구조물의 경사 1:1.5에서 쇄기파(surging wave)와 권파(plunging wave)에서 각각 적용할 수 있는 경험식을 다음과 같이 제안하였다.

여기서 Ns는 안정수(stability number), Hs는 구조물 위치에서의 유의파고, Δ = ρsρw – 1(ρsρw는 피복재와 물의 밀도), Dn= V 1/3(V는 피복재의 부피), Nod는 방파제에 나란한 방향으로 Dn의 폭에서 이탈되는 블록의 평균개수로 정의되는 상대피해, Nw는 폭풍 시 파의 개수, som(=Hs/Lom)은 파형경사, Lom(=gT2m /2π) 은 평균주기 Tm으로 표현되는 심해파장, 그리고 Rc는 마루높이다. 특히, 식 (2)에서 f (φ)와 f (Rc/Dn)는 각각 피복재 거치밀도(packing density)와 마루높이를 고려할 수 있는 함수이며 다음과 같이 표현된다(De Jong 1996; Van der Meer 2000).

여기서 φ는 피복재 거치밀도이며 Dn2의 면적에서 평균적인 피복재의 개수이다(Na /A=φ /D2n ). 일반적인 경우에는 1.02를 사용하고 거치밀도가 낮은 경우에는 0.95와 0.88이 사용된다. Na는 피복재의 전체개수이고 A는 피복재가 거치되는 전체면적이다. φSPM은 USACE(1987)에서 제시하는 대푯값으로 Tetrapod는 1.04를 사용한다. 식 (3)은 피복재의 거치밀도에 따른 안정성의 변화를 분석하여 산정된 공식이며, 거치밀도가 낮을수록 안정성은 감소한다. 국내에서 피복재의 거치는 상당히 조밀하게 수행되기 때문에 f (φ)는 1.0을 사용할 수 있다. 또한 식 (4)는 마루높이가 피복재의 안정성에 미치는 양향을 경험식으로 제안한 것이며, 마루높이가 공칭직경의 2배 이상에서 f (Rc/Dn)은 1.0에 가까워진다. 이와 같이 마루높이가 높고 일반적인 피복재 거치밀도에서 두 함수는 모두 1.0이 되어 피복재의 안정성에 거의 영향을 주지 않는다.

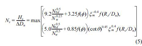
최근 Suh and Kang(2012a)은 다양한 구조물의 경사에서 적용할 수 있는 공식을 다음과 같이 산정하였다.

Suh and Kang(2012a)은 Van der Meer(1988)와 유사하게 마루높이가 높고 보통의 피복재 거치밀도에서 실험하였으며, De Jong(1996)이 제안한 두 효과를 차용하여 사용하였다. 여기서 ξm ( = tanθ / )은 쇄파계수(surf similarity parameter)이며 θ는 구조물의 경사이다. 또한 Suh and Kang(2012b)은 쇄기파와 권파를 구분하는 한계 쇄파계수를 위 식에서 다음과 같이 유도하였다.

ξmξmc보다 작으면 권파이고, ξmξmc보다 크거나 같으면 쇄기파이다.

앞에서 제안된 공식은 수리실험자료를 바탕으로 곡선맞춤 (curve-fitting) 방법을 사용하여 개발되었다. 실험자료를 사용하여 경험식을 만들 때 곡선맞춤 방법이 많이 사용되고 있지만 이와 같은 방법으로 산정된 경험식은 자료의 분산성을 표현할 수 없다. 더군다나 독립변수가 많고 각 변수 간의 관계가 복잡할 때에는 곡선맞춤 방법에 기초한 경험식은 종속변수의 예측 능력에 한계를 보인다(Suh and Kang 2012a). Figs. 12는 Suh and Kang(2012a)이 Table 1의 수리실험 자료를 사용하여 산정한 안정수와 경험식의 관계를 보여준다. 두 그림에서 보듯이 실험자료가 분산되어있고 특히 안정수의 관측치가 3.0~3.5 되는 부근에서는 경험식으로 예측된 값이 과대 산정되는 경향을 보인다. 이와 같이 곡선맞춤에 의한 경험식의 산정은 방법론의 한계가 있다는 것을 확인할 수 있다. 실험장비의 발달로 질 좋은 실험자료를 생산하더라도 경험식의 산정방법이 개선되지 않는다면 구조물의 안정성을 효과적으로 판단할 수 없게 된다. 따라서 곡선맞춤에 기초한 경험식의 정확성을 넘어설 수 있는 새로운 형태의 방법이 필요하다. 본 연구는 실험자료의 후처리 문제에 국한되며 실험자료 자체의 정확성에 대한 부분은 다루지 않는다.

Fig. 1

Comparison of stability number between measurement and prediction by Eq. (5) for all available data excluding low-crested breakwaters and lower packing density of De Jong (1996).

Fig. 2

Comparison of stability number between measurement and prediction by Eq. (5) for all available data including low-crested breakwaters and lower packing density of De Jong (1996).

Summary of experimental data for Tetrapod armor layer

3. M5' model tree에 의한 Tetrapod 안정식

3.1 M5' model tree

M5' model tree는 Quinlan(1992)이 처음으로 제안한 M5 model tree를 Wang and Witten(1997)이 재구성하고 개선한 것이다. 기존 M5 model tree에 비해 구조가 정밀하고 상대적으로 이해하기 쉬워졌다. 특히, 숫자로 나열된 자료와 결측자료를 효과적으로 다룬다. 초기의 M5 model tree는 regression tree의 단점을 보완하여 개발한 것이다. Regression tree는 최저 변위를 가지는 평균값으로 자료를 분할하지만 자료가 복잡하면 tree는 정확한 의사결정을 위해 아주 거대해지는 단점이 있다. 자료의 분할 이후에 발생하는 복잡한 tree(regression tree)를 M5 model tree에서는 다변량 선형모형(multivariate linear model)을 사용하여 tree를 간결하게 표현한다. 결국 M5를 개선한 M5' model tree는 복합하고 다양한 자료를 다루기 위해서 regression tree의 자료 분할 방법을 수용하면서 각각 분할된 집단을 다변량 선형모형으로 효과적으로 표현한 것이다. 또한 일반적으로 model tree가 regression tree보다 가지 수가 적고 예측 능력이 우수한 것으로 알려져 있다(Quinlan 1992).

M5' model tree의 구조는 tree의 성장(growing)과 전지(pruning) 그리고 다듬는 작업(smoothing)으로 구성되어 있다. 우선 tree의 성장은 가지가 여러 갈래로 나눠지는 것인데, 다음 식으로 표현되는 SDR(standard deviation reduction)이 최대치가 될 때 가지가 나눠진다(Quinlan 1992; Wang and Witten 1997).

여기서 T는 종속변수의 전체 표본 집합, Ti는 세부 구간으로 나누어진 종속변수의 하위 표본 집합, sd는 표준편차, | • |은 집합 원소의 개수로 표현되는 집합의 크기이다. 각 독립 변수의 구분은 종속변수의 SDR로 판단된다. 기본적으로 tree의 성장과정은 Breiman et al.(1984)의 regression tree와 유사하나 성장의 판단기준이 다르다. Tree는 성장할 때 자료를 과도하게 예측하는 불필요한 하부 나무(subtree)의 가지(node)를 가지게 된다. 우선, 성장된 각 하부 나무에서 선형모형을 수행하게 된다. 그리고 각 잎이 없는 가지는 나무의 바닥에서부터 시작하여 검토된다. Model tree는 이 가지의 최종 모형으로 선형모형(선형회귀모형)을 사용할지 아니면 하부 나무를 그대로 사용할지 결정하게 되며, 판단의 기준은 기대 오차이다. 만약 선형모형이 선택된다면, 이 가지의 하부 나무는 잘려나가게 된다. 이와 같은 과정을 거쳐 최종적인 세부 구간이 결정되면 각 구간의 다변량 선형함수가 결정된다. 마지막으로 다듬는 과정은 전지된 가지의 인접한 선형모델 사이에서 부득이하게 발생되는 불연속을 보완하기 위해서 이뤄진다.

본 연구에서는 Jekabsons(2010)이 개발한 M5PrimeLab이란 모델을 사용하였다. M5PrimeLab은 Wang and Witten(1997)과 Quinlan(1992)의 M5' 방법을 사용하여 Matlab으로 regression tree와 model tree를 모델링한 것이다. M5PrimeLab에는 6가지의 기능(m5pbuild, m5pparams, m5ppredict, m5ptest, m5pcv, m5pout)이 있으며 m5pbuild에서 model의 성장, 전지, 그리고 스무딩을 수행한다. 그리고 앞에서 만들어진 model에 기초하여 m5ppredict로 예측하게 되고 m5pout으로 구성된 tree를 볼 수 있다. Regression tree 혹은 model tree 등의 기본적인 parameter를 결정하는 m5pparams가 있고 m5pbuild에서 만들어진 model을 시험 및 검증하는 m5ptest와 m5pcv가 있다. M5' model tree는 선형함수만 적용할 수 있기 때문에 비선형함수로 표현되는 경우에는 입력과 출력에 대수(logarithm)를 취하게 된다. Tetrapod 안정식은 일반적으로 비선형함수로 표현되므로 입력 및 출력변수에 대수적 변환 후 M5' model tree를 적용할 수 있다.

3.2 M5' model tree의 모델수립

M5' model tree에서 Table 2와 같이 Model을 수립하였다. Model 1은 마루높이가 높고 일반적인 거치밀도를 가지는 실험자료만 포함하였고, Model 2에서 마루높이가 낮은 경우를 비롯한 모든 경우의 실험자료를 포함시켰다. Table 1에서 De Jong(1996)만 마루높이와 피복재의 거치밀도의 변화를 주면서 실험을 하였으며 나머지 연구자들은 높은 마루높이와 일반적인 거치밀도에서 실험을 수행하였다. 특히, De Jong(1996)의 실험에서 Rc/Dn ≤ 0.0 와 φ < 1.0인 경우는 38 가지이다. M5' model tree는 인공신경망과 유사하게 입력변수가 많을수록 예측능력이 우수한 것으로 알려져 있다. 이를 확인하기 위해 Models 1-2와 2-2에서는 쇄파계수 ξmsom, Hs 그리고 Tm 으로 분리하여 표현하였다. 하지만 실제 적용에서 너무 많은 입력변수는 도리어 복잡한 안정식 규칙을 산정할 수 있기 때문에 무조건적으로 입력변수를 늘리는 것은 공학적 적용성을 떨어뜨릴 수 있다.

Input parameters for various models of M5' model tree

우선, M5' model tree에서는 경험식과 다르게 권파와 쇄기파를 구분하지 않고 계산을 수행하였다. Table 3은 실험실에서 관측된 안정수 Ns(= Hs ⁄ ΔDn)와 Suh and Kang(2012a)의 경험식 및 M5' model tree로 예측된 안정수를 비교한 성능지표이다. 여기서 예측능력의 정도를 표현하기 위해 Willmott(1981)가 제안한 일치지수(Index of agreement)를 사용하였으며, 일치지수가 1.0에 가까울수록 예측능력이 우수하다. 전체적으로 Suh and Kang(2012a) 경험식의 예측능력이 M5' model tree의 예측능력보다 낮게 나타난다. M5' model tree는 Model에 관계없이 일치지수가 경험식보다 0.1 이상 크며, 특히 Model 1-2에서 가장 큰 일치지수인 0.988을 보였다. 또한 입력변수의 개수가 늘어날 때 좀 더 향상된 예측능력을 보이고 있는 것을 확인하였다.

Comparison of performance between Suh and Kang(2012a) formula and M5' model tree

위의 결과는 수리실험자료를 곡선맞춤하는 경험식을 개선할 방법이 있음을 단적으로 보여준다. 실험기자재와 관측방법의 발달로 양질의 실험자료를 취득하더라도 현재와 같은 방법을 사용한다면 예측능력이 우수한 안정식을 제안할 수 없게 된다. 그러나 소프트웨어 공학 기법 중 하나인 M5' model tree를 사용하여 안정식을 산정한다면 이를 극복할 수 있다. Figs. 34는 관측된 안정수와 M5' model tree로 예측된 안정수를 비교한 것이다. 2장의 Figs. 12에 비해 우수한 예측능력을 보여주고 있다. 특히, 안정수가 3.0~3.5 부근에서도 큰 변동성 없이 안정적인 예측능력을 보여준다. 하지만 Table 3에서와 같이 M5' model tree의 공식 개수가 경험식보다 상당히 많아 공학적 활용성이 다소 떨어질 것으로 판단된다. 이를 보완하기 위해서 식 (6)을 사용하여 Table 1의 모든 자료를 권파와 쇄기파로 구분하여 M5' model tree를 추가적으로 수립하였다. 여러 가지 Model 중에서 경험공식의 변수와 동일하게 수립된 Model 1-1을 선택하였다.

Fig. 3

Comparison of stability number between measurement and prediction by M5' model tree: (a) Model 1-1, (b) Model 1-2, (c) Model 2-1, (d) Model 2-2.

Fig. 4

Comparison of stability number between measurement and prediction by M5' model tree: (a) surging waves, (b) plunging waves.

Table 4는 Model 1-1에서 권파와 쇄기파로 구분된 자료의 개수, 공식의 개수, 그리고 일치지수를 보여준다. 쇄기파 조건의 실험자료가 권파 조건의 실험자료보다 약 두 배 정도 많다. 이는 실험실에서 파형경사가 큰 파랑을 조파하기 어렵기 때문이다. Figs. 45는 관측된 안정수와 M5' model tree로 예측된 안정수를 비교한 것이다. 관측된 안정수의 크기에 상관없이 M5' model tree가 안정수를 잘 예측하고 있다. 이를 정량적으로 분석하기위해 일치지수를 Table 4와 같이 계산하였고 쇄기파와 권파 조건에서 각각 0.943과 0.902로 산정되었다. Suh and Kang(2012a) 경험식에 비해 평균적으로 0.1정도 큰 일치지수를 보였다. 일치지수는 두 변수 사이의 선형성(linearity)만 표현하는 상관계수(correlation coefficient)와 달리 선형성과 일치성(coincidence)을 동시에 평가할 수 있는 지표이다. 일치지수는 0에서 1.0까지 나타날 수 있으며 1.0에 가까울수록 두 변수 사이의 선형성과 일치성은 커진다. 또한 파랑을 구분하지 않은 경우보다 규칙의 개수가 절반 이하로 줄어든 것을 확인할 수 있다. 비록 경험식에 비해 규칙의 개수가 많기는 하지만 경험식보다 예측능력이 우수하기 때문에 공학적이며 실무적인 가치가 충분하다고 판단된다.

Summary of Model 1-1 for surging and plunging waves.

Fig. 5

Comparison of stability number between measurement and prediction by M5' model tree for all wave conditions.

3.3 M5' model tree에 의한 안정식 산정

M5' model tree가 인공신경망이나 Fuzzy-logic 같은 소프트웨어 공학기법과 다른 것은 기존 경험식과 같이 명시적인 형태의 안정식을 제안할 수 있다는 것이다. 비록 경험식보다 규칙이 상당히 많지만 공학적 적용성 측면에서 충분히 사용 가능하다고 판단된다. Fig. 6은 권파 조건에서 산정된 M5' model tree의 안정식이다. 기존 경험식과 동일한 설계변수의 크기에 따라 tree를 따라가면 최종적인 Rule을 쉽게 찾을 수 있다. 한편, Fig. 7은 동일한 방법으로 쇄기파 조건에서 계산된 model tree이다. 권파 조건에 비해 규칙이 3개 정도 많지만 설계자들이 사용하기에 어렵지 않을 것이다.

Fig. 6

New stability formula developed by M5' model tree for plunging waves.

Fig. 7

New stability formula developed by M5' model tree for surging waves.

3.4 경험식과 M5' model tree의 안정식 비교

Figs. 89는 상대피해에 따라 경험식과 M5' model tree로 예측된 안정수 및 소요중량을 보여준다. Fig. 8은 파의 개수 1000, 구조물의 경사 1:1.5, 쇄파계수 5.0인 쇄기파 조건에서 경험식과 M5' model tree를 비교한 것이다. Suh and Kang(2012a)의 경험식보다 M5' model tree는 안정수를 작게 예측하고 있다. 안정수가 작을수록 중량은 크게 계산되기 때문에 M5' model tree로 산정된 피복재의 중량은 경험식보다 크다. 한편, 동일한 파의 개수와 구조물의 경사에서 권파조건이 되도록 쇄파계수를 2.5를 사용한 Fig. 9Fig. 8과 유사한 경향을 보이고 있다. 두 그림에서 볼 수 있듯이 경험식은 피해도의 변화에 따른 안정수 및 소요중량을 매끈한 곡선으로 표현하는 반면 M5' model tree는 급격하게 변화는 구간을 보인다. 이는 M5' model tree에서 규칙의 변화에 따라 안정수와 중량이 큰 폭으로 변화하기 때문이다. 하지만 매끈한 곡선으로 표현된 경험식은 실험자료의 불확실성을 포함할 수 없는 반면, M5' model tree로 산정된 안정식은 실험자료의 불확실성을 포함할 수 있다. 다시 말하면 기존 경험식으로 예측된 안정수와 중량은 실험자료의 고유의 특징이 반영되지 않은 결과이지만, M5' model tree로 산정된 안정수와 중량은 실험자료의 통계적 특성이 고려된 것이다.

Fig. 8

Comparison of stability number and required weight between Suh and Kang (2012a) formula and M5' model tree for surging wave condition.

Fig. 9

Comparison of stability number and required weight between Suh and Kang (2012a) formula and M5' model tree for plunging wave condition.

한편, Fig. 10은 파의 개수 1000과 상대피해 0.2에서 쇄파 계수를 2.0에서 6.0까지 0.1씩 증가시키면서 안정수와 소요중량을 산정한 것이다. 계산조건에서 권파 조건과 쇄기파 조건은 각각 23%와 77%를 차지한다. Suh and Kang(2012a)의 경험식은 쇄파계수에 따라 안정수와 중량이 크게 바뀌는 반면, M5' model tree는 안정수와 중량의 변동 폭이 작다. 경험식은 쇄파계수에 따라 아주 민감하게 중량을 산정하지만 M5' model tree는 상대적으로 안정적이다. 하지만 두 방법 모두 권파에서 쇄기파 조건으로 변경되는 경계에서 규칙이 달라지는 것을 볼 수 있다. 이는 M5' model tree가 쇄파계수의 크기에 따라 권파와 쇄기파를 구분한다는 것을 의미한다. 실제 설계에서 쇄파계수가 쇄기파와 권파의 경계 부근에 위치하여 판단이 어려울 때는 좀 더 보수적인 중량을 사용할 수 있을 것이다.

Fig. 10

Comparison of stability number and requiredweight between Suh and Kang(2012a) formula and M5' model tree for all wave conditions.

Fig. 11은 231개의 수리실험자료에 대하여 안정수와 소요 중량을 예측한 것이다. Suh and Kang(2012a)의 경험식에서 예측된 안정수는 3.5보다 큰 경우가 상당히 많다. 이는 Fig. 1에서 보듯이 실제 안정수보다 경험식이 안정수를 과대하게 산정하기 때문이다. 이로 인해 과소 산정된 중량을 Fig. 11(b)에서 쉽게 볼 수 있다. 경험식은 안정수가 큰 경우에 피복재의 중량을 과소 산정할 수 있기 때문에 실제 구조물의 설계에서 유의해야 한다. 한편, Fig. 12는 김 등(2012)의 우리나라 무역항 및 연안항의 185개 설계조건을 사용하여 경험식과 M5' model tree로 안정수와 중량을 예측하여 비교하였다. 권파와 쇄기파 조건은 각각 55개와 130개로 쇄기파 조건이 두 배 정도 많다. Fig. 12(a)의 예측된 안정수를 보면 경험식이 M5' model tree보다 넓은 범위에 분포되어 있다. 이는 앞에서 언급한 바와 같이 경험식으로 예측되는 안정수의 한계를 보여주고 있다. Fig. 12(b)는 중량을 비교한 것이며 y축의 스케일 때문에 자세하게 비교할 수는 없지만 전체적으로 비슷한 경향을 보인다. 하지만 자세히 보면 안정수의 크기에 따라 두 예측치가 달라지는 것을 알 수 있다. 안정수가 작은 일부 구간에서는(No. 125~135) 경험식이 M5' model tree보다 더 큰중량을 산정하였다. 한편, Table 5와 같이 경험식으로 예측된 안정수가 3.2 이상일 경우에서는 경험식이 M5' model tree와 실제중량보다 과소 산정하는 것을 확인할 수 있다. No. 29, 153, 그리고 155에서 M5' model tree는 실제 중량과 유사하나 나머지는 과소하게 산정하였고, 경험식은 모든 경우에서 실제 중량에 비해 과소하게 산정하였다. 실제로 많은 경우에 무역항과 연안항의 방파제 피복재의 중량을 과대하게 산정하는 경향을 고려한다면 경험식으로 산정된 중량은 상대적으로 더욱 작아졌을 것이다(김 등 2012).

Fig. 11

Comparison of stability number and required weight between Suh and Kang(2012a) formula and M5' model tree for physical model test data.

Fig. 12

Comparison of stability number and required weight between Suh and Kang (2012a) formula and M5' model tree for breakwaters constructed in Korea.

Comparison of stability number(Ns) and required weight(W) between the empirical formula and M5' model tree when Ns ≥ 3.2

앞에서 살펴본 바와 같이 경험식의 단점은 안정수가 큰 영역에서 예측능력이 현저히 감소하는 것이다. 또한 경험식은 실험자료의 평균적 특성만 반영하기 때문에 실험자료의 통계적 특성을 충분히 고려하지 못한다. 본 연구에서는 이런 단점을 소프트웨어 공학기법 중에 하나인 M5' model tree를 사용하여 해결하고자 노력하였다. 새로 개발된 안정식으로 기존 경험식에서 발견된 단점이 개선됨을 다양한 방법으로 보였다. 결과적으로 제안된 안정식은 실험자료의 통계적 특성이 반영되면서 예측능력이 우수한 명시적인 공식이다.

4. 결 론

기존에 제안된 Tetrapod의 안정식은 수리실험 자료의 불확실성, 안정식의 산정 방법의 불확실성, 그리고 안정식에 포함된 확률변수의 불확실성을 내포하고 있다. 이 중에서 본 연구는 안정식 산정 방법의 불확실성을 정량적으로 평가하고 낮추는 노력을 하였다. 기존 경험식은 수리실험자료를 곡선맞춤하여 산정하기 때문에 실험자료의 통계적 특성이 제대로 반영되기 어렵다. 이에 소프트웨어 공학기법 중 하나인 M5' model tree를 사용하여 실험자료의 특성이 잘 반영되면서 기존의 경험식과 같이 명시적으로 표현되는 안정식을 제안하였다. 개발된 안정식의 우수성을 증명하기 위해 일치지수를 사용했으며, 기존 안정식보다 대략 0.1 정도 높은 일치지수를 보였다. 또한 기존 안정식의 단점인 안정수가 3.0보다 클 때 예측정도가 급격하게 낮아지는 문제를 해결하였다. 끝으로 수리실험자료와 국내 무역항 및 연안항 방파제의 설계자료를 사용하여 두 방법을 비교 및 분석하였으며 새로 개발된 안정식이 안정적으로 Tetrapod의 중량을 산정하는 것을 확인하였다. 본 연구에서 제안하는 M5' model tree의 안정식은 각각 쇄기파와 권파로 구분되며 사용자의 편의를 고려해 Figs. 67과 같은 tree 형식으로 제안하였다. 향후 연구에서 안정수 및 파의 개수에 따라 실험자료를 구분하여 경험식 및 M5' model tree를 수행한다면 실험자료가 안정식에 미치는 영향 및 국내 해역에 적합한 실무적인 안정식을 산정할 수 있을 것이다.

Acknowledgements

본 논문은 서울대학교 BK21 안전하고 지속가능한 사회기반건설 사업단, 한국해양수산진흥원 ‘항만구조물 신뢰성 설계 기법 개발’ 연구과제(PM 48400), 그리고 2012년도 정부(교육과학기술부)의 재원으로 한국연구재단의 지원을 받아 수행된 기초연구사업입니다(No. 2012R1A6A3A03038355).

References

1. 김 승우, 서 경덕. 인공신경망과 M5' model tree를 이용한 Tetrapod 피복블록의 안정수 예측. 한국해안·해양공학회논문집 2011;23(1):109–117.
2. 김 승우, 서 경덕, 이 동영, 전 기천. 극치파고분포의 형상모수에 따른 Tetrapod 피복블록의 부분안전계수 산정. 대한토목학회논문집 2012;32(1B):59–69.
3. 해양연구원. 경사식 방파제의 최적설계 기술개발 (I). 2001..
4. Bonakdar L., Etemad-Shahidi, A. Predicting wave runup on rubble mound structures using M5 model tree. Ocean Eng 2011;38:111–118. 10.1016/j.oceaneng.2010.09.015.
5. Breiman, L., Friedman, J.H., Olshen, R.A., Stone, C.J. Classification and regression trees. Wadsworth, Belmont, CA 1984.;
6. De Jong, R.J. Wave transmission at low-crested structures. Stability of tetrapods at front. crest and rear of a low-crested breakwater. MSc-thesis, Delft University of Technology 1996.;
7. Etemad-Shahidi, A., Bonakdar, L. Design of rubble-mound breakwaters using M5' machine learning method. Applied Ocean Research 2009;31:197–201. 10.1016/j.apor.2009.08.003.
8. Etemad-Shahidi, A., Mahjoobi, J. Comparison between M5' model tree and neural networks for prediction of significant wave height in Lake Superior. Ocean Eng 2009;36:1175–1181. 10.1016/j.oceaneng.2009.08.008.
9. Günaydin K. The estimation of monthly mean significant wave heights by using artificial neural network and regression methods. Ocean Eng 2008;35:1406–1415. 10.1016/j.oceaneng.2008.07.008.
10. Hanzawa, M., Sato, H., Takahashi, S., Shimosako, K., Takayama, T., Tanimoto, K. New stability formula for wave-dissipating concrete blocks covering horizontally composite breakwaters. Proc. 25th Int. Conf. Coast. Eng 1996;:1165–1678.
11. Hudson, R.Y. Laboratory investigation of rubble-mound breakwaters. J. Waterw. Harbors Div., 85(WW3) 1959;:93–121.
12. Jekabsons G. M5' regression tree and model tree toolbox for Matlab. 2010, available at http://www.cs.rtu.lv/jekabsons, M5PrimeLab 2010;
13. Kim, D.H., Park, W.S. Neural network for design and reliability analysis of rubble mound breakwaters. Ocean Eng 2005;32:1332–1349.
14. Quinlan J.R. Learning with continuous classes. In: Adams. Sterling, editors. Proceedings of AI'92. World Scientific 1992;:343–348.
15. Singh, S., Bhatti, T.S., Kothari, D.P. Wind power estimation using artificial neural network. J. Energy Eng 2007;133(1):46–52. 10.1061/(ASCE)0733-9402(2007)133:1(46).
16. Suh, K.-D., Kang, J.S. Stability formula for Tetrapods. J. Waterw., Port, Coast. and Ocean Eng 2012a;138(3):261–266. 10.1061/(ASCE)WW.1943-5460.0000124.
17. Suh, K.-D., Kang, J.S. Stability formula for Tetrapod incorporating slope effect. Proc. 33rd Int. Conf. Coast. Eng., ASCE, Santander, Spain 2012b.;10.9753/icce.v33.structures.39.
18. U.S. Army Corps of Engineers (USACE). Shore Protection Manual. U.S. Army Corps of Engineers 1987..
19. Van der Meer, J.W. Stability of Cubes, Tetrapods and Accropods. Proc. of the Breakwaters '88 Conference; Design of Breakwaters, Institution of Civil Engineering, Thomas Telford, London, UK 1988;:71–80.
20. Van der Meer, J.W. Design of concrete armour layers. Proc. Coastal Structures '99, Balkema, Rotterdam, Netherlands 2000;:213–221.
21. Van Gent, M.R.A., Van den Boogaard, H.F.P, Pozueta, B., Medina, J.R. Neural network modeling of wave overtopping at coastal structures. Coastal Eng 2007;54:586–593. 10.1016/j.coastaleng.2006.12.001.
22. Wang, Y., Witten, I.H . Induction of model trees for predicting continuous classes. In: Proceeding of the Poster Papers of the European Conference on Machine Learning, University of Economics, Faculty of Informatics and Statistics, Prague 1997;:128–137.
23. Willmott, C.J. On the validation of models. Phys. Geogr 1981;2(2):184–194.
24. Yoon, H.-D., Cox, D.T., Kim, M. Prediction of timedependent sediment suspension in the surf zone using artificial neural network. Coastal Eng 2013;71:78–86. 10.1016/j.coastaleng.2012.08.005.

Article information Continued

Table 1

Summary of experimental data for Tetrapod armor layer

Experiment Number of data
High-crested breakwaters (Rc/Dn ≥ 2.0) & normal packing density (φ ≥ 1.02) All data
KORDI(2001) 7 7
Van der Meer(1988) 34 34
De Jong(1996) 70 108
Suh and Kang(2012a) 120 120
Total number 231 269

Fig. 1

Comparison of stability number between measurement and prediction by Eq. (5) for all available data excluding low-crested breakwaters and lower packing density of De Jong (1996).

Fig. 2

Comparison of stability number between measurement and prediction by Eq. (5) for all available data including low-crested breakwaters and lower packing density of De Jong (1996).

Table 2

Input parameters for various models of M5' model tree

Model Input parameters Remark
1-1 Nw, Nod, ξm, cot α φ ≥ 1.02
1-2 Nw, Nod, som, Hs, Tm, cot α Rc/Dn ≥ 2.0
2-1 Nw, Nod, ξm, cot α, f (φ), f (Rc/Dn) all data
2-2 Nw, Nod, som, Hs, Tm, f (φ), f (Rc/Dn)

Table 3

Comparison of performance between Suh and Kang(2012a) formula and M5' model tree

Method Model Index of agreement No. of rule
Suh and Kang (2012a) 1-1 0.832 2
2-1 0.844 2
M5' model tree 1-1 0.948 23
1-2 0.988 34
2-1 0.948 23
2-2 0.980 29

Fig. 3

Comparison of stability number between measurement and prediction by M5' model tree: (a) Model 1-1, (b) Model 1-2, (c) Model 2-1, (d) Model 2-2.

Fig. 4

Comparison of stability number between measurement and prediction by M5' model tree: (a) surging waves, (b) plunging waves.

Fig. 5

Comparison of stability number between measurement and prediction by M5' model tree for all wave conditions.

Table 4

Summary of Model 1-1 for surging and plunging waves.

Model Surging waves Plunging waves
Number of data for different authors Van der Meer(1988): 28
KORDI(2001): 7
De Jong(1996): 34
Suh and Kang(2012a): 89
Van der Meer(1988): 6
De Jong(1996): 36
Suh and Kang(2012a): 31
Total number of data 158 73
Number of rules 11 8
Index of agreement 0.943 0.902

Fig. 6

New stability formula developed by M5' model tree for plunging waves.

Fig. 7

New stability formula developed by M5' model tree for surging waves.

Fig. 8

Comparison of stability number and required weight between Suh and Kang (2012a) formula and M5' model tree for surging wave condition.

Fig. 9

Comparison of stability number and required weight between Suh and Kang (2012a) formula and M5' model tree for plunging wave condition.

Fig. 10

Comparison of stability number and requiredweight between Suh and Kang(2012a) formula and M5' model tree for all wave conditions.

Fig. 11

Comparison of stability number and required weight between Suh and Kang(2012a) formula and M5' model tree for physical model test data.

Fig. 12

Comparison of stability number and required weight between Suh and Kang (2012a) formula and M5' model tree for breakwaters constructed in Korea.

Table 5

Comparison of stability number(Ns) and required weight(W) between the empirical formula and M5' model tree when Ns ≥ 3.2

No. Hs(m) ξm Empirical
(Suh and Kang 2012a)
M5' model W(t)real
Ns W(t) Ns W(t)
29 5.27 1.40 3.30 5.02 2.10 19.34 12.5
63 1.47 3.51 3.38 0.10 2.71 0.20 5.0
136 1.28 10.63 3.65 0.05 2.71 0.13 8.0
138 1.24 7.07 3.73 0.05 2.71 0.12 8.0
153 3.51 1.57 3.32 1.45 2.49 3.44 3.2
155 5.09 1.44 3.44 3.98 2.49 10.49 12.5