An Analytical Solution of Dynamic Responses for Seabed under Flow and Standing Wave Coexisting Fields
흐름과 완전중복파와의 공존장하에서 해저지반내 동적응답의 해석해
Article information
Abstract
An analytical solution of dynamic responses for seabed in shallow, finite and infinite thicknesses has been developed under flow and standing wave coexisting field at a constant water depth condition. To do this, based on the Biot's consolidation theory, the seabed is assumed as a porous elastic media with the assumptions that pore fluid is compressible and Darcy law governs the flow. The developed analytical solution is compared with the previous results and is verified. Using the analytical solution the deformation, pore pressure, effective and shear stresses of seabed are examined under various given values of flow velocity, incident wave period and seabed thickness. From this study, it is confirmed that the seabed response is quite different depending on consideration of flow, which causes changing period and length of incident and reflection waves.
Trans Abstract
일정수심상에서 완전중복파와 흐름이 공존하는 경우 얕은 두께를 포함하는 유한두께 및 무한두께의 해저 지반내에서 동적응답을 나타내는 해석해를 유도한다. 이 때, Biot의 압밀이론에 기초하여 해저지반은 투과탄성매체로, 간극유체는 압축성으로, 그리고 지반내 간극수의 흐름은 Darcy법칙으로 각각 가정된다. 도출된 해석해는 기존의 해석결과와의 비교·검토로부터 검증되며, 실제 계산에서는 흐름속도, 입사파의 주기 및 지반두께 등의 변화에 따른 지반변위, 간극수압, 유효응력 및 전단응력의 변동특성을 면밀히 검토한다. 이로부터 흐름이 존재하는 경우 흐름으로 인한 입사파와 반사파의 주기 및 파장의 변화로 인하여 흐름이 없는 경우의 지반응답과는 많은 차이를 나타낸다는 것을 확인할 수 있다.
1. 서 론
Biot(1941)는 투과매체에 탄성거동과 간극유체에 압축성 및 간극수의 흐름에 Darcy법칙을 고려한 3차원압밀이론을 제안하였다. 이후에 Yamamoto et al.(1978)와 Madsen(1978)은 파동으로 인한 해저지반내 파랑응답에 Biot(1941)의 3차원압 밀이론을 적용하여 미소진폭파, 진행파 및 무한깊이의 균질 지반이라는 제한된 조건하 해석해를 유도하였다. 또한, Tsui and Helfrich(1983), Maeno and Hasegawa(1987), Okusa(1985), Zen and Yamazaki(1990) 등은 진행파동으로 인한 해저지반 내 간극수압변동을 원형조건하 실험적으로 조사하였으며, 이러한 연구결과들은 이후 수치해석결과의 검증자료로 활용되었다.
근래, 무한두께의 해저지반상에서 2차원완전중복파동장에 관한 해석해(Tsai and Lee, 1994), 무한두께 혹은 유한두께의 지반을 대상으로 3차원파동장에서 단파정파(short-crested waves)에 관한 해석해(Hsu et al., 1993; Tsai, 1995; Jeng and Hsu, 1996), 진행파 혹은 완전중복파의 2차원파동장 및 유한 혹은 무한의 지반두께를 갖는 해저지반 모두에 적용가능한 임의반사율의 부분중복파동장에서 유한두께의 해저지반에 관한 해석해(Lee et al., 2014), 불포화지반에서 정현파, 크노이드파 및 고립파가 내습한 경우 지반내 동적응답을 鏡像法(method of images)으로 도출한 해석해(Liu et al., 2007), 고립파동장하에서 점토지반(muddy seabed)내 동적응답을 경상법으로 유도한 해석해(Park et al., 2008) 등이 제시되어 있다. 여기서, 상부의 파동장에서는 다양한 파동이론에 의한 해 석결과가 경계조건으로 부과되지만, 모든 해석해에 있어서 지반거동에는 Biot(1941)의 3차원압밀이론이 기초방정식으로 적용되고 있다.
한편, 파와 흐름과의 공존장에서 해저지반내 동적응답에 관한 해석해로는 진행파의 경우에 흐름이 지반응답에 미치는 영향을 평가한 Jeng et al.(2010)의 해석해 및 Stokes파에 기초한 비선형진행파의 경우를 대상으로 유사한 연구를 수행한 Zhang et al.(2013)의 해석해를 들 수 있다. 여기서, 파동과 흐름과의 공존장에 관한 전술한 두 연구사례에서는 흐름과 진행파의 진행방향이 동일한 경우에 파 주기가 길어지고, 반대인 경우에 짧아지는 단지 주기변화에 따른 지반응답의 변화 특성만이 나타난다.
본 연구에서는 기존의 해석법(Yamamoto et al., 1978; Madsen, 1978; Tsai and Lee, 1994; Lee et al., 2014; Jeng et al., 2010; Zhang et al., 2013)과 동일한 기법을 적용하여 지금까지 논의된 적이 없는 흐름과 완전중복파동장이 결합된 경우 하부의 해저지반내에서 간극수압, 유효응력 및 전단응력 등에 관한 해석해를 얕은, 유한 및 무한두께를 갖는 지반에 대해 각각 유도한다. 본 연구에서 제시되는 해석해의 타당성을 검증하기 위하여 흐름이 없는 경우에 완전중복파에 대한 해석해(Tsai and Lee, 1994) 및 진행파에 대한 실험결과(Chang et al., 2007), 그리고 흐름이 존재할 때 진행파에 대한 실험결과(Qi et al., 2012)와 비교·검토한다. 본문 중에서는 각각 얕은, 유한 및 무한두께의 해저지반에 대해 흐름속도, 입사파의 주기 및 지반두께 등의 변화에 따른 지반변위, 간극수압, 수평 및 연직유효응력, 그리고 전단응력의 변동특성을 면밀히 논의·검토한다.
2. 해석해
2.1 완전중복파동장의 해석
불투수층상에 유한두께 h의 토층을 갖는 해저지반과 그 위로 흐름과 완전중복파가 공존하는 유체장에서 좌표계는 Fig. 1 과 같다. 그림에서 흐름 U0는 입사파와 동일한 방향으로 (-)x 방향으로 진행하며, 따라서 반사파는 (+)x 방향으로 진행하는 것으로 정의된다. 이와 같은 유체장에 포텐셜이론을 적용하면 해저표면상에서 불투과경계조건, 자유수면에서 주어지는 운동학적 및 동역학적 경계조건, 그리고 Sommerfeld의 방사 조건을 모두 만족하는 Laplace방정식의 해인 속도포텐셜 Φ(x,z,t)는 다음의 식으로 표현될 수 있다.
여기서,
여기서, ω0는 흐름이 존재하지 않는 경우에 입사파 및 반사 파의 각주파수를 나타내며, 이는 식(2) 혹은 (3)에서 U0 = 0으로 고려한 경우에 얻어진다. ωi와 ki는 식(2)와 (4) 로부터, ωr과 kr은 식(3)과 (5)로부터 각각 산정될 수 있다.
이상과 같은 흐름과 완전중복파의 공존장에서 수면변동 η(x,t) 는 다음의 식으로 주어진다.
여기서, Re는 실수부를 나타내며, 흐름에 의해 입사파와 반사파에서 파수와 각주파수가 다소 증감하므로 수면형은 파군과 유사한 형태로 나타나게 된다.
다음으로, 해저지반내의 동적응답해석에 경계조건으로 적용되는 해저지반상 z = 0에서 유체동압 pd(x,t)는 Bernoulli 식으로부터 다음과 z = 0 같이 산정된다.
식(7)로부터 흐름이 해저지반내의 동적응답에 미치는 영향은 해저면상의 동압에서 주파수와 파수의 변화로 주어진다는 것을 알 수 있다.
2.2 지반응답해석
2.2.1 유한두께의 해저지반
유한두께 h를 갖는 해저지반이 수리학적으로 등방균질불 포화토로 구성되고, 또한 간극수의 운동은 Darcy법칙을 따 르는 것으로 가정된다. Biot의 압밀이론에 기초하면 (Verruijt, 1969) 압축성의 다공질매체에서 압축성간극유체 의 간극수압에 대한 2차원저류방정식은 다음과 같이 주어질 수 있다.
여기서, P는 파동으로 인한 지반내 간극수압, K는 흙의 투수 계수, n'는 흙의 간극률, ξ와 χ는 각각 x와 z방향의 지반변위, β는 공기를 포함하는 간극유체의 압축률로 간극유체의 유효체적탄성계수 V′의 역수로 주어지며, 유체 중에 공기가 전혀 포함되지 않은 순유체에 대한 체적탄성계수 V와의 관계는 다음의 식으로 주어진다.
여기서, Sr은 포화도, Pabs는 절대간극수압(100 kN/m2)을 각각 나타낸다.
한편, Biot(1941)의 다공질탄성이론으로부터 유효응력과 전단응력은 지반변위의 함수로 다음과 같이 나타난다.
여기서, σx′와 σz′는 각각 x와 z방향의 유효응력, G는 흙의 전단탄성계수, μ는 흙의 Poisson비이며, 흙의 탄성계수 E와의 사이에 다음의 관계식이 성립된다.
식(10)~ (12)를 지반내 힘의 평형방정식에 적용하면 다음의 관계식이 산정된다.
완전중복파와 흐름과의 공존장으로 인한 지반내에서 동적 응답을 표현하는 기초방정식은 전술한 저류방정식(8)과 힘에 관한 평형방정식(14) 및 (15)로 구성되며, 이로부터 해를 도출하기 위하여 해저지반표면 z = 0와 불투과층 z = –h에 다음과 같은 경계조건을 부과한다.
다음으로, 지반내에서 간극수압 P와 지반변위 ξ, χ에 관한 일반해가 다음의 식으로 표현될 수 있다고 가정한다.
여기서,
또한, 식(10)~(12)에 (18)의 관계를 고려하면 다음의 관계식도 성립된다.
여기서, 첨자 j가 i일 때는 입사파성분, 첨자 j가 r일 때는 반사파성분에 각각 대응한다(이하 동일).
식(18)에서 미지변수가 입사파성분과 반사파성분의 중첩으로 주어져 있고, 기초방정식(8), (14) 및 (15)가 선형편미분 방정식이며, 또한 경계조건식(16)과 (17)이 선형으로 주어져 있다는 것을 알 수 있다. 따라서, 모든 관계식에서 입사파성 분과 반사파성분을 각각 별개로 분리하여 해석하고 얻어진 결과를 선형중첩함으로서 요구되는 해석해를 산정할 수 있게 된다.
미지변수가 입사파성분에 대해서는 Pi, ξi, χi 이고, 반사파 성분에 대해서는 Pr, ξr, χr 로 각각 구성된다. 따라서, 기초방 정식(8), (14) 및 (15)에 식(18)을 적용하고, 다소 번잡한 계산과정으로부터 각각 입사파성분과 반사파성분에 대해 하나 의 미지변수에 관한 기초방정식을 얻을 수 있다. 여기서, 지반의 수평변위를 미지변수로 하여 기초방정식을 나타내면 다음과 같은 상수계수의 6계상미분방정식으로 나타난다.
여기서, Ωj는 다음의 식으로 정의된다.
여기서, cv는 불포화토에 대한 압밀계수로 다음의 식으로 정의된다.
6계상미분방정식(20)의 해는 상수계수를 갖는 일반 상미분방정식의 해법을 적용하면 다음과 같이 간단히 산정될 수 있다.
여기서, Ajm (j = i,r;m = 1~6)은 미정계수이며, 또한 δj는 다음과 같이 정의된다.
식(23)을 (8), (14) 및 (15)에 적용하면 다른 미지수 Pj와 χj에 관한 표현식을 얻을 수가 있고, 이 결과식에 경계조건 식(7), (16) 및 (17)을 대입하면 대수방정식의 상수계수 Ajm에 관한 2조(j = i,r)의 6원(m = 1~6)1차대수연립방정 식이 도출될 수 있다. 이러한 2조의 6원1차대수연립방정식에서 Ajm (j = i,r;m = 1~6)은 컴퓨터프로그램을 이용하면 간단히 산정될 수 있고, 이 결과를 식(10)~(12), (14), (15)에 적용하면 최종적으로 다음의 식(25)~(30)에 제시하는 수평유 효응력 σjx′(z), 연직유효응력 σjz′(z), 전단응력 τj (z), 간극 수압 Pj (z), 지반의 수평변위 ξj (z)와 연직변위 χj (z)가 각각 도출될 수 있다.
여기서, α(ir)는 j = i의 경우 α(ir) = 1, j = r 의 경우 α(ir)= -1 로 주어지는 계수이고, Φ 는 다음의 식으로 정의된다.
2.2.2 무한두께의 해저지반
흐름과 완전중복파와의 공존장하에서 무한두께를 갖는 해저지반의 경우는 이상의 관계식에 Aj3 = Aj4 = Aj6 = 0 의 결과를 대입하면 간단히 얻어지며, 따라서 식(23)에 상당하는 결과는 다음과 같이 표현된다.
2.2.1절에 기술한 전개과정과 동일하게 수행하면 결과적으로 입사파성분과 반사파성분에 관한 2조의 각 3원1차대수연립방정 식이 얻어지고, 이 또한 컴퓨터 프로그램으로부터 대수방정식의 상수계수 Ajm(j = i, r;m = 1,2,5)가 간단히 산정될 수 있고, 최종적으로 식(25)~(30)에 상당하는 결과는 다음과 같이 얻어진다.
3. 해석결과
3.1 기존 결과와의 비교
기존의 연구에서 흐름이 존재하지 않을 때를 대상으로 완전중복파에 대한 해석해(Tsai and Lee, 1994) 및 진행파에 대한 실험결과(Chang et al., 2007), 그리고 흐름이 존재할 때 진행파에 대한 실험결과(Qi et al., 2012)와 본 연구의 해석해를 비교·검토하여 본 연구의 타당성을 이하와 같이 검증한다.
3.1.1 완전중복파에 대한 해석해(무한두께, 흐름 없는 경우)
입사파와 동일한 파고와 주기를 갖는 반사파가 존재하지만, 흐름이 존재하지 않으므로 kj = ki = kr ≡ k, ωj=ωi=ωr≡ω, Ωj = Ωi = Ωr ≡ Ω 및 δj = δi = δr ≡ δ 로 나타낼 수 있고, 그리고 p0 ≡ ρgH ⁄ 2coshkd 로 나타낸다. 무한두께이므로 식(33)~(38)을 적용할 수 있다. 이러한 조건으로부터 균질등방지반내의 동적 응답을 산정한 본 연구의 해석결과와 동일한 조건하에 얻어진 Tsai and Lee(1994)의 결과를 비교한 것이 Fig. 2이다. 그림에서 파동조건은 수심 d = 45 cm, 파고 H = 5.0 cm, 주기 T = 1.0 s이고, 완전포화토에 대한 해저지반의 물성치는 투수계수 K = 1.2 × 10−4 cm/s, Poisson비 μ = 0.3, 간극률 n' = 0.38이며, 특히 간극수의 압축률 β와 흙의 전단탄성계수 G와의 곱이 Gβ = 0인 비압축성의 간극수를 적용한 결과이다. 여기서, Gβ = 0의 경우는 촘촘한 모래지반을 제외한 대부분의 흙에서 실질적으로 적용될 수 있다(Yamamoto et al., 1978). Fig. 2(a) 가 간극수압을, (b)가 수평 및 연직유효응력과 전단응력을 각각 나타낸다. 완전중복파동장이므로 간극수압은 위치 x/L (여기서, L은 입사파의 파장)에 따라 상이하고, x/L=0인 완전중복 파의 배(antinode)에서 z/L = 1/4인 마디(node)로 전이될수록, 그리고 연직깊이가 깊어질수록 감소하는 경향을 나타낸다. 수평 및 연직유효응력도 완전중복파의 배에서 마디로 전이될수록 감소하는 경향을 나타내지만, 연직깊이 z/L>-0.159의 범위에서는 증가하고, x/L = -0.159에서 최대치를 나타낸 이후에 감소한다. 여기서, 전단응력의 경우는 수평 및 연직유효응력과 동일한 값의 변화를 나타내지만, 마디에서 최대치를, 배에서 최소치를 각각 나타내므로 유효응력과는 위상차가 존재하며, 이러한 변화과정에서 본 해석결과는 Tsai & Lee(1994)의 결과와 완전히 일치하는 것을 알 수 있다.
3.1.2 진행파에 대한 실험치(유한두께, 흐름 없는 경우)
다음의 Fig. 3에 나타내는 결과는 Chang et al.(2007)의 실험결과와 본 연구의 결과를 비교한 것이다. 그림에서(L0는 흐름이 없는 경우 입사파의 파장으로 이하 동일) 본 해석해의 경우는 반사파가 존재하지 않는 진행파이므로 kr, ωr, Ωr 및 δr의 성분을 고려할 필요가 없고, 흐름이 존재하지 않으므로 kj = ki ≡ k, ωj=ωi ≡ ω, Ωj = Ωi ≡ Ω, δj = δi ≡ δ 및 p0 ≡ ρgH ⁄ 2coshkd 이다. 또한, 유한두께이므로 식(25)~(28)을 적용한다. 파동 및 지반조건은 H = 25 cm, d = 0.526m, T= 2.0 s, h = 0.6m, G = 10 7 N/m 2 μ = 0.12, K = 2.11 × 10 -3 m/s, n' = 0.48, 모래의 평균입경 d50= 0.22 mm, Sr= 1.0이다. 그림의 두 해석결과는 해저지반표 면상에서 무차원간극수압 |P| / p0 = 1 근방의 값을 나타내고, 본 해석해는 무차원연직깊이 z/L0가 깊어질수록 감소하는 경향을 나타내지만, Chang et al.(2007)의 실험결과는 불투수층 근방에서 무차원간극수압이 다시 약간 증가하는 경향을 나타낸다. 전체적인 변화과정에서는 두 해석결과가 합리적인 일치성을 나타내는 것으로 판단된다.

Comparison between this study and Chang et al.’s (2007) experimental results.
3.1.3 진행파에 대한 실험치(유한두께, 흐름 있는 경우)
흐름이 존재하는 경우 Qi et al.(2012)의 실험결과와 본 연구의 결과를 비교한 것이 다음의 Fig. 4이다. 그림에서 Qi et al.( 2012)의 실험결과는 mono-pile 주변에서 세굴심을 평가하기 위하여 수행된 실험데이터 중에 구조물로 멀리 떨어져 구조물의 영향을 받지 않는 위치에서 얻어진 데이터를 사용하여 도시한 것이다. 본 연구의 해석해는 3.1.2절에 나타낸 진행파 조건을 적용하였으며, 또한 흐름이 존재하므로 kj = ki, ωj = ωi, Ωj = Ωi 및 δj = δi 로 나타낼 수 있다. 흐름, 파동 및 지반조건은 U0 = 0.1m/s, H = 0.12m, d = 0.5m, T = 1.4 s, h = 0.5m, G = 10 7 N/m 2 , μ = 0.3, K = 1.88 × 10 -4 m/s, 간극비 e = 0.771( n′ = e ⁄(1 + e) 의 관계로부터 간극률 n′로 환산하 면 n′=0.435가 얻어진다), d50= 0.25 mm, d10= 0.21 mm, Sr= 1.0이다. 그림으로부터 실험데이터의 수가 충분하지 않지만, 무차원간극수압에 대한 두 해석결과는 연직깊이가 깊어질수록 감소하는 경향을 나타내며, 두 해석결과의 대응성은 타당한 것으로 판단된다.

Comparison between this study and Qi et al.’s (2012) experimental results.
3.2 해석결과
3.2.1 유한두께
이하의 그림에서 나타내는 결과들은 완전중복파동장에서 수심 d = 20 m, 입사파고 H = 1.0m, 흐름이 없을 경우의 입사 주기 T0= 15.0 s이고, 유한두께 h = 50 m를 갖는 균질등방지 반의 물성치는 완전포화토에 대해 투수계수 K = 1.0 cm/s, Poisson비 μ = 0.3, 간극율 n'=0.4, 간극수의 압축률 β와 흙의 전단탄성계수 G와의 곱이 Gβ = 0인 경우를 적용한 결과이며, 이 때 1/20 < h/L0= 0.253 < 1/2이므로 유한두께를 갖는 지반으로 판정된다.
먼저, 흐름속도 U0를 0 cm/s에서 150 cm/s까지 변화시킨 경우 t/T0= 0 때 수면변동의 공간분포를 나타낸 것이 Fig. 5이다. 그림으로부터 흐름속도가 없는 U0= 0 cm/s의 경우는 상· 하수면변동의 최대치가 2H인 완전중복파가 형성되고, 수평축에 따라 그의 값은 일정하게 유지되는 것을 확인할 수 있다. U0= 30 cm/s의 경우는 흐름에 의해 식(2)~(5)에 제시된 분산 관계식에 의해 입사파와 반사파의 주기와 파장이 변화되고, 흐름이 없는 경우를 기준으로 입사파는 큰 값을 가지는 반면에 반사파는 작은 값을 가지기 때문에 파군이 형성될 것으로 추정되며, 그림으로부터 이를 확인할 수 있다. 이러한 파군은 U0= 60 cm/s, 90 cm/s, 120 cm/s, 150 cm/s의 경우도 형성되지만, 흐름속도가 커질수록 입사파와 반사파의 주기와 파장에서 차이가 크게 되므로 파군의 파장은 짧아지고, 보다 불규칙적인 수면변동을 나타내는 것을 알 수 있다. 일반적으로 파군의 파장 Lg 는 다음의 식으로 주어질 수 있다(Dean and Dalrymple, 1984).
여기서, Δk 는 흐름에 의한 입사파와 반사파의 파수에서 그의 차이를 나타낸다.
흐름속도가 빨라지는 경우에는 흐름이 없을 때를 기준으로 입사파의 파장은 더 길어지고 반사파의 파장은 더 짧아지게 되므로 입사파의 파수는 더 작아지고 반사파의 파수는 더 커진다. 따라서, 두 파에서 파수의 차이가 더 커지게 되므로 식 (39)에서 파군의 파장 Lg 는 더 짧아지게 된다.
한편, 본 연구에서 대상으로 하는 흐름과 완전중복파와의 간섭이 발생될 수 있는 것은 연직직립구조물의 전면에서 형성되는 완전중복파동장에 조류 혹은 하구역 근방에서 하천류가 간섭하는 경우를 고려할 수 있다. 따라서, 조류의 경우 창조시에는 입사파와 조류가 동일한 방향으로, 반면 낙조시에는 반사파와 조류가 동일한 방향으로 각각 정의되며, 본 연구의 좌표시스템에서 낙조시는 흐름이 (-)값으로 적용될 필요가 있다.
일반적으로 흐름이 없는 완전중복파동장에서 간극수압과 수평 및 연직유효응력의 최대치는 배에서 발생되고, 이 위치에서 전단응력은 0으로 된다. 반면, 전단응력의 최대치는 마디에서 발생되고, 또한 여기서 간극수압과 수평 및 연직유효응력은 0으로 된다(Tsai and Lee, 1994; Lee et al., 2014). 흐름이 존재하는 경우에는 Fig. 5에 나타낸 바와 같이 흐름속도의 크기에 따라 배와 마디가 발생되는 위치가 변동되며, 항상 배가 형성되는 최소위치 x/L0의 값은 0이지만, (+)값을 갖는 마디의 최소위치 x/L0 의 값은 다음의 Table 1에 나타내는 바와 같이 흐름속도가 증가할수록 작아지는 경향을 나타낸다.
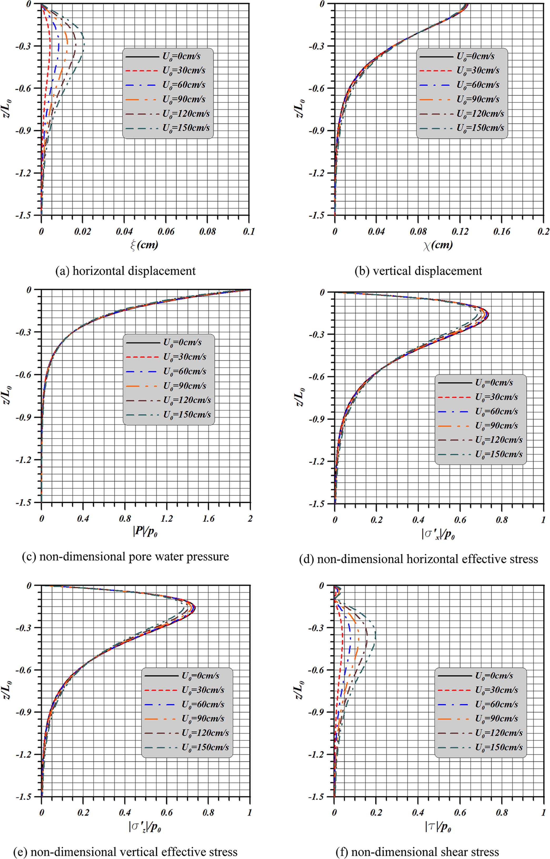
다음의 Fig. 6은 흐름속도를 U0=0 cm/s에서 150 cm/s로 변화시킨 경우에 x/L0 = 0 및 t/T=0의 조건하에 지반변위, 간극수압, 수평 및 연직유효응력, 그리고 전단응력을 나타낸 결과이다. 지반변위는 흙의 전단탄성계수가 매우 큰 값을 가지기 때문에 그의 값이 미소하다는 것을 알 수 있으며, 그리고 연직깊이가 깊을수록 줄어들고, 흐름속도가 증가할수록 수평변위는 증가하는 반면에 연직변위는 감소한다. 이러한 경향은 해저표면에 가까울수록 보다 명확하게 나타나고, 수평 변위가 연직변위보다 흐름속도에 보다 민감하다는 것을 알 수 있다. 다음으로, 간극수압, 수평 및 연직유효응력, 그리고 전단응력은 공통적으로 흐름속도가 증가할수록 감소하는 경향을 나타낸다. 흐름속도의 영향은 간극수압의 경우 전 연직깊이에서, 수평유효응력의 경우 해저지반표면에 가까울수록, 연직유효응력의 경우 최대치의 연직깊이 z ⁄ h ≈ –0.62의 근방에서, 전단응력의 경우 불투수층 z ⁄ h = –1에서 각각 크게 되는 특성을 나타낸다. 특히, 전단응력의 경우는 흐름속도의 크기에 관계없이 z ⁄ h ≈ –0.46에서 |τ| /p0 ≈ 0인 마디가 발생되고, z ⁄ h ≈ –0.2에서 극대치를 취하는 현상을 볼 수 있다.

Flow and standing wave-induced dynamic responses of seabed according to flow velocities under a given conditions of x/L0 = 0 and t/T0 = 0.
이상으로부터 흐름은 기본적으로 해저지반에 대해 수평방향으로 작용하므로 수평변위, 수평유효응력 및 전단응력에 상대적으로 큰 영향을 미치게 되고, 간극수압은 흐름에 의해 파장의 변화로 나타나기 때문에 해저지반의 전 깊이에 걸쳐 수평방향으로 평행이동되는 것과 같은 변동특성을 나타내는 것으로 판단된다. 또한, 흐름이 없는 경우에는 완전중복파의 배의 위치에서 전단응력은 |τ| / p0 = 0이지만, 흐름이 존재하는 경우에는 완전 중복파의 배에서도 전단응력이 발생된다는 것을 확인할 수 있다.
다음의 Fig. 7은 t / T0 = 0와 Table 1의 조건하에서, 그리고 Fig. 6과 동일한 파동 및 지반조건으로부터 산정된 전단응력의 연직분포를 나타낸 것이다. 그림으로부터 z ⁄ h ≈ –0.5를 중심으로 흐름속도가 증가할수록 상부에서는 증가하는 경향을, 하부에서는 감소하는 경향을 각각 나타내므로 전술한 Fig.8(f)와 같이 완전중복파의 마디에서도 흐름속도의 변화에 따라 전단력의 변화가 나타난다는 것을 확인할 수 있다. 또한, 이러한 흐름속도의 변화에 상부보다 하부가 더 민감하다는 것을 알 수 있다. 여기서, 지면관계상 결과를 제시하지 않지만, 흐름이 존재하는 경우 완전중복파의 마디에서도 간극수압과 수평 및 연직유효응력이 0으로 되지 않는다는 것을 부기하여 둔다.

Comparison of dynamic responses of seabed for the flow velocities of U0 = 0 cm/s and U0= 150 cm/s under a given condition of t/T0 = 0.
Fig. 8은 지반내 동적응답 변동을 2차원공간적으로 나타낸 것으로, U0=0 cm/s인 Fig. 8(a)와 U0=150 cm/s인 (b)의 비교로부터 흐름속도의 유무에 따른 차이를 알 수 있을 것이다. 먼저, 흐름이 없는 U0=0cm/s의 Fig. 8(a)를 살펴보면 x / L0 = 0 축을 중심으로 좌우가 완전히 대칭을 이루고 있으며, 간극수압과 수평 및 연직유효응력의 최대치는 x / L0 = -0.5, 0, 0.5에 서, 0값은 x / L0 = -0.25, 0.25에서 각각 발생하며, 이는 완전중복파동장에서 배와 마디에 각각 일치한다. 그리고, 최대치의 연직깊이는 간극수압의 경우 z ⁄ h = 0에서, 수평유효응력은 z ⁄ h = –0.2에서, 연직유효응력은 z ⁄ h = –0.65에서 각각 발생한다. 전단응력의 경우는 간극수압과 수평 및 연직유효응력의 경우와는 역으로 0값은 x / L0 = -0.5, 0, 0.5에서, 최대치는 x / L0 = -0.25, 0.25에서 각각 발생하며, 최대치의 연직깊이는 z ⁄ h = –1에서 발생하는 것을 알 수 있다. 다음으로, 흐름이 있는 U0 = 150 cm/s의 Fig. 8(b)를 살펴보면 모든 응답에서 x / L0=0 축을 중심으로 좌우가 완전한 대칭을 이루고 있는 것은 없는 것으로 나타난다. Fig. 8(a)와 대비하면 간극수압의 경우 최대치 사이의 수평거리가 좁고, 0값이 명확히 나타나지 않는다. 수평 및 연직유효응력의 경우도 최대치 사이의 수평거리가 좁으며, 최대치의 크기가 상대적으로 약간 작은 값을 나타난다. 전단응력의 경우 x / L0 = 0 축을 중심으로 좌우가 완전한 대칭은 아니지만, 다른 응답에 비교하면 거의 대칭적인 값의 변화를 나타내고, 최대치 사이의 간격이 좁으며, 최대치의 크기가 상대적으로 약간 작다는 것을 확인할 수 있다. 따라서, 흐름이 존재함으로써 지반내 동적응답의 최대치는 작아지고, 최대치 사이의 수평간격이 좁아지며, 전 연직깊이에서 동시에 0값을 나타내는 x / L0가 존재하지 않으며, 더불어 x / L0 = 0 축을 중심으로 좌우가 완전한 대칭을 이루지 않는다는 것이 공통적인 특징이다.
Fig. 9는 x / L0 = 0, t / T0= 0 및 Fig. 6과 동일한 파동 및 지반조건하에 일정한 흐름속도 U0= 100 cm/s에 대해 입사파 주기 T0를 변화시킨 경우에 산정된 지반의 동적응답을 나타낸 것이다. 간극수압은 T0의 감소와 더불어 전 연직깊이에서 감소하는 경향을 나타내며, 지반표면에서보다 불투수층에 가까운 지반저면에서 그의 변동이 크게 나타난다. 수평유효응력도 T0의 감소와 더불어 전 연직깊이에서 감소하는 경향을 나타내지만, 지반표면에서 보다 그의 변동이 크게 나타난다. 연직유효응력은 T0가 감소할수록 최대치가 발생하는 연직깊이가 보다 지반표면에 근접하는 결과를 나타내고, z ⁄ h ≈ –0.3을 기준으로 상부는 T0의 감소와 더불어 증가하며, 하부는 T0= 13 s까지 감소하다가 이후의 주기에서는 반대로 감소하는 특성을 나타낸다. 간극수압과 수평 및 연직유효응력에서 주기의 감소에 따른 이러한 변동특성는 주기 감소가 h / L0의 증가로 나타나고, 따라서 무한두께에 관한 지반특성에 근접하기 때문이다(Lee et al., 2014).

Flow and standing wave-induced dynamic responses of seabed according to wave periods under a given conditions of x/L0=0, t/T0=0 and U0= 100 cm/s.
전단응력을 나타내는 Fig. 9(d)의 경우 모든 주기에서 최대치는 해저지반의 저면에서 나타나고, 주기가 감소할수록 최대전단응력은 증가하는 경향을 나타낸다. 또한, 전단응력이 거의 0인 지점이 z / h=0 이외에도 존재하고, 이러한 연직깊이는 주기가 감소함에 따라 해저지반표면에 가까워지는 경향을 나타낸다. 여기서, 전단응력이 Fig. 7에서보다 상대적으로 작은값을 나타내는 것은 Fig. 6에서 기술한 바와 같이 기본적으로 완전중복파의 배 위치인 x/L0=0에서 산정되었기 때문 이며, 해석에서 흐름속도 U0= 100 cm/s를 적용하였기 때문에 0이 아닌 약간의 값을 가진 전단응력이 도출된 것이다.
Fig. 10은 9과 동일한 조건하에 지반두께 h를 변화시킨 경우에 간극수압과 수평 및 연직유효응력을 나타낸 것이다. 간극수압은 흐름이 존재하기 때문에 x / L0=0 및 t / T0=0의 경우에도 z / h=0에서 |P| / p0<2의 결과를 나타내며, 지반두께가 증가할수록 감소하는 결과를 나타낸다. 이러한 결과는 지반두께의 증가는 무한두께의 지반에 대한 특성에 가까워지기 때문이다(Lee et al., 2014). 수평유효응력은 지반두께가 증가 할수록 z / h=0에서 |σx′| / p0의 값이 0z에 접근하며, 최대치가 감소하고, 또한 그의 발생위치는 대략 z ⁄ h ≈ -0.28에 수렴하는 것을 볼 수 있다. 연직유효응력은 지반두께의 증가와 주기 T0의 감소가 거의 유사한 변동특성을 발생시킨다는 것을 Fig. 9(c)와 10(c)로부터 알 수 있으며, 역시 지반두께가 증가할수록 최대치의 발생위치가 대략 z ⁄ h ≈ –0.32에 수렴하는 것을 볼 수 있다. 후술하는 바와 같이 궁극적으로 무한두께의 해저지반에 가까워지는 경우 수평 및 연직유효응력은 동일한 값을 나타낼 것으로 추정된다(Tsai and Lee, 1994; Lee et al., 2014).

Flow and standing wave-induced dynamic responses of seabed according to seabed thicknesses under a given conditions of x/L0= 0, t/T0= 0, T0= 13 s and U0= 60 cm/s.
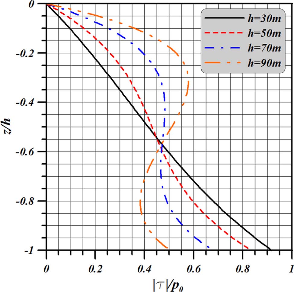
다음의 Fig. 11은 10과 동일한 파동 및 지반조건으로부터 산정된 전단응력의 연직분포를 나타낸 것으로, 수면변동 η = 0 인 Table 1에서 제시된 완전중복파의 마디 x / L0=0.2471에서 얻어진 결과이다. 먼저, z ⁄ h ≈ –0.57에서는 지반두께의 변화에도 전단응력의 변화가 거의 나타나지 않는다는 것을 볼 수 있다. 다음으로, 지반두께가 얕아질수록 연직방향에 대한 전단응력의 분포는 거의 직선분포에 가까운 거동을 나타낸다. 이러한 결과는 흐름이 존재하지 않는 진행파(Yamamoto et al., 1978)와 부분중복파(Lee et al., 2014) 및 완전중복파(Tsai and Lee, 1994)의 경우에도 나타나는 변동특성과 일치한다. 또한, 지반두께가 두꺼운 예로, h = 90 m인 경우의 전단응력 분포는 유한두께의 해저지반에서 나타나는 대표적인 전단응력의 분포이며, 진행파에 대한 Cheng et al.(2001)의 결과와 유사하다. 따라서, 후술하는 무한두께의 지반에서와 같이 지반두께가 두꺼울수록 지반의 저면에서 전단응력은 0에 근접하게 되고, 대략 z ⁄ h ≈ –0.32에서 그의 최대치가 나타날 것으로 추정된다.
3.2.2 무한두께
무한두께에 대한 결과들은 식(33)~(38)에 제시된 해석해에 의한 것이고, 적용한 파동 및 지반조건은 3.2.1절의 경우와 동일하며, 제시되는 그림에서 무차원연직축은 3.2.1절의 z / h과는 달리 z / L0로 나타낸 것은 무한두께의 경우이므로 해석해가 지반두께 h의 함수가 아니기 때문이다.
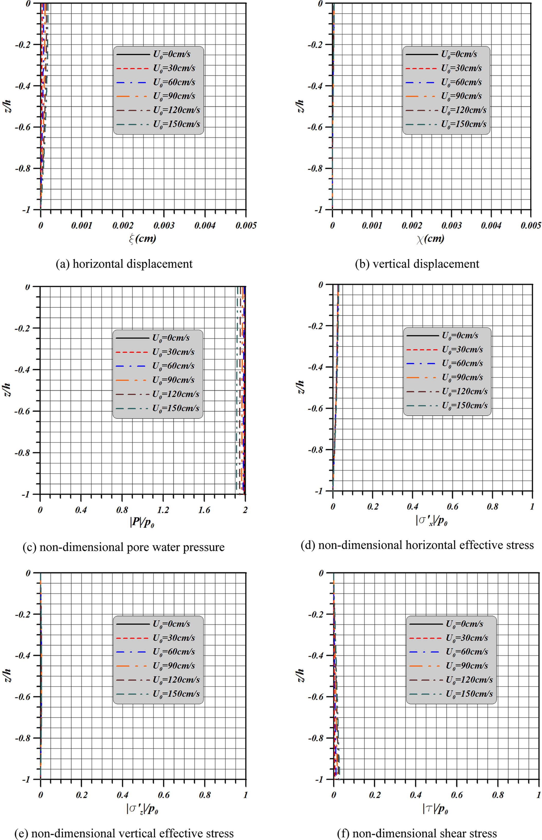
다음의 Fig. 12는 6과 동일한 조건하에 무한두께의 해저지반에 대해 지반변위, 간극수압, 수평 및 연직유효응력, 그리고 전단응력을 나타낸 결과이다. Fig. 6의 경우와 비교하면 모든 동적응답들이 무한연직깊이에서는 0으로 수렴되는 특성을 확인할 수 있고, 수평변위는 흐름속도가 증가할수록 커지고, z / L0= 0에서 0을 취하며, z / L0 = -0.28에서 최대치를 취하면서 연직깊이가 증가할수록 감소한다. 이러한 변화특성, 특히 z / L0=0의 경우 유한두께의 Fig. 6(a)와는 매우 다른 양상을 나타낸다. 지반의 연직변위는 유한두께의 Fig. 6(b)와 유사한 변화특성을 나타내지만, 흐름속도가 증가하면 z / L0 ≈ –0.2를 중심으로 상부는 미소한 감소를, 하부는 미소한 증가를 각각 나타낸다. 간극수압의 경우는 유한두께의 Fig. 6(c)와 유사한 변화특성을 보이고, 흐름속도의 변화에 미미한 변동이 발생하지만, 유의한 변화가 거의 나타나지 않는다는 것을 확인할 수 있다. 다음으로, 수평 및 연직유효응력의 경우 유한두께의 Fig. 6(d), (e)와는 매우 다른 변화양상을 나타낸다. 무한두께의 경우는 두 결과가 완전히 동일하며, 이는 흐름이 없는 경우의 진행파(Yamamoto et al., 1978)와 완전중복파(Tsai and Lee, 1994) 및 부분중복파(Lee et al., 2014)에서도 동일한 결과가 얻어진다. 본 연구의 두 결과에서는 z / L0 = -0.15에서 최대치가 산정되며, 이 역시 진행파(Yamamoto et al., 1978) 와 완전중복파(Tsai and Lee, 1994) 및 부분중복파(Lee et al., 2014)의 경우와 동일하다. 전단응력은 흐름속도가 증가하면 전 연직깊이에서 증가하는 유한두께의 Fig. 6(f)와 유사한 변화특성을 나타내지만, 두 연직깊이에서 극대치를 나타내며, z / L0 < 0에서 전단응력이 0으로 되는 연직깊이가 유한두께의 경우보다 해저지반표면에 근접한다는 것을 알 수 있다. 여기서, 흐름이 없는 경우 마디에서 전단응력이 최대치를 나타내는 것을 고려하면 현재의 결과는 완전중복파의 배 위치 z / L0= 0(흐름이 없는 경우 전단응력은 0으로 된다)에서 산정 되었기 때문에 전체적으로 작은 값을 나타내지만, 최대치는 z / L0 = -0.36에서 발생한다는 것을 확인할 수 있다. 하여튼, 유한두께의 경우에서도 언급된 바와 같이 흐름의 영향으로 완전중복파의 배 위치 z / L0 = 0에서도 전단응력이 나타날 것으로 판단된다.

Flow and standing wave-induced dynamic responses of seabed in infinite thickness according to flow velocities under a given conditions of x/L0=0 and t/T0 = 0.
다음의 Fig. 13는 7과 동일한 조건하에 무한두께의 해저지 반에 대해 전단응력의 연직분포를 나타낸 것이다. 그림으로 부터 z / L0 ≈ –0.53 을 중심으로 흐름속도가 증가할수록 상부에서는 감소하는 경향을, 하부에서는 미소한 증가를 각각 나타내며, 유한두께의 Fig. 7과는 상반된 경향을 나타낸다. 최대치는 z / L0 ≈ –0.36 에서 발생하고, 전술한 바와 같이 흐름 속도가 증가할수록 최대치는 줄어드는 경향을 나타낸다. 여기서, 전단응력의 변화특성은 전술한 Fig. 12(d)와 (e)의 수평 및 연직유효응력과 완전히 동일하다. 따라서, 흐름이 존재하더라도 무한두께의 해저지반에서는 완전중복파의 배에서 전단응력과 완전중복파의 마디에서 수평 및 연직유효응력은 각각 최대로 나타나고, 연직분포 및 그의 최대치는 완전히 동일하다는 것을 확인할 수 있다.
Fig. 14의 결과는 9와 동일한 조건하에 무한두께의 해저지반에 대해 지반동적응답을 나타낸 것이다. 간극수압은 유한두께의 Fig. 9와는 달리 z /L0 = 0에서 T0의 감소와 더불어 미소한 감소를 나타내지만, 다른 연직깊이에서는 T0의 변화에 따른 변동이 거의 나타나지 않고, Fig. 12에서 U0의 변화와 유사한 변동특성을 나타낸다. 수평 및 연직유효응력도 Fig. 12에서 U0의 변화와 유사한 변동특성을 나타내고, 두 결과 모두 동일한 값을 가지며, 또한 T0가 감소하면 최대치가 약간 감소하고, 최대치는 z / L0 = -0.16에서 발생된다는 것을 알 수 있다. 간극수압과 수평 및 연직유효응력에서 주기의 감소에 따른 주어지는 변동특성는 무한두께를 갖는 해저지반의 경 우 값의 크기는 약간 작지만, 흐름이 없을 때 진행파 (Yamamoto et al., 1978)와 부분중복파Lee et al., 2014)에서 나타나는 특성과도 일치한다.

Flow and standing wave-induced dynamic responses of seabed in infinite thickness according to wave periods under a given conditions of x/L0 = 0, t/T0 = 0 and U0 = 100 cm/s.
전단응력을 나타내는 Fig. 14(d)의 경우 주기 T0가 줄어들 면 전체적으로 크게 되는 경향을 나타내고, 최대치를 나타내 는 z / L0의 값이 해저지반표면에 가까워진다. 반면, z / L0 > - 0.1의 범위에서는 전단응력의 0점이 T0가 줄어들면 역시 해저지반표면에 가까워진다.
3.2.3 얕은 두께
얕은 두께의 해저지반에 대한 이하의 결과들은 3.2.1절의 파동 및 지반조건과 동일하며, 단 지반두께는 h = 3m로 산정된 것이다. 이 때, h / L0 = 0.0152 < 0.05이므로 매우 얕은 지반두께를 갖는 것으로 판정된다. Fig. 15에서 지반변위는 수평 및 연직 모두 충분히 무시될 수 있을 정도로 작은 변위가 발생되지만, 수평변위와 흐름속도는 거의 선형적인 비례 관계가 나타나고, 연직변위는 흐름속도의 변화에 따른 차이를 거의 나타내지 않는다. 수평유효응력은 역시 흐름속도의 변화에 차이를 거의 나타내지 않고, 연직깊이에 따라 직선적인 변화를 보이며, 매우 작은 값을 나타낸다. 반면에 연직유효응력은 모든 흐름속도에 무관하게 거의 0의 값을 나타낸다. 전단응력도 연직깊이에 따라 선형적인 증가를 나타내며, 흐름속도가 증가하면 약간 커지는 경향을 나타내지만, 완전중복파의 배에서 산정되었기 때문에 값의 크기는 작다. 얕은 두께의 해저지반에서 가장 큰 동적응답을 나타내는 것은 간극 수압이며, 연직깊이방향으로 거의 일정분포가 얻어지고, 최대치는 |P| / p0 = 2를 나타내며, 이는 흐름속도가 증가할수록 줄어드는 것을 확인할 수 있다.

Flow and standing wave-induced dynamic responses of seabed in shallow thickness according to flow velocities under a given conditions of x/L0 = 0, and t/T0 = 0
다음의 Fig. 16은 15에서의 파동 및 지반조건과 Table 1에 제시된 조건을 적용하여 Fig. 7과 같이 완전중복파의 마디에서 전단응력의 연직분포를 나타낸 것이다. 그림으로부터 연직깊이에 따른 전단응력의 분포는 거의 선형적으로 증가하고, 흐름속도의 변화에 따른 차이가 거의 나타나지 않는다는 것을 확인할 수 있다.
4. 결 론
완전중복파와 흐름과의 공존장하에서 해저지반내 동적응답을 나타내는 해석해를 도출하여, 기존의 진행파에 대한 해석해와 실험결과 및 흐름장하의 실험결과와 각각 비교하여 본 연구에서 제시하는 해석해의 타당성을 검증하였다. 이로부터 얕은두께, 유한두께 및 무한두께를 갖는 해저지반에 적용하여 흐름속도, 지반두께 및 주기의 변화에 따른 지반변위, 간극수압, 수평 및 연직유효응력, 그리고 전단응력의 변동특성을 논의하였다. 이로부터 도출된 중요한 사항을 이하에 요약·기술한다.
(1) 흐름속도의 증가는 지반에서 수평변위의 증가, 연직변위의 감소, 간극수압, 수평 및 연직유효응력의 감소, 그리고 최대전단응력의 감소를 나타낸다. 또한, 흐름이 존재하는 경우에는 완전중복파의 배에서도 전단응력이 발생된다 (Fig. 6 과 7을 참조).
(2) 동일한 흐름속도에 대해 입사파의 주기가 감소하면 지반에서 간극수압과 수평유효응력의 각 최대치는 감소한다. 수평 및 연직유효응력에서 최대치가 발생하는 연직위치는 수평의 경우 깊어지고, 연직의 경우 얕아져 최종적으로는 동일한 하나의 위치로 수렴된다. 입사파에서 주기의 감소와 지반두께의 증가가 지반응답에 미치는 영향은 거의 동일하게 나타난다 (Fig. 9를 참조).
(3) 흐름이 존재함으로써 지반내 동적응답의 최대치는 작아지고, 최대치 사이의 간격이 좁아지며, 전 연직깊이에서 동시에 0값을 나타내는 수평위치 x / L0가 존재하지 않으며, 더불어 x / L0=0 축을 중심으로 좌우가 완전한 대칭을 이루지 않는다 (Fig. 8을 참조).
(4) 무한두께의 지반에서 흐름속도의 증가는 지반에서 수평변위의 증가, 최대수평 및 연직유효응력, 그리고 최대전단 응력의 감소를 나타내며, 수평 및 연직유효응력과 전단응력의 값과 변화는 동일하다 (Fig. 12와 13을 참조). 그리고, 유한두께의 지반에서보다 무한두께의 경우가 흐름의 영향이 작다. 입사파의 주기가 감소하면 최대수평 및 연직유효응력은 감소하며, 또한 흐름이 존재하는 경우 유한두께와 같이 완전중복파의 배에서도 전단응력이 발생된다 (Fig. 14를 참조).
(5) 얕은 두께의 지반에서 흐름속도의 변화가 지반응답에 미치는 영향은 매우 작지만, 간극수압의 경우 흐름속도가 증가하면감소하며, 연직깊이에 따라 간극수압은 균등분포를, 이외의 다른 응답요소는 거의 직선분포를 나타낸다 (Fig. 16과 17을 참조).
Acknowledgements
이 연구는 해양수산부/한국해양과학기술진흥원의 연구과제 (PJT200538)로 수행된 연구임.