파의 수평운동을 이용한 가동물체형 파력발전장치의 개발과 전력생산에 관한 수리실험

Development of a Moving Body Type Wave Power Generator using Wave Horizontal Motions and Hydraulic Experiment for Electric Power Production

Article information

J Korean Soc Coast Ocean Eng. 2016;28(2):73-80
Publication date (electronic) : 2016 April 30
doi : https://doi.org/10.9765/KSCOE.2016.28.2.73
*Ocean, Research and Development Division
**SEA TECH R&D Co. Ltd.
***School of Marine Technology, Chonnam National University, Yeosu, Chonnam 59626, Korea
황성수*, 이동수**, 양경욱***, 변정환***, 박일흠,***
*(주)오션 기술연구소
**씨테크 알엔디
***전남대학교 해양기술학부
Corresponding author: Il Heum Park, School of Marine Technology, Chonnam National University, Yeosu, Chonnam 59626, Korea, Tel: +82-61-659-7152, Fax: +82-61-659-7159, parkih@chonnam.ac.kr
Received 2016 February 5; Revised 2016 March 31; Accepted 2016 March 31.

Abstract

파의 왕복운동을 지속적인 일방향 회전운동으로 유도하여 발전기의 가동에 있어 기계적인 손실 에너지를 감소시켜 발전효율을 극대화시킬 수 있는 파의 수평왕복운동을 직접 이용하는 가동물체형 파력발전장치가 개발되었다. 그리고 실제 전력생산에 관한 수리실험이 수행되었고 그 결과가 토의되었다. 수리실험에서 부력 탱크의 형상에 따른 발전장치의 발전효율은 파력판의 무게를 충분히 지탱하는 직경 9cm의 고정식 부력 탱크가 평균발전효율 14.6%로 좋은 결과를 보였으며 효율이 좋을 것으로 기대되었던 부력 탱크가 자유로이 승강하는 경우는 발전효율이 8.5%로 좋지 못한 결과를 보였다. 그리고 여러 파랑조건에 따른 직경 9cm의 고정식 부력 탱크형 발전모형의 평균발전효율이 수심 90 cm에서 기어비 2단 3.9%, 3단 4.9%, 4단 4.9%, 5단 12%, 6단 10.0%, 7단 3.1%, 그리고 8단 3.0%를 나타냈으며, 수심 80 cm의 기어비 5단에서 15%의 발전효율이 계측되었다. 따라서 이 파력발전장치는 수심 80~90 cm의 기어비 5단에서 비교적 높은 13.5%의 평균발전효율을 얻을 수 있었다.

Trans Abstract

To reduce the mechanical energy loss and to get the high energy efficiency, an apparatus of wave power generation inducing a consistent one way rotating motion from the wave reciprocation motions was developed and the hydraulic experiments for the real electric power production were conducted and the results were discussed. In the experiments for the shape of the buoyant tank, the efficiency of the fixed 9 cm diameter type enduring the wave plate weight was 14.6% and this was the best result for all shapes. But although the free sliding type was expected to represent a high efficiency, the experiments did not show a good result as 8.5% efficiency. Therefore, the shape of buoyant tank was decided as the fixed 9 cm diameter type in the next all tests. In the experiments for the various incident waves, when the water depth was 90 cm, the average efficiencies were measured as 3.9% in the 2nd gear, 4.9% in the 3rd gear, 4.9% in the 4th gear, 12.0% in the 5th gear, 10.0% in the 6th gear, 3.1% in the 7th gear, and 3.0% in the 8th gear. Also, when the water depth was 80 cm, the average efficiency was shown as 15.0% with 5th gear condition. Therefore the high average efficiency as 13.5% was given with 80~90 cm water depth and the 5th gear in the model.

1. 서 론

파랑 에너지는 해양 에너지 중에서 모든 해역에 폭넓게 분포하고 부존량이 가장 많아 이를 이용하는 파력발전은 국내외적으로 활발히 연구되고 있는 분야이다(Song et al., 2004; Shin and Hong, 2013). 파력발전은 파랑의 위치 에너지와 운동 에너지를 전기로 변환하는 방식으로 소규모 발전도 가능하며 방식에 따라 발전장치는 방파적 활용도 가능하다. 파력 발전은 무한한 해양의 파랑운동을 이용하는 신재생 에너지이지만, 파랑이 주로 바람에 의해 발생하는 만큼 출력변동이 심하고 발전효율이 낮으며, 파랑하중을 장치가 직접 견뎌야 하는 파력발전의 특성상 내구성 제고기술 등이 필요하며, 초기 설치비용이 높으며 발전비용이 다른 재생 에너지보다 높은 단점이 있다. 앞으로의 과제는 현재 대부분의 파력발전이 13% 이하의 아주 낮은 효율을 갖는 한계점이 있는데 발전효율을 늘리고 설치비용을 낮추는 기술개발이 절실히 필요하다(Jung, 2011; KMI, 2011; Lee and Goo, 2013).

국내의 파력발전에 관한 연구는 1980년부터 기초조사가 시작되어 현재까지 연안역에 적용가능한 착저식 파력발전장치가 주를 이루고 있으며, 소형파력발전 부이를 비롯하여, 케이슨을 이용한 진동수주형, 수류형, 월파형, 진자형 등이 개발완료 혹은 개발 중에 있다. 파력발전에 관한 기술개발은 주로 한국해양과학기술원부설 선박해양플랜트연구소(KRISO)의 주관으로, 60 kW 부유식 진동수주형 파력발전장치 개발(Choi et al., 2004; Hong and Kim, 2004), 500 kW 고정식 진동수주형 파력발전 시스템 개발(Kyoung et al., 2006; Hong and Hong, 2010; Kim et al., 2012), 150W 등부표용 부유식 소형파력발전기 실해역 실증시험(Jo and Oh, 2011), 월파형 파력발전 기반기술 개발(Park et al., 2011), 250kW 나선암초형 월류파력발전 기술개발(Kim et al., 2010)이 진행되었으며, 2010년 8월부터 고효율에 파랑의 내구성을 확보할 수 있는 300 kW급 부유식 진자형 파력발전장치 개발이 시작되어 앞으로 대규모 파력발전 단지화에 이용될 단위장치가 확보될 것으로 예상된다(Shin and Hong, 2011). 그리고 최근에 비교적 파랑 에너지가 작은 해역에서 에너지 흡수효율을 높이기 위하여 고안된 공진형 파력발전 부이에 대한 연구(Cho and Kweon, 2011; Kweon et al., 2013b; Koh et al., 2013; Kweon et al., 2013c)가 활발한 편이며, Kweon et al.(2013a)은 우리나라 후포 연안에서 파력발전장치 설계를 위한 파랑을 분석하여 보고한 바 있다.

본 연구는 기존의 파력발전방식인 진동수주형, 해수면의 상하운동방식, 월류형방식 등과 다른 방식으로, 2013년 특허를 획득한, 천해의 수면 부근에서 파의 수평운동의 행정거리가 파의 상하왕복운동의 행정거리 보다 긴 점에 착안하여 파의 수 평왕복운동을 직접 이용하는 가동물체형 파력발전장치(SEA TECH R&D Co. Ltd., 2013)에 대해 실제 전력을 생산할 수 있는 실험실 규모의 모형을 제작하였다. 그리고 이 모형으로 전력생산에 관한 수리실험을 수행하였고 그 결과를 기술하였다. 이 파력발전장치는 파의 수평왕복운동을 클러치 베어링 세트, 파력판 및 부력 탱크 등으로 조합하여 직접 파력을 에너지로 변환할 수 있도록 하였고, 높은 발전효율을 얻기 위하여 파의 왕복운동을 항상 일방향운동으로 변환시켜 발전기가 항상 일방향으로 가동되도록 설계한 것이다. 따라서 본 파력발전장치의 개발과정에서 연구검토되는 내용은 향후 이러한 발전방식의 파력발전장치의 개발에 중요한 핵심기술로 축척되어 경쟁력이 있는 자료로 이용될 수 있으며, 실제 전력생산에 관한 수리실험을 수행한 본 연구는 추후 실해역에 실규모 장치의 설계, 제작 및 설치를 위한 원천기술이 될 것으로 기대된다.

2. 파력발전장치

2.1 장치의 구성 및 원리

Fig. 1과 같이 파력발전장치는 파의 수평운동이 가장 큰 해수면에 연직파력판이 접할 수 있도록 하는 부력 탱크, 직접 파력을 받아 좌우왕복운동하는 연직파력판, 원운동 중심축과 발전기지지대, 왕복운동하는 래크 기어로부터 일방향운동으로 변환하는 클러치 베어링과 피니언 기어 그리고 발전기를 포함한 해저면 고정을 위한 외형장치로 구성되어 있다. 이 파력발전장치는 ① 파랑의 수평왕복운동 →② 연직파력판의 수평왕복운동 →③ 암과 래크 기어의 왕복운동 →④ 클러치 베어링이 장착된 피니언 기어의 반대방향 회전 →⑤ 상하축에 고정된 피니언 기어의 일방향 회전유도 →⑥ 발전부 피니언 기어의 상시 일방향 회전 →⑦ 발전기의 전기발전의 과정으로 파 에너지를 전기 에너지로 변환시킨다.

Fig. 1.

Description of the wave power generation device (after SEA TECH R&D Co. Ltd., 2013).

기본적으로 두 방향 움직임인 파의 왕복운동을 일방향의 회전운동으로 변환시키는 것은 본 연구의 핵심기술로서, 파운동방향에 따른 양방향 회전운동이면 반드시 발생하는 회전방향전환을 위한 순간정지시에 파력발전장치 기계부의 운동량이 영이 되고 이에 따른 발전부의 발전량이 영이 되는 영운동(Zero Motion)을 본 장치는 극복할 수 있으므로 기계 및 전기 에너지의 손실을 최소화하여 파력발전의 효율을 극대화 할 수 있게 된다. 파의 왕복운동을 일방향운동으로 변환시키는 과정을 설명하면 다음과 같다. Fig. 2와 같이 클러치 베어링들(35, 35')에 연결된 피니언 기어들(34, 34')은 중심축의 직하방에 설치되어 회전작동대(32)의 길이방향 중앙에 위치한 래크 기어들(33, 33')과 각각 교합되어 래크 기어의 좌우수평이동위치에 따라 회전되며 클러치 베어링에 회전동력을 전달하게 된다. 클러치 베어링은 서로 반대방향으로 회전되어 교번적으로 회전동력을 중간 기어(37)에 전달하도록 구성된 것으로서, 래크 기어가 좌측으로 수평운동하면 제 1 클러치 베어링(35)만 회전하여 회전동력을 발생시키고 제 2 클러치 베어링(35')은 회전되지 않는 반면에 래크 기어가 우측으로 운동하면 제 1 클러치 베어링은 회전되지 않고 제 2 클러치 베어링은 회전하여 회전동력을 발생시키는 작용을 하게된다. 즉 래크 기어의 좌우운동시에 클러치 베어링들이 교번적으로 회전하면서 클러치 베어링의 동력전달 기어(36, 36')를 통해 중간 기어에 연속적으로 일방향으로 회전되는 회전동력을 출력시키게 된다. 이때 클러치 베어링의 동력전달 기어 사이에 중간 기어가 교합되어 있어서 서로 반대방향으로 회전되어 교번적으로 회전동력을 전달하는 클러치 베어링의 회전동력은 중간 기어에 의해 일방향으로 회전하는 회전동력을 출력하게 되며, 중간 기어는 이와 연동되게 한 발전부의 구동축을 회전시켜 연속발전이 이루어지도록 되어있다(SEA TECH R&D Co. Ltd., 2013).

Fig. 2.

One way rotation of gear and shaft sets (after SEA TECH R&D Co. Ltd., 2013).

2.2 모형의 제작

파력발전에 관한 본 연구에서 수행되는 실험특성을 고려하여 안정적인 전력을 생산하기 위해, 저 RPM, 저전압 및 저전류의 환경에 적합한 소형의 교류발전기인 모델 WPT-200-200R-24(Win Power Tech, 2013)가 제작되었다. 실험규모가 고려되어 발전기의 정격출력은 30W, 전압은 80V, 그리고 최대효율 RPM은 116으로 세팅되었다. 이 발전기만의 효율은 출력 토크 / 입력 토크 = 72%로 정격출력 토크는 2.37 Nm, 입력 토크는 실제 925Ω 부하시험시 발전기에서 측정된 값인 3.29 Nm이며, 발전기의 크기는 지름 244 mm와 높이 86 mm이며, 발전 방식은 Outer Rotor Position Type으로 제작되었다.

파력발전장치의 파력판에서 발생한 운동 에너지를 가장 효율적으로 발전기에 전달할 수 있는 기어비가 있을 것이기 때문에 기어의 종류와 제원, 파력을 직접 전달할 래크 기어의 적정길이, 모형의 크기 및 발전기의 크기 등을 고려하고, 작동할 때 기어와 축이 왕복운동을 하게 되므로 회전부의 질량을 최대한 낮추어 효율을 극대화하고 적절한 증속비를 찾기 위하여 표준기계설계도표편람(Oguri and Oguri, 2011)을 참조하여 변속 기어비가 다양하게 구성되도록 검토하였다. 그 결과, 기어 모듈 M = 1.5 그리고 부축간 거리 l = 105 mm로 하는 것이 가장 다양한 구성비를 구성할 수 있는 것으로 판단하여 실제 조립실험 등을 통해서 Table 1과 같이 활용가능한 여러 기어비를 구성하였다.

Gear ratio configuration in the model

지금까지 검토한 기어비, 발전기 및 실험조건을 고려하여, Fig. 3과 같이 높이 95 cm이고 폭 85 cm인 모형이 제작되었다. 이 본체의 재질은 SS400, 기어는 재질 S45C의 표준 기어가 사용되었고, 파력판은 전후 각 60도씩 2초 주기로 왕복 운동되어도 프레임 전체가 3축 방향으로 비틀림이 없는 구조적 강도를 갖도록 제작되었다. 그리고 파압을 직접받는 파력판은 높이 40 cm이고 폭은 80 cm이며, 재질은 수리실험임을 고려하여 아크릴로 제작되었다.

Fig. 3.

The schematic view for the model of the wave power generator.

3. 수리실험

3.1 수리실험시설 및 장비

수리실험에 사용된 2차원 조파수로는 전남대학교 해안항만 실험센터에 설치된 것으로 그 제원은 Fig. 4와 같이 폭 1.0 m, 높이 1.3 m 그리고 길이 50.0 m이다. 이 수로는 조파를 위해 서보 피스톤식의 조파기가 설치되어 파의 주기와 파고를 연속적으로 변화시킬 수 있어 규칙파 및 불규칙파의 조파가 가능하며 반사파 흡수식 제어가 가능하다. 그리고 수로 양쪽 끝 부분에 여러 겹의 다공성 물질을 채운 소파장치가 설치되어 있다. 또한 계측용 파고계는 반응속도가 빠르고 계측 오차가 작은 용량식 파고계가 사용되었으며 신호처리를 위해 16 Ch의 A/D 변환기가 이용되었고, 이때 Sampling Frequency는 20 Hz이다. 이번 수리실험에서 사용된 실험파는 구조물의 영향을 줄이기 위해 반사파흡수식 조파기능이 적용된 규칙파가 사용되었으며, 파력발전장치모형의 설치위치에서 실험파의 파고 및 주기는 Zero-upcrossing 법으로 분석되었다.

Fig. 4.

The schematic view of the hydraulic model and the wave tank.

수리실험에서 파력발전장치는 Fig. 4와 같이 수조의 좌측단에서 25.5 m 떨어진 수조의 중심부에 설치되었다. 실험에 사용된 수심은 수조 높이가 1.3 m인 것이 고려되어 수심 h = 90 cm와 h = 80 cm의 두 가지이며, 발전장치의 기어비는 증속률이 거의 없는 최저단인 1단과 파력장치에 과부하를 주는 최고단인 9단의 기어비를 제외한 2~8단의 7가지 기어비에 대해 제작된 발전장치모형의 발전효율이 측정되었다. 그리고 사용되는 수심에 따라 파력판의 크기는 h = 90 cm인 경우 폭 WP = 80 cm 높이 HP = 40 cm, 그리고 h = 80 cm인 경우 WP = 80 cm, HP = 30 cm로 제작되어 사용되었다.

그리고 발전장치내의 발전기를 통해 생산된 전력량은 HPM-300A(AD Power Co., Korea)의 전력계측기가 사용되어 측정되었다. 발전기에서 발생한 교류전력은 AC-DC 변환기를 거쳐 직류전력으로 변환된 값으로 계측되어 컴퓨터에 저장되었으며 이때 전력계측을 위한 전기저항은 발전기 제작시 최적화된 값인 925 Ω이 사용되었다.

한편, 해수단면을 단위폭당 통과하는 파의 주기평균된 단위시간당 파 에너지의 수송률인 파의 동력 W는 다음과 같다(Dean and Darlymple, 1991).

(1) W=1Thηtt+Tpudtdz=Ecg

여기서, T는 파의 주기, η는 자유수면, t는 시간, p는 압력, u는 파의 진행방향 유속, z는 연직상방축, E는 파의 에너지밀도 그리고 cg는 파의 군속도이다. 따라서 계측된 파고와 주기로부터 파의 에너지 밀도와 군속도가 선형파이론으로 계산되면 조파된 파가 발전장치의 파력판에 전달시키는 파의 동력이 산정될 수 있으며, 이 값은 추후 파력발전장치의 효율을 계산하기 위한 입력 값으로 사용된다.

3.2 부력탱크의 실험

본격적인 파력발전장치의 발전효율의 계측에 대한 실험에 앞서, 발전장치의 파력판 상단에 장착되는 부력 탱크의 형상이 발전효율에 미치는 영향을 파악하기 위하여, 장착되는 부력 탱크가 ① 파력판 고정식의 지름 d = 9 cm(부력 탱크가 파력판의 무게를 충분히 지탱함)의 경우, ② 파력판 고정식의 d = 4.5 cm(부력 탱크가 파력판의 무게를 충분히 지탱하지 못함)의 경우와 이 2가지 파력판 고정식의 부력 탱크 조건 이외에 ③ 부력 탱크를 아예 제거한 경우와 ④ d = 9 cm의 부력 탱크가 15 cm의 범위에서 자유로이 상하이동이 가능한 경우에 대해 발전효율이 검토되었다. 이 때 예비실험을 통해 이미 5단의 기어가 효율이 좋았던 것이 감안되어 5단의 기어 조건에 대해 Table 2와 같이 총 12 Case에 대해 실험이 수행되었다. 한편 Table 2에 제시된 파고와 주기는 파력발전모형이 없을 때의 실험설정파로 파력발전모형이 설치되어 계측된 파고와 주기는 Case 별로 약간 다를 수 있다.

Experimental conditions for the buoy tank types

부력 탱크의 형상을 달리한 4 Type의 조건에 대해 각각 3 종류의 파랑조건을 부가하여 발전장치의 발전효율을 실험한 결과는 다음과 같다. Fig. 5와 같이 부력 탱크의 형상이 ①인 경우 평균발전효율 14.6%, ②인 경우 평균발전효율 6.1%, ③인 경우 평균발전효율 5.5%, 그리고 ④인 경우 평균발전효율이 8.5%로 측정되었다. 이상과 같이 ①의 경우 평균발전효율이 14.6%로서 가장 좋은 결과를 보였으며, 실험전 가장 효율이 좋을 것으로 기대되었던 ④의 부력 탱크가 자유로이 승강하는 경우는 발전효율이 8.5%로서 ①의 경우 보다 좋지 못한 결과를 보였다. 그리고 ②와 같이 부력 탱크의 직경이 작거나 ③과 같이 부력 탱크가 아예 없어서 부력 탱크의 부력 효과가 적거나 없는 경우는 대체로 좋지 못한 발전효율을 보였다. 따라서 이후의 모든 실험은 ①과 같이 d = 9 cm의 부력 탱크를 파력판에 고정한 조건으로 실험을 수행하였다.

Fig. 5.

Average efficiencies of the wave power generator by the buoyant tank types.

한편 ①과 같이 부력 탱크의 부력이 커서 부력 탱크가 항상 수면 쪽으로 향하려고 하는 경우 ②와 ③의 그렇지 않은 경우에 대해 실험하여 ①의 경우가 보다 좋은 발전효율을 얻을 수 있었다. 이러한 이유는 ①의 경우 부력의 작용으로 파력판이 정수면에 대해 직각방향으로 돌아가려는 힘이 작용할 것이며, 이에 따라 ②와 ③의 경우 보다 파력판이 정수면에 대해 조금이라도 직각방향으로 더 세워지게 되면 파 에너지를 흡수할 수 있는 파력판의 투영단면적이 커지기 때문에 발전효율이 보다 좋았던 것으로 판단할 수 있었다. 그리고 부력 탱크의 상하이동이 자유로운 ④의 경우 발전효율이 좋지 못했던 원인은 파의 위상에 대한 매 순간의 수위에 따라 부력 탱크가 원활하게 상하이동되어 파력판이 파 에너지를 원활하게 흡수해야 좋은 발전효율을 얻을 수 있을 것인데, 파의 위상별로 부력 탱크의 이동이 지연되어 부력 탱크의 운동이 파운동에 대해 위상차를 가지거나 미상의 원인으로 인해 아예 부력 탱크가 상하이동되지 못하는 상황이 발생하곤 하였다. 이로 인해 파 에너지를 충분히 흡수해야 할 파력판이 오히려 파운동과 엇박자를 내면서 하중으로 작용한 것이 주 원인이었던 것으로 추정할 수 있었다.

3.3 발전장치효율의 실험

3.2절의 부력 탱크에 대한 실험결과로부터 가장 효율이 좋은 조건인 d = 9 cm의 파력판에 고정된 부력 탱크일 때에 대해 여러 가지 기어단, 수심조건 및 파랑조건에 대한 발전장치의 발전효율에 대한 실험이 Table 3과 같이 수행되었다. 실험조건을 정리하면 h = 80 cm의 경우 5단의 기어비로 12 Case의 파랑조건에 대한 실험 그리고 h = 90 cm의 경우 2~8 단의 7가지 기어비로 72 Case의 파랑조건으로 총 84 Case의 다양한 조건에 대한 파력발장치의 발전효율에 관한 수리실험이 수행되었다. 수리실험시 각 Case 별 총 조파시간은 300초이며, 결과분석은 조파수로의 특성과 경험이 감안되고 반사파의 제어 및 입사파의 도달시간이 고려되어 조파개시 30초 후부터 90초까지 60초 동안의 연속자료가 사용되었다.

Experimental conditions for the dfiiciency of the wave power gnerator

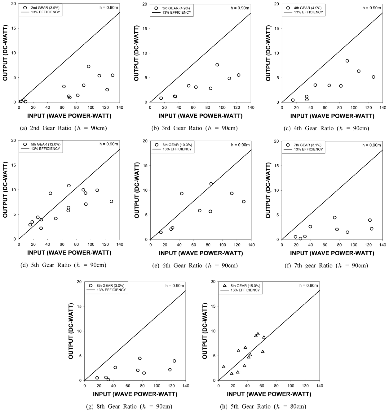
Fig. 6의 (a)~(g)는 h = 90 cm에서 WP = 80 cm와 HP = 40 cm의 파력판과 d = 9 cm의 고정식 부력 탱크를 장착한 파력발전장치를 2~8단의 7개의 기어비에 대해 각 기어비별로 9~15 Case에 대한 발전효율을 계측한 결과이다. 60초 동안 연속관측된 전력량에 관한 평균발전효율은 기어비 2단에서 3.9%, 3단에서 4.9%, 4단에서 4.9%, 5단에서 12%, 6단에서 10.0%, 7단에서 3.1%, 8단에서 3.0%를 나타내었다. 대체로 5단과 6단의 기어비에서 발전효율이 높았으며, 5단에서 13%에 근접하는 12%의 발전효율을 보였다. 한편 Fig. 6의 (h)는 h = 90 cm에서 가장 좋은 결과를 보였던 기어비 5단을 사용하여, 수심을 달리하여 h = 80 cm인 경우에 대하여 추가실험을 수행한 것이다. 그 결과 h = 80 cm이고 기어비 5단에서 15%의 발전효율을 얻을 수 있었다.

Fig. 6.

Average efficiencies of the wave power generator by various waves.

일반적으로 기어비가 클 수록 발전기에 가해지는 기계적 에너지가 커서 발전효율이 높을 것으로 기대되지만, 고단의 기어비일 수록 오히려 기계적 하중이 커지는 경향이 있다. 파력발전장치의 파력판에 가해지는 파력이 이 기계적 하중을 극복할 수 있으면 고단의 기어비에서 큰 용량의 전력을 얻을 수 있겠지만, 그렇지 못한 경우 주어진 파랑조건에 대해 높은 발전효율을 얻을 수 있는 적절한 기어비를 찾는 것이 중요하다. 본 연구의 실험결과를 살펴보면, 증속율 6.69~12.53인 6~8단의 기어비인 경우보다 증속률 6.26인 5단의 기어비에서 h = 90 cm인 경우 12% 그리고 h = 80 cm인 경우 15%의 최대발전효율이 계측되었다. 따라서 본 연구의 주어진 파랑조건에 대한 수리실험에서, 기어비 5단인 경우, 수심 80~90 cm에서 평균 13.5%의 상대적으로 높은 발전효율을 얻을 수 있었다.

4. 결 론

파의 왕복운동을 지속적인 일방향 회전운동으로 유도하여 발전기의 가동에 있어 기계적인 손실 에너지를 감소시켜 발전효율을 극대화시킬 수 있는 파의 수평왕복운동을 직접 이용하는 가동물체형 파력발전장치가 개발되었다. 그리고 실제 전력생산에 관한 수리실험이 수행되었고 그 결과가 토의되었다. 이상의 결과를 요약하면 다음과 같다.

부력 탱크의 형상에 따른 발전장치의 발전효율을 검토하기 위하여, d = 9 cm의 파력판 고정식 부력 탱크, d = 4.5 cm의 파력판 고정식 부력 탱크, 부력 탱크의 제거 그리고 d = 9 cm의 부력 탱크 상하이동식과 같이 4 Type의 부력 탱크의 형상조건에 대해 실험한 결과, d = 9 cm의 고정식 부력 탱크인 경우 평균발전효율 14.6%로서 가장 좋은 결과를 보였으며, 실험전 효율이 좋을 것으로 기대되었던 부력 탱크가 자유로이 승강하는 경우는 발전효율이 8.5%로서 좋지 못한 결과를 보였다.

d = 9 cm의 고정식 부력 탱크로 여러 가지 파와 수심조건에 대한 파력발전장치의 수리실험에서 h = 90 cm인 경우 평균발전효율은 기어비 2단에서 3.9%, 3단에서 4.9%, 4단에서 4.9%, 5단에서 12%, 6단에서 10.0%, 7단에서 3.1%, 8단에서 3.0%로 측정되었으며, 이중 기어비 5단에서 12%의 가장 좋은 발전효율이 계측되었다. 그리고 수심을 달리하여 h = 80cm인 경우 기어비 5단에서 15%의 발전효율이 계측되었다. 따라서 본 연구의 경우 주어진 파랑조건에 대한 수리 실험에서 증속률 6.26인 기어비 5단의 수심 80~90 cm에서 평균 13.5%의 상대적으로 높은 발전효율을 얻을 수 있었다.

본 파력발전장치의 개발과정에서 연구검토되는 내용은 향후 이러한 발전방식의 파력발전장치의 개발에 중요한 핵심기술로 축척되어 경쟁력 있는 자료로 이용될 수 있으며, 실제 전력생산에 관한 수리실험을 수행한 본 연구는 추후 실해역에 실규모 장치의 설계, 제작 및 설치를 위한 원천기술이 될 것으로 기대된다.

Acknowledgements

이 논문은 중소기업청에서 지원하는 2013년도 산학연협력기술개발사업(No. C0143534)의 연구수행으로 인한 결과물이며, 지원에 감사드립니다.

References

Cho I-H, Kweon H-M. 2011;Extraction of Wave Energy Using the Coupled Heaving Motion of a Circular Cylinder and Linear Electric Generator. Journal of Ocean Engineering and Technology 25(6):9–16. (in Korean).
Choi H-S, Hong S-W, Kim J-H, Lew J-M. 2004;An Experimental Study of Pneumatic Damping at the Air Chamber for an OEC-type Wave Energy Device. Journal of Ocean Engineering and Technology 18(4):8–14. (in Korean).
Dean RG, Dalrymple RA. 1991. Water Wave Mechanics for Engineers and Scientists. Advanced Series on Ocean Engineering-Volume 2 World Scientific. USA:
Hong DC, Hong K. 2010;Prediction of Wave Energy Absorption Efficiency and Wave Loads of a Three-Dimensional Bottom-Mounted OWC Wave Power Device. Journal of the Korean Society for Marine Environmental Engineering 13(1):47–52. (in Korean).
Hong SW, Kim JH. 2004;Experimenatal Study of a Compliant Mooring System for a Floating OWC Device of Offshore Catenary Moorings. Proceedings of International Society of Offshore and Polar Engineers 1:225–231.
Jo K-J, Oh J-S. 2011;Development of Small Wave Power Controller for Ocean Facilities. Journal of the Korean Society of Marine Engineering 35(6):835–841. (in Korean).
Jung HS. 2011. Tidal Power and Wave Power Generation. Iljinsa Blue Books 3 Iljinsa. (in Korean).
Kim BW, Shin S-H, Hong K, Choi YS, Seo JO, Ahn IJ. 2010;Investigation on Natural Modes of Substructure of Wave Energy Converter with Overtopping Flow Device. Tracsections of the Korean Society for Noise and Vibration Engineering 20(4):323–330. (in Korean).
Kim S-J, Kwon J, Kim J-D, Koo W, Shin S, Kim K. 2012;Experimental Study of Hydrodynamic Performance of Backward Bent Duct Buoy (BBDB) Floating Wave Energy Converter. Journal of Ocean Engineering and Technology 26(6):53–58. (in Korean).
KMI (Korea Maritime Institute). 2011. Global Competition for the Ocean Energy Development will Be Deepened Marine Industry Trend. No.54 (in Korean).
Koh H-J, Ruy W-S, Cho I-H. 2013;Power Estimation and Optimum Design of a Buoy for the Resonant Type Wave Energy Converter Using Approximation Scheme. Journal of Ocean Engineering and Technology 27(1):85–92. (in Korean).
Kweon H-M, Cho H, Jeong W-M. 2013a;Wave Analysis and Spectrum Estimation for the Optimal Design of the Wave Energy Converter in the Hupo Coastal Sea. Journal of Korean Society of Coastal and Ocean Engineers 25(3):147–153. (in Korean).
Kweon H-M, Cho I-H, Cho H. 2013b;Heaving Displacement Amplification Characteristics of a Power Buoy in Shoaling Water with Insufficient Draft. International Journal of Naval Architecture and Ocean Engineering 5:614–624.
Kweon H-M, Koh H-J, Kim J-R, Choi Y-H. 2013c;Experimental Study for the Resonance Effect of the Power Buoy Amplitude. Journal of the Korean Society of Civil Engineers 33(2):585–594. (in Korean).
Kyoung J-H, Hong S-Y, Hong D-C. 2006;Numerical Analysis on Wave Energy Absorption of OWC-type Wave Power Generation. Journal of Ocean Engineering and Technology 20(4):8–14. (in Korean).
Lee S-C, Goo J-S. 2013;Experimental study on Motions of VLCO for Wave Power Generation (2. Multiple Floating Bodies). Journal of Ocean Engineering and Technology 27(6):27–31. (in Korean).
Oguri F, Oguri T. 2011. Handbook of Standard Machine Design Diagrams Daekwang- seorim Press. 5th Editionth ed. Translated by Daekwangseorim Editors (in Korean).
Park JY, Shin S-H, Hong K. 2011;Experimental Study for Overtopping Performance and Control System of Overtopping Wave Energy Convertor. Journal of the Korean Society for Marine Environmental Engineering 14(1):11–18. (in Korean).
SEA TECH R&D Co. Ltd. 2013. Apparatus for Wave Power Generation the Registered Patent Korea, the Application No.1020130051226, the Registration No.1012872440000 (in Korean).
Shin S-H, Hong K. 2011;The State-of-the-art and Key Performance Indicators for Commercial Use of the Wave Energy Utilization Technologies. Journal of Korean Civil Engineers 59(5):55–62. (in Korean).
Shin S-H, Hong K. 2013;Ocean New Reproduction Energy - Challenge the Wave Power Generation. Ocean Science Technology 6KIMST,. :24–27. (in Korean).
Song MS, Kim DY, Kim M, Hong KY, Jun KC. 2004;Analysis of Wave Energy Density for Korean Coastal Sea Area Based on Long-Term Simulated Wave Data. Journal of the Korean Society for Marine Environmental Engineering 7(3):152–157. (in Korean).
Win Power Tech. 2013. A Drawing of the AC generator Model WPT-200-200R-24 Drawing No.WPT-200-200H.

Article information Continued

Fig. 1.

Description of the wave power generation device (after SEA TECH R&D Co. Ltd., 2013).

Fig. 2.

One way rotation of gear and shaft sets (after SEA TECH R&D Co. Ltd., 2013).

Fig. 3.

The schematic view for the model of the wave power generator.

Fig. 4.

The schematic view of the hydraulic model and the wave tank.

Fig. 5.

Average efficiencies of the wave power generator by the buoyant tank types.

Fig. 6.

Average efficiencies of the wave power generator by various waves.

Table 1.

Gear ratio configuration in the model

Gear 1st Ratio (Rack Gear) 2nd Ratio (Pinion Gear) 3rd Ratio (Bevel Gear) Accelerating Rate
1st 501/60 30/75 30/60 1.67
2nd 501/60 45/60 30/60 3.13
3rd 501/60 30/75 45/45 3.34
4th 501/60 52.5/52.5 30/60 4.18
5th 501/60 45/60 45/45 6.26
6th 501/60 30/75 60/30 6.69
7th 501/60 52.5/52.5 45/45 8.35
8th 501/60 45/60 60/30 12.53
9th 501/60 52.5/52.5 60/30 16.70

Table 2.

Experimental conditions for the buoy tank types

Water Depth Gear Ratio Buoy Tank Types Wave Heights & Wave Periods Total Cases Wave Plates
h =90cm 5th ① Fixed Buoy Tank (d = 9 cm)
② Fixed Buoy Tank (d = 4.5 cm)
③ Removed Buoy Tank
④ Movable Buoy Tank (d =9cm)
H = 20 cm & T =2.0s
H = 25 cm & T =2.5s
H = 30 cm & T =2.5s
12 Cases (3 Waves/Type) WP = 80cm & HP = 40cm

Table 3.

Experimental conditions for the dfiiciency of the wave power gnerator

Water Depths Gear Ratios Wave Heights Wave Periods Total Cases Wave Plates
h = 80cm 5th H = 20∼35 cm T = 1.5∼3.0 s 12 WP = 80cm & HP = 30cm

h = 90cm 2nd H = 10∼35 cm T = 1.0∼4.0 s 12 WP = 80cm & HP = 40cm
5th H = 10∼35cm T = 1.5∼3.0s 15
3rd ∼ 4th & 6th ∼ 8th H = 15∼35cm T = 1.5∼3.5s 45 (9 Cases/Gear)